



离子阱是一种用于捕获、储存和操控离子的装置。20世纪中期,德国物理学家Wolfgang Paul发明了Paul阱,这是最早的离子阱之一。它使用交变电场和静电场来捕获离子,使其在一个有限的空间内保持稳定。物理学家Hans Dehmelt发明了Penning阱。Penning阱使用轴向磁场和静电场来限制离子的运动。为了提高离子阱对离子的控制性和稳定性,研究人员使用电子冷却技术降低阱中离子的速度和热运动。虽然这种方式可以有效地冷却离子,但是实验装置的复杂度和难度限制了离子阱的继续发展。随着激光技术的发展,1985年,朱棣文等首次利用激光冷却技术对Na原子进行减速,此后激光冷却技术很快被应用到离子阱中,进一步推动了离子阱的发展,使对离子的控制更简单。20世纪末期,随着量子信息技术的兴起,离子阱因具有优异的相干性能且可以实现具有超高保真度(>99.9%)的量子逻辑门等,成为量子信息处理的关键平台,用于量子比特的制备和操控。近年来,多离子系统和集成技术不断发展,实现了多个离子的相互作用和量子态的调控,配合其他量子技术可以构建更强大的量子计算和通信系统。
Penning阱在捕获和存储单离子方面具有独特的优势,广泛应用于精密测量和基本粒子物理研究;而可以将离子冷却到运动基态的Paul阱,能够实现较大的离子实验区域,广泛应用于量子信息与量子计算领域。
Paul阱是如何囚禁离子的?以最常见的四极杆阱为例,如图2-1所示。整个阱由四根平行放置的圆柱形RF电极和两侧的直流电极构成,其中两根相对的圆柱形RF电极加载相同的电压,另外两根RF电极接地。两侧的直流电极加载电压 U DC 。
在理想状态下,一组电极将在特定空间位置形成稳定的势能极小值(电势阱),从而实现对离子的囚禁。当离子偏离平衡位置时,电势梯度会产生与位移方向相反的恢复力,迫使离子回归势阱中心。根据静电场中的离子感受到的三维谐振势
图2-1 四极杆阱
只有同时满足 A> 0、 B> 0、 C> 0才能囚禁离子。然而空间中的静电场属于有源场,根据Maxwell方程有
从式(2-2)中可以看出,如果带电粒子在其中的任意2个方向受到束缚力,则必然在第3个方向上受到排斥力。也就是说,单纯的依靠静电场无法在3个方向同时形成稳定的囚禁势。
为了解决这一问题,Paul阱引入射频电场,其产生一个随时间变化的电势
式中, U RF 为RF电压; Ω RF 为RF的角频率。该射频电场同样需要满足Laplace方程
对于一维线性离子阱, A RF =0, B RF = -C RF 。由于射频电场的时变性,在 y 轴和 z 轴方向交替地改变对离子的作用力方向,在 x 轴方向则通过施加DC电场实现束缚作用。离子最终被囚禁在势阱中心并沿 x 轴方向做简谐运动,如图2-2所示。
考虑四极杆阱中所有的囚禁势,离子在阱中心的运动方程为
式中, b = eαU DC / mL 2 Ω RF ( L 是两侧直流电极之间的距离, α 是阱的几何因子),通常 b 由阱的具体设计参数决定。求解式(2-5)可以得到3个方向的简谐运动频率
式中, ω z 和 ω r 分别为轴向频率和径向频率,两个径向方程成立的条件为 b , q ≪1。离子阱中的径向运动又称久期运动。
图2-2 离子在阱中感受到囚禁力,类似于马鞍形电场,随着RF的变化而变化
在 ω r ≫ ω z 的三维简谐势阱中囚禁有 N 个离子,离子的动能和库仑能较小,离子基本上沿 z 轴排列形成有序的链状结构。由于靠近阱中心的离子受离阱中心较远的离子的库仑斥力挤压,阱中心离子的轴向间距最小,沿着阱两端排列的离子之间的距离逐渐增大。囚禁5个离子的离子链如图2-3所示。
图2-3 囚禁5个离子的离子链
当 N 个离子沿轴向排列时,它们不仅通过库仑作用互相耦合,还受外部射频电场的扰动,这表现为离子链的整体运动特性。在短时间内改变其中一个离子的位置和动量,那么在撤去作用后,这种变化会通过离子链的耦合特性传递到其他离子上,从而使整条离子链的振动特性发生变化。从量子的观点来看,谐振子的能量不是连续的,而是表现出一定的能级特性,这种离子链可以看作离子晶体或库仑晶体,其存在特定的声子能级。
在离子晶体的耦合体系中,存在两组独立的振动模式,一组是径向运动的二重简并径向模,另一组是沿轴向运动的轴向模。其中,最低阶轴向模称为质心模,表现为所有的离子以同一振幅、同一频率振动(整条离子链像刚体一样振动)。高阶轴向模总是有较高的振动频率。其中,二阶轴向模称为呼吸模,振动频率为
,与链中离子数无关,振幅正比于各离子到中心的距离。由于质心模与其他模式的振动频率不同,在实验中有可能单独激发质心模,而不会引起其他模式的激发。这一性质被广泛应用于离子型量子计算。
两离子晶体和三离子晶体的振动模式和频率如图2-4所示。
图2-4 两离子晶体和三离子晶体的振动模式和频率
(来源:根据互联网图片进行加工或改画)
在量子计算机的离子实现方案中,信息编码在离子内部态和离子(链)的振动态上。量子计算的离子阱实现要求离子内部态有足够长的寿命和相干时间,以便在态退相干之前能执行足够多的基本门操作,可以使用离子基态和基态超精细分裂产生的亚稳激发态,或者利用离子基态塞曼子能级编码量子位。此外,为了实现离子(或离子链)的振动基态初始化(通过激光冷却)、量子态的精准操控和高效读出,需要选择具有特定能级结构的离子。典型的是最外层仅有一个电子且其余内层电子形成闭合壳层的结构,目前离子阱实验常用的离子有 171 Yb + 、 9 Be + 、 40 Ca + 等。接下来以 171 Yb + 离子阱量子计算为例,阐述离子阱实现双量子逻辑的操作。
171
Yb
+
的能级图如图2-5所示,
2
S
1/2
能级作为该系统的量子比特位。
2
P
1/2
能级提供了受激拉曼跃迁的中间态,369nm的激光用于冷却离子。
2
S
1/2
的超精细能级
(
态)和
(
态)。在对离子进行量子操作前,多普勒冷却闭合在
2
S
1/2
和
2
P
1/2
能级;而
2
P
1/2
的一部分会衰变至
3
D
3/2
能级,因此需要另外加入935.2nm的激光将这部分衰变重新激发到
3
[3/2]
3/2
能级,然后从这个能级衰变回
2
S
1/2
能级。
图2-5 171 Yb + 的能级图
在离子阱中,每个 171 Yb + 本身存在的能级称为内态(自旋态),因外在振动而存在的能级称为外态(声子态),又称运动态,如图2-6所示。对于阱中离子链上的离子而言,其内态是相互独立的,而外态(声子)是相互耦合的。要想使两个离子的内态相互纠缠,就要利用阱中离子共有的外态来实现。
图2-6 171 Yb + 的内态和外态
在 2 S 1/2 能级上,通过受激拉曼跃迁来使离子的声子能级与自旋相互耦合,即令离子的内态和外态相互耦合,如图2-7所示。先利用频率为 ω 1 的激光将 171 Yb + 激发到一个虚能级上,再利用频率为 ω 2 的激光将其激发回 2 S 1/2 能级,但是自旋态和声子能级发生了变化。 n 表示声子能级,灰色线为 2 S 1/2 能级系列,黑色虚线为标注辅助线。
图2-7 171 Yb + 在 2 S 1/2 能级上的受激拉曼跃迁
在离子链中,离子—离子相互作用是通过集体的振动模式实现的,Cirac和Zoller于1995年提出了一个方案,称为CZ门,然而CZ门的最大缺点是其需要将离子的运动模式都冷却到基态,这个非常严格的要求导致CZ门难以扩展。另一个方案由Mølmer和Sørensen于1999提出,称为MS门,即Mølmer-Sørensen Gate(MS-Gate)。
MS-Gate利用激光分别实现两个离子的受激拉曼跃迁,进而使两个离子之间的自旋产生纠缠,最终完成量子逻辑门的构建。红、蓝边带的受激拉曼跃迁过程如图2-8所示,一个离子使用的拉曼跃迁为红边带,另一个离子使用的是与红边带类似的蓝边带。红边带的作用是改变自旋并使声子能级减1;蓝边带则相反。
图2-8 红、蓝边带的受激拉曼跃迁过程
因此,红蓝边带的频率分别为
红、蓝边带作用过程如图2-9所示。将红边带作用于离子
A
,将蓝边带作用于与之纠缠的离子
B
。在红边带的作用下,离子
A
的自旋态由
态变为
态,但是声子能级由
n
降为
n
-1。在蓝边带的作用下,离子
B
的自旋态也由
态变为
态,同时声子能级由
n
-1升为
n
。这样,
态便变为
态。此时红、蓝边带接着作用,则
态又变为
态。当然,将蓝边带作用于离子
A
、将红边带作用于离子B的效果与之相同。
图2-9 红、蓝边带作用过程
MS-Gate的中心思想是使用离子的声子模式作为媒介来实现离子自旋的纠缠。离子在阱中存在相互独立的自旋态(内态)和共同分享的声子态(外态)。这种共同分享的声子态非常重要,因为使空间中任意不相互耦合的自由粒子产生纠缠是十分困难的,这些自由粒子的量子态存在很高的不确定性。但在离子阱中,声子态相互耦合的离子为实现纠缠提供了很大的方便。改变其中一个离子的声子模式,这种改变就会在极短时间内迅速传递到整个链条上,因此链上的所有离子共享一个声子模式。如果此时离子的自旋与这个共享的声子模式相互耦合,则将两个离子的自旋纠缠在一起成为可能。
离子阱量子计算机被广泛认为是当前在物理实现上最有潜力的量子计算机方案之一,并且在原理上满足了DiVincenzo的所有关键标准。下面介绍其关键特点。
(1)稳定的量子比特扩展:离子的内态寿命长,如 171 Yb + 可达1000s,为存储量子比特提供了有利条件。2011年,Blatt小组成功实现了14个离子的纠缠。然而,随着离子数的增加,振动模式的密度增大,可能导致门操作的准确性下降。为解决多离子比特操作问题,研究人员提出了采用分段式芯片结构的CCD方案和采用量子网络的方案。
(2)初态制备能力:通过激光泵浦,可以轻松地将离子阱中的离子制备到所需的内态,且具有高保真度。
(3)普适量子逻辑门操作:根据量子计算的要求,在各种离子上实现了单比特和两比特CNOT门的操作,使其具备完备的普适量子逻辑门操作能力。
(4)有效的量子态探测:大多数离子阱采用电子shelving方法进行量子态探测,具有高达99.99%的探测效率,确保最终可以获取计算结果。
(5)长相干时间:选取的离子能级具有长相干时间,允许进行多个量子逻辑门操作。然而,外界干扰可能导致相干时间缩短,采用超精细结构的离子内态和提高门操作速度是两种应对策略。
(6)量子通信和计算结合:采用量子中继器,将囚禁的离子作为中继存储比特,将光子作为飞行比特,可实现大尺度量子计算和长距离量子通信,克服了光子在光纤中的传输损耗问题。
总体而言,离子阱量子计算机以其稳定的量子比特扩展、初态制备能力、普适量子逻辑门操作、有效的量子态探测、长相干时间、量子通信和计算结合等特点,为量子计算的实现提供了强有力的支持。
下面从超导回路开始介绍超导量子比特的原理和一些简单的工程化结构,如超导量子芯片、稀释制冷机等。
1)超导回路的原理
超导量子计算机基于人造超导回路的超导量子比特。量子比特需要建立在二能级系统上,对于离子阱量子计算而言,这可以是原子天然的最外层电子能级;对于超导回路而言,则需要人为构建。
超导回路通常建立在量子化的LC振荡回路上。将LC回路看作谐振子系统,如图2-10所示,其哈密顿量为
式中,
Q
是电荷;
Φ
是磁通量;
C
和
L
分别是电容和电感。这个哈密顿量描述了一个量子谐振子系统,它的能级为
E
n
=
ħω
(
n
+1/2),其中
n
是量子数,
是谐振频率,可以发现其能级符合谐振子系统特征。
图2-10 LC回路示意图
然而,不同能级的LC谐振子组成的二能级系统不能直接构成量子比特,这是由于相邻谐振子之间的能级间距相当,在作逻辑门运算时会导致处于不同能级的量子比特受到相同的控制,所以还需要人为利用非线性元件产生能级差异,即为LC回路引入非线性量。谐振子系统能级如图2-11所示。
图2-11 谐振子系统能级
实验采用的非线性元件通常为约瑟夫森结(Josephson Junction),如图2-12所示。一个简单的约瑟夫森结由两个超导体中间夹着一个绝缘体构成,由于超导体具有特殊性质,当结两端电压为0V时,结的内电压导致存在一股很小的超电流,其大小与两端超导体之间的波函数相位差有关。这使整个约瑟夫森结可等效为一个由普通电容与非线性电感构成的并联电路。具体来说,当引入约瑟夫森结后,系统的哈密顿量变为
,其中
E
J
是约瑟夫森能量,
ϕ
是超导体之间的相位差。这个哈密顿量不再是简单的谐振子形式,其能级结构因非线性项
E
J
而变得复杂,使得我们可以选择特定的两个能级来构造量子比特。
图2-12 约瑟夫森结示意图
超导量子计算原理的核心是利用人造量子系统实现对量子信息的精密操控。超导量子比特的设计取决于其主要的量子变量,主要分为3类:超导电荷量子比特、超导磁通量子比特及超导相位量子比特。它们各有特点和优势,选择哪类取决于特定的应用和技术要求。
(1)超导电荷量子比特(Transmon量子比特)。Transmon量子比特利用超导岛上的电荷状态,即使用约瑟夫森结和电容创建一个二能级系统,以编码量子信息。其哈密顿量可以表示为
H
=
E
C
(
n-n
g
)
2
-E
J
cos
ϕ
,其中
E
C
是充电能量,
n
是超导岛上的配对电子数,
n
g
是由外部电压控制的电荷偏置,
E
J
是由约瑟夫森结提供的约瑟夫森能量,
ϕ
是超导相位差。Transmon这种量子比特的
和
状态对应超导岛上不同数量的Cooper对。Transmon量子比特对电荷噪声较为敏感,但在实验中易于操控。通过改进设计,如使用更多的约瑟夫森结,可以提高其抗干扰能力。
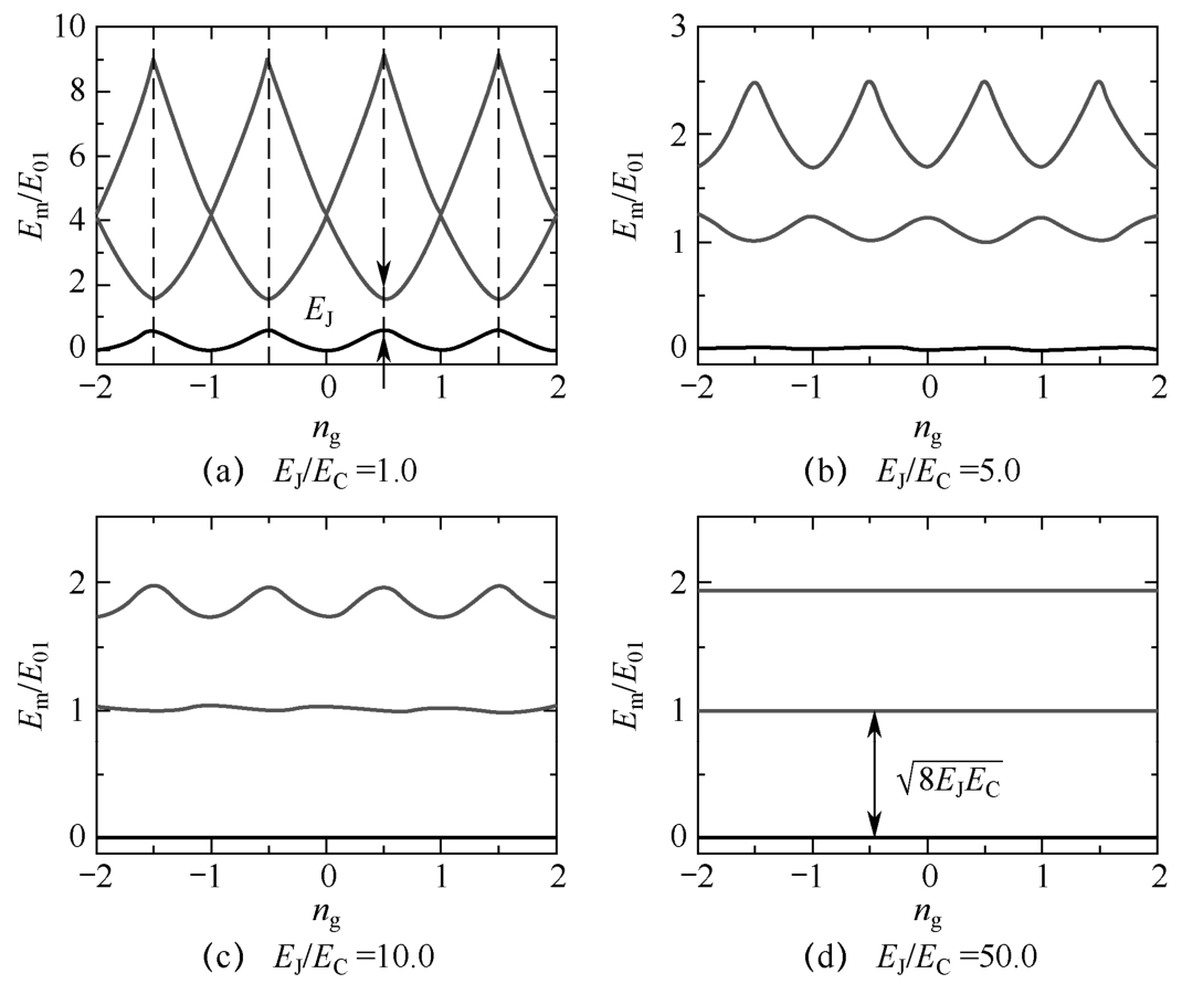
在不同的 E J / E C 下,基态与第一激发态的能量差(能级) E m / E o1 与 n g 的函数关系如图2-13所示,可以结合图2-13详细说明Transmon量子比特的选择。对于Transmon量子比特来说,我们希望其状态对电荷噪声不敏感,这通常通过增大 E J / E C 来实现。图2-13(a)和(b)显示了较小的 E J / E C ,可以看出能级与 n g 有较强的相关性,这意味着这些状态对电荷噪声比较敏感。图2-13(c)和(d)显示了较大的 E J / E C ,能级曲线较为平坦,特别是在图2-13(d)中,能级几乎不随 n g 的变化而变化,表明在这种情况下,Transmon量子比特对电荷噪声的敏感度大大降低。
当选择Transmon量子比特时,我们倾向于选择较大的
E
J
/
E
C
,因为这会使Transmon量子比特更稳定,对电荷噪声的敏感度更低。在实验中通常会选择一个既能使Transmon量子比特保持较好的相干性,又能使其与微波信号有效耦合的
E
J
/
E
C
,以实现对Transmon量子比特状态的控制和读出。在图2-13(d)中,可以看到能级分裂为
,这说明即使在
E
J
远大于
E
C
的情况下,约瑟夫森结的非线性也能够提供Transmon量子比特操作所需的能级差。
图2-13 在不同的 E J / E C 下,基态与第一激发态的能量差(能级) E m / E 01 与 n g 的函数关系
总的来说,图2-13说明了通过改变约瑟夫森能量与充电能量的比值,可以有效控制Transmon量子比特的能级结构,同时,选择适合的参数可以最小化环境噪声对Transmon量子比特的影响,这对实现稳定的量子计算来说至关重要。
(2)超导磁通量子比特(Flux Qubit)。超导磁通量子比特利用环状超导回路中的磁通量来表示量子信息。其哈密顿量可以表示为
,其中
E
L
是感应能量,
Φ
是回路中的总磁通量,
Φ
0
是半个磁通量量子。超导磁通量子比特的
和
状态由超导回路中不同方向的电流表示。超导磁通量子比特对磁场噪声较为敏感,但它们在某些方面比Transmon量子比特稳定,如在长相干时间方面表现较好。
(3)超导相位量子比特(Phase Qubit)。相位量子比特依赖约瑟夫森结的相位差为量子信息编码。其哈密顿量可以表示
,其中
E
C
是充电能量,
n
是结两侧的Cooper对数量差。相位量子比特的
和
状态对应约瑟夫森结中超导波函数的不同相位。相位量子比特易于实现大的约瑟夫森能量,因此具有较快的操作速度,不易受环境噪声的干扰,但相干时间通常较短。
2)超导量子计算机的工程实现
无论选择哪种超导量子比特,在具体的工程实现中都对环境和操控提出了相当苛刻的要求。一台超导量子计算机的主要部件包括以下7种。
(1)量子芯片。量子芯片是超导量子计算机的核心,它通常由铌或铝等高纯度的超导材料制成。这些材料在低温下能够展现出无电阻的超导性质。量子芯片中的量子比特通常以微纳加工技术精确制造,其关键部件是约瑟夫森结。这些结是量子系统的基本单元,可以通过控制其隧穿电流实现量子逻辑门操作。
(2)稀释制冷机。量子芯片必须在极低温度下工作,以减小热噪声并维持量子态的相干性。稀释制冷机是实现这一条件的理想工具,它可以将量子芯片冷却到接近绝对零度。这种设备使用一种特殊的混合冷却技术,将氦-3和氦-4两种同位素混合制冷,能够达到毫开尔文级温度。
(3)电子控制系统。量子计算机的操作依赖精确的电子控制系统。通过精密的时序控制和频率调制,这些脉冲可以在非常短的时间内精确地激发或操作量子比特,以实现量子算法中规定的逻辑操作。
(4)微波工程组件。微波工程组件是连接量子芯片与电子控制系统的桥梁,其中包括精确设计的微波导线、滤波器、耦合器和共振器等。这些组件必须精确设计,以最小化信号损失和保证信号的纯净度,确保传递到量子比特的微波脉冲都有正确的频率和相位。
(5)量子比特读出系统。为了读取量子比特的状态,需要使用精确的读出系统。该系统通常包括与量子比特耦合的微波共振器,以及将微弱量子信号放大到可以被传统电子设备处理的级别的低噪声放大器。读出过程是量子计算的关键步骤,必须尽量减小扰动,以免破坏量子比特的相干性。
(6)屏蔽和隔振系统。为了防止外部电磁和振动噪声影响量子计算机的性能,量子计算机通常被置于一个高度屏蔽的环境中。该系统包括多层金属和超导屏蔽,以及高级隔振台,它们可以有效隔绝环境噪声和振动。
(7)控制和数据处理软件。量子计算机的操作需要复杂的控制和数据处理软件。该软件不仅负责量子算法的编译和优化,还负责管理量子比特的控制与读出。此外,还需要处理从量子比特读出的数据,并将其转换为可用的计算结果。
通过这些关键组件的协同工作,超导量子计算机能够在极端条件下执行复杂的量子算法。每个部分的设计和实现都需要精确到极致,任何微小的偏差都可能导致量子信息的损失,从而影响计算结果。
在工程实现中,存在多项技术挑战,如保持量子比特的制造精度和一致性,量子芯片上每个量子比特的性能需要高度一致,以便实现均匀的量子逻辑操作。在制造过程中出现的任何微小差异都可能导致量子比特的操作误差;量子比特的相干时间是量子计算成功的关键。环境噪声、材料缺陷等都可能导致量子态的快速退相干。工程团队正在通过设计更复杂的量子比特结构和改进材料质量来延长相干时间;由于量子计算具有脆弱性,进行量子纠错也是必要的一环。执行量子纠错算法需要大量的额外量子比特和复杂的量子逻辑门操作。工程化解决方案正探索如何在保持系统规模可控的同时实现有效的量子纠错;随着量子比特数的增加,量子系统的复杂度呈指数级升高。量子比特的精确控制和读出变得越来越困难。通过进行模块化设计和改进微波信号的传输与处理方式,研究人员正试图解决这些扩展性问题;在运行温度上,虽然稀释制冷机能够提供极低的温度,但随着量子比特数的增加,有效的热管理变得越来越重要。
通过对这些挑战的持续研究和技术创新,超导量子计算机的工程化正逐步实现。随着新的发现和工程突破的出现,我们可以预见越来越成熟的超导量子计算技术。
20世纪末期以来,超导量子计算技术取得了显著进展,下面按照时间线梳理这一技术的发展脉络。
1)1999年:第一个功能性超导量子比特
相较于离子阱路径于1995年就已实现,超导量子计算在实验室中的首次实现要稍晚一些。1999年,Yasunobu Nakamura和他的同事在日本NEC实现了第一个功能性超导量子比特。他们利用一个小型的约瑟夫森结和一个铝制Cooper对盒,通过操控门电压实现了量子比特状态的超导和读出。在后续发表的论文“Coherent Control of Macroscopic Quantum States in a Single-Cooper-Pair Box”中,他们详细描述了对两级系统中量子态相干演化的观察,并使用短电压脉冲对该系统进行了操纵。该实验的成功不仅展示了超导材料能够制造量子比特,还证明了这些量子比特能进行基本的量子逻辑操作,对超导量子计算的发展有深远影响,并为后续研究奠定了基础。
2)2000—2010年:超导量子比特的多样化与改良
进入21世纪,超导量子比特的设计和制造技术得到了飞速发展。Fluxonium量子比特是一种备受关注的超导量子比特形式,与常见的Transmon量子比特相比,它具有一些独特的优势,如较强的非谐性和从几百微秒到一毫秒的长相干时间。
然而,Fluxonium量子比特的挑战在于如何在单高保真度处理器中将强相干性和快速操作结合。目前的研究已经通过简单、快速且低泄漏的门电路方案,实现了可与Transmon量子比特媲美的单量子比特和双量子比特门保真度,说明Fluxonium量子比特的发展方向不仅可行,还可能在性能上超越目前主流的Transmon量子比特。
3)谷歌悬铃木引发量子优越性的讨论
真正让超导量子计算路径走入公众视野的是2019年谷歌悬铃木(Sycamore)的面世。谷歌量子人工智能(Quantum AI)实验室一直在开发可编程的超导处理器,Sycamore是一个由高保真量子逻辑门组成的54量子比特处理器。
2019年,谷歌称Sycamore已经实现了量子霸权。Sycamore用约200秒完成了一台经典超级计算机近1万年才能完成的计算任务。从那时起,谷歌一直在突破量子计算的界限。Sycamore被用于进行化学模拟、虫洞模拟等。谷歌还开发了开源工具的软件堆栈和量子计算服务,以开发新的量子算法。
除了为化学、材料科学和机器学习等领域开发量子算法和应用,谷歌还在努力开发更强大的量子处理器。量子算法和应用程序也可以建立在基于云的谷歌量子人工智能平台上。谷歌的研究团队持续推动量子计算的创新,从硬件控制系统和量子控制到物理建模与量子纠错。
4)IBM的量子计算计划和Osprey芯片
目前,聚焦商业化发展的超导量子计算企业首推IBM。IBM是全球领先的混合云、AI及业务服务提供商,其中的IBM Quantum在量子计算领域处于领先地位。凭借世界上最大的量子计算机群和Qiskit Runtime,普通用户也能够轻松创建强大的算法并进行大规模运算,从而带来巨大的性能提升,在某些情况下,与传统方法相比,其速度提高了120倍。IBM Quantum的用户有超过210家世界500强公司、学术机构、国家实验室、初创企业及大量的个人开发者。
IBM的433量子比特处理器IBM Osprey是IBM量子处理器中量子比特数最多的,是2021年推出的127量子比特处理器IBM Eagle的三倍多。该处理器有可能运行复杂的量子算法,计算能力远超经典计算机。作为参考,在IBM Osprey处理器上表示状态所需的经典位数远超已知宇宙中的原子总数。2023年,IBM新推出的量子处理器突破1000量子比特,远超谷歌Sycamore的53量子比特。
通过上述一系列的技术进展,超导量子计算已经从理论走向实践,正逐步释放其在科学研究和商业应用中的巨大潜力。随着超导量子计算机的进一步发展,我们可以预见其在材料科学、药物设计、金融模型分析等多个领域产生革命性影响。
1)自旋量子比特到量子点的演变
自旋量子比特基于粒子的自旋态,利用了量子力学中的自旋角动量概念。起初科学家尝试将核自旋作为量子计算的基础,在硅半导体量子计算的背景下,自旋量子比特主要面临两大挑战:精确控制和量子态保持时间。
(1)精确控制。
对自旋量子比特的控制需要极高的精度。在实验条件下,控制精度受外部磁场的波动、局部电子环境的变化、核磁自旋与电子自旋的耦合及晶格振动模式等多种因素的影响。这些因素不仅增大了在实际量子计算系统中精确操控自旋态的难度,还可能导致量子信息的不稳定和丢失。
(2)量子态保持时间。
由于存在自旋—晶格松弛和自旋—自旋退相干等现象,自旋量子比特的量子态保持时间受到限制。虽然一些研究表明,在特定条件下,硅中的电子自旋量子态的保持时间可以达到数秒,但在实际计算中,这个时间通常会大大缩短。此外,温度、电磁噪声和材料缺陷也是影响量子态保持时间的关键因素,在量子计算系统的设计和优化中需要特别考虑这些因素。
2)量子点作为量子比特的实现
之所以称为量子点(Quantum Dots),是因为其在物理上表现出类似于原子的离散量子态。在量子点中,电子和空穴(电子的缺失)可以形成一对束缚状态,被称为激子(Exciton)。激子的能量状态与量子点的大小和材料类型密切相关。量子点的离散能量状态可以通过下面的近似公式描述
式中, E n 是电子在量子点中的能量状态, h 是普朗克常数, m e 是电子的质量, L 是量子点的尺寸, n 是量子数。
想象一下,如果把电子限制在一个非常小的空间内,通常直径为几纳米至几十纳米。这个空间小到足以使电子的波动性(在量子力学中,电子表现为波)变得重要。在这个小空间内,电子不能自由地到处移动,它的位置和能量受到严格限制。这就像将电子“囚禁”在一个小盒子里,在这样的空间限制下,电子的能量不再是连续的,而是变成了离散的量子态。这些离散的能量状态与原子中电子能级的量子化非常相似,但它们是在固体材料中人为创造的。量子点可以由不同类型的半导体材料制成,如硅、镓、砷等。材料的选择和量子点的尺寸共同决定了电子的能量状态和量子点的物理特性。
量子点允许我们用电子的量子态(如自旋态)来表示量子信息。在一个量子点中,一个电子的自旋可以通过外部磁场或电场进行精确控制和测量,从而实现量子比特的基本功能。自旋态非常容易被控制,通过外部磁场或电场,可以精确地控制量子点中电子的自旋态,这种控制是实现量子逻辑操作的基础。在多量子点系统中,通过调整量子点之间的距离和相互作用,可以实现量子比特之间的耦合,这对于执行复杂的量子算法至关重要。在硅基量子点中,由于硅具有低杂质浓度和弱的自旋轨道耦合,电子的自旋量子态可以保持更长时间。一些实验已经展示了在硅量子点中电子自旋的保持时间超过了1秒。
由于量子点可以用电子的自旋态来表示电子比特,所以量子点的量子门实现与离子阱别无二致,可以通过控制电子之间的相互作用来实现。例如,对于单量子比特门,可以通过施加具有特定频率和时序的电磁脉冲来实现量子比特的基本操作,如泡利旋转门和哈德曼门。在多量子点系统中,通过电子之间的耦合,也可以实现双量子比特门,如控制非(CNOT)门和SWAP门。
3)量子点的可扩展性
量子点技术的一个关键优势在于其潜在的可扩展性。由于量子点可以在微米或纳米尺度下精确制造,所以能在一个芯片上集成数百个甚至数千个量子点,从而实现高度集成的量子计算系统。这对于构建大规模量子计算机至关重要。在大规模量子点系统中,实现有效的量子纠错和量子比特的长期稳定性是研究的重点,这对于实用化量子计算机的发展至关重要。
量子点量子比特在硅半导体量子计算中的应用不局限于理论和实验研究。它们在实际量子计算机的构建中扮演着关键角色,且面临一系列实际应用挑战。尽管硅基量子点的制造可以利用现有的半导体制造工艺,但将大量量子点集成到单一芯片上以实现实用化量子计算机仍然是一个技术挑战。量子点的相互作用需要精确控制,以确保量子态的正确传输和操作。此外,硅基量子点量子计算系统通常需要在极低温度下运行,以减小环境噪声和量子退相干。维持和控制这样的低温环境对实验室和潜在的商业应用也是一大挑战。
1)量子点量子比特的理论发展
硅基量子点量子计算的理论基础可以追溯到20世纪90年代末期。1998年,物理学家Daniel Loss和David P.DiVincenzo在一篇里程碑式论文“Quantum Computation with Quantum Dots”中提出了一种基于量子点的量子计算模型——Loss-DiVincenzo模型。在该模型中,量子点中电子的自旋态被用于实现量子比特。量子点被用作局部化电子的小空间,类似于“人造原子”,而电子的自旋态被用于编码量子信息。同时,可以利用电子自旋之间的耦合来实现量子逻辑门。
这个模型为使用半导体材料实现量子计算提供了一个新途径,而且为量子点在量子信息处理中的应用提供了理论基础。该模型的提出引起了一系列实验研究和理论探索,极大地推动了量子计算领域的发展。
2)量子点量子计算的实践进展
硅基量子点量子计算从理论到实践的重要转折点出现于2015年,Dzurak等在论文“A Two-Qubit Logic Gate in Silicon”中实现了在SiMOS(硅金属氧化物半导体)量子点中通过使用复杂的纳米电子学技术和精细的电子自旋控制技术,精确控制量子点中的电子自旋耦合,实现了两个量子比特之间的控制非(CNOT)门操作,即双量子逻辑门。
该实验不仅验证了Loss-DiVincenzo模型的实用性,还证明了硅基量子点在实现复杂量子逻辑操作上的潜力。这一成就标志着硅基量子点量子计算在实际实现上的重要进展,为后续的研究和技术发展奠定了坚实基础。
3)量子点量子计算的商业化趋势
随着硅半导体量子计算技术的发展,它逐渐吸引了商业领域的关注。与离子阱和超导量子计算类似,硅半导体量子计算目前的主要发展方向是扩展量子比特数并提高系统的稳定性和可靠性。
在硅基量子点技术路线上,全球有几家企业正积极开展研究和开发工作。Quantum Motion是一家位于英国伦敦的初创企业,正在开发一种革命性技术平台,利用与CMOS兼容的工艺在硅上制造可扩展的量子比特阵列。澳大利亚的Silicon Quantum Computing(SQC)也在努力构建硅量子计算机,目前正在开发一款10量子比特的硅集成电路。爱尔兰的Equal1 Laboratories正在开发一种创新性强且效益高的硅基量子点量子计算技术,已开发出第一代集成量子处理单元。加拿大的Photonic Inc专注于硅量子技术的下一代设计,其突破性结果挑战了量子计算领域的传统假设。这些企业的活跃展示了硅基量子点量子计算技术在商业化方面的进展和潜力。
1)光量子比特和编程方式
与其他量子计算路径不同,线性光量子计算(LOQC)的特点在于将光路作为量子信息载体。光子天然具有抗干扰性。光子在传输过程中与环境的相互作用较弱,这是由于它们不带电荷,所以不容易受到电磁干扰。这种特性使光子在传输较长距离的情况下也能够维持其量子态。然而,光子的抗干扰性也意味着要精确地操纵单光子,需要高度精细的技术。例如,利用光子的相干性质,使用非线性光学器件来控制光子的数量。此外,光量子计算机还可以通过光纤进行长距离传输,为远程量子通信和量子网络提供了理想的平台。光子还非常容易进行相移等操作,逻辑门相对容易搭建。
光量子比特在理想环境中由Fock态
表示,即表示光腔中光子数
。这是一个无限维的量子态,通常我们将
和
作为量子比特的两个状态。但是在具体的表示中,会使用双轨表示法,即用01和10表示量子比特的两个状态
和
,而非之前的
和
。因为当光在自由空间中传播时,其相位是不断变化的。在单轨表示法中,随时间变化的量子态为
这会引入一个随时间变化的相位,使整个空间变得复杂起来。但如果使用双轨表示法,随时间变化的量子态则为
可以看到引入的相位变成了全局相位,而全局相位是可以舍去的,因此可以认为当光在自由空间中传播时,其量子态保持不变。
2)光量子计算的酉变换
在光量子计算中常用移相器和分光镜组成逻辑门。移相器一般为折射率为
n
的透明介质,一块长为
L
的移相器可以引入
的相移,其中
n
0
是自由空间中的折射率,一般为真空折射率,
ω
是光的频率,
c
0
是真空中的光速。在光量子比特中,移相器
P
的作用表示为
,
,其中
Δ
=(
n-n
0
)
Lω
/
c
0
。在双轨表示法中,
,令
P
⊗
2
=
P
⊗
I
,则有
的作用等于旋转算符
R
z
(
Δ
)=e
-i
ZΔ
/2
。
分光镜一般为部分镀银的菱形玻璃块,其中镀银区域的反射率为 R 。对于分光镜的两部分入射光 a in 和 b in ,出射的两部分光有以下关系
其中cos θ = R 。可知分光镜的数学部分为
与 R y ( θ )旋转算符一致。
图2-14 光量子比特哈德曼门实现图(菱形为分光镜,中间横线表示反射片,箭头仅表示初始方向,没有其他意义)
非线性光学介质可以引入光学克尔效应,给光引入额外的位移。但是在现实情况下,由于介质对光子的散射和吸收会破坏光子的稳定性,所以较少使用。通过利用以上器件,我们可以构成量子电路,对光量子比特进行编码。
3)光量子计算机的工程实现
量子比特
与
的物理实现利用两个空腔,并保持两个空腔中有且仅有一个光子。在实现过程中,如何保持两个态的同步性是一项大挑战,即维持
。一般使用非线性光学介质,如KH
2
PO
4
,将入射光子的能量
ω
0
分为
ω
1
和
ω
2
。在这个过程中,如果在其中一路探测到光子能量为
ω
1
,则另一路为
ω
2
。通过将多个转换源的输出延迟并与门控制相结合,可以实现各单光子的同步传播,从而在探测器和门的时间分辨率内实现更好的同步。其中的关键挑战是如何有效地生成和操纵单光子,即实现稳定的Fock态
。一般来说,生成单光子的一种方法是降低激光器的输出,这种输出的状态为相干态(Coherent State)
值得一提的是,相干态的平均能量,也就是平均光子数为
,等于相干态的强度或亮度。当相干态衰减时(如通过部分透明的介质),其仍然保持相干态,只是平均光子数变小了。这意味着相干态的概率幅变小,以及整体的强度或亮度降低。对于一个弱的相干态,由于其光子数遵循泊松分布,所以当平均光子数很小时,其概率幅
接近1,能以较大的概率产生单光子。例如,使
,则相干态可以大概展开为
。在这种情况下,如果探测到光子,则大概率为单光子。
除了单光子生成,探测器也是一个重要的环节。探测器的一个重要特性是能够以较大的概率确定特定空间模式中是存在0个还是存在1个光子。这对于双轨表示法中的投影测量至关重要。其量子效率 η 表示单光子入射探测器时产生一个光载流子对(从而贡献于探测器电流)的概率,实际上,不完美的因素会减小检测单光子的概率。其他重要特性还包括带宽(时间响应)、噪声及暗计数,暗计数指即使没有光子入射探测器,也会产生的光载流子对数。
量子计算的实际应用还需要考虑量子比特和量子门,以及数据输入和输出、量子比特之间的通信机制、光量子计算机与经典计算机的接口设计等方面。这涉及如何有效地将量子计算结果转换为经典信息,以及如何将经典数据转换为量子计算机可以处理的数据。
当前,美国国家标准与技术研究院(NIST)和欧洲量子技术旗舰计划等机构在开发高效、高准确度的单光子源方面取得了一些突破。例如,NIST开发的单光子源能以高精度高效地连续发射光子,这对于实现高效的量子计算和量子网络至关重要。此外,为了精确控制单光子,需要采用高性能的光学器件和复杂的光路设计。这些技术挑战要求物理学、材料科学与光学工程领域深入合作。
1)玻色采样的介绍与量子优越性的提出
在量子计算领域,玻色采样(Boson Sampling)是一个引人注目的研究方向。这种技术利用单光子的多路径干涉来模拟量子力学中的非经典概率分布,挑战了传统计算机的模拟能力。玻色采样的核心思想是,通过精确控制和测量多个光子在光学网络中的传播路径,可以实现量子态的复杂变换,而不需要复杂的量子逻辑门。玻色采样的理论基础是线性光量子计算,它不依赖光子之间的直接作用,而是通过光学器件(如分束器和相位调节器)来实现状态的变换。在量子光学网络中,在多个光子的输入态变换后,通过特定的输出模式可以获得关于量子系统的信息。这种变换的复杂性随着光子的增加而呈指数级提高,为经典计算机的模拟带来了巨大挑战。
虽然玻色采样不能用于通用量子计算,但它在展示量子计算原理,尤其在量子优越性方面(量子设备在完成特定任务上的能力超越最强大的经典计算机),提供了一种在实验中相对可行的方法。在实验中,通过精确的光学操作和检测,可以证明量子设备在处理某些特定的计算问题(如光子通过复杂光学网络的路径采样问题)上,具有明显的速度优势。例如,如果要求经典计算机模拟50个光子在一个复杂光学网络中的行为,即使是现代的超级计算机也可能需要数千年的时间才能提供精确的结果。相比之下,一个玻色采样的量子实验装置在技术上能够在几分钟内完成同样的任务。这样的显著差异不仅展示了量子计算在处理特定类型问题方面的潜力,也推动了全球科研界对实用化量子计算机的研究。
玻色采样研究成功吸引了大量的科研资源,引起了广泛关注,因为它为量子计算机的未来应用提供了一个实验验证平台,同时为理论研究提供了新的方向。随着量子技术的发展,玻色采样及其在量子优越性展示方面的作用,将继续作为量子计算领域的一个重要里程碑被研究和改进。
2)光量子芯片
随着光子数的不断增加,简单的自由空间光路在精度和操作难易程度上越来越不能满足量子计算机的需要,大规模扩展的可行路径是将光学器件集成到光芯片上。九章量子的光量子芯片代表了这一领域的重大进展。将传统光学器件如分束器和相位调节器等集成到微型芯片上,不仅提高了操作的稳定性和精确性,还实现了对更多光子的精确控制。这样的技术进步为处理更复杂的量子计算任务提供了可能。
此外,九章量子成功构建了255个光子的量子计算原型机“九章三号”。它在高斯玻色采样方面的处理速度比上一代“九章二号”提升了一百万倍,“九章三号”在百万分之一秒内处理的样本复杂度,对于现有的超级计算机来说,需要超过二百亿年的时间来完成。这标志着光量子计算领域的一个重要进步,加上先前的成就,包括76个光子的“九章”和113个光子的“九章二号”,中国在光学和超导两种量子计算技术路线上都达到了“量子计算优越性”,进一步巩固了其在全球量子计算领域的领导地位。
3)以PsiQuantum、Xanadu、图灵为代表的商业化现状
目前最火热的商业化光量子计算项目基本围绕可编程光量子芯片展开。
PsiQuantum是一家量子计算公司,其使命是建造世界上第一台商业上“有用”的量子计算机,并将其部署以应对涉及气候、能源、制药、国防、金融服务等领域的重大挑战。PsiQuantum构建大规模容错量子计算机的方法涉及基于光子学的架构,可以在传统的硅芯片代工厂中制造。PsiQuantum的创始人在2015年公司成立之前在学术界工作了六十年,之后组建了一支世界一流的工程师技术团队,并得到了顶尖投资者和顾问的支持。PsiQuantum的工作涵盖半导体制造工艺开发、光量子器件和系统集成、超导器件研制、高通量测试、光电封装、低温CMOS开发、量子光学研究、量子纠错码研究、量子算法的容错编译和新型量子算法开发。如今,该公司在一家一级代工厂的生产线上制造了数千个量子芯片晶圆。
Xanadu量子技术公司是一家位于加拿大的公司,该公司正在采用光子方法建造量子计算机。Xanadu的Borealis是有史以来最大的光量子计算机之一,它使用光子学和量子光源来发射挤压光脉冲。Borealis具有超过216个挤压态量子比特,在解决高斯玻色子采样问题方面十分有效:这需要经典计算机花费数千年的时间来完成。此外,该公司还领导了PennyLane的开发,这是一个用于量子计算和应用开发的开源软件库。作为一个跨平台的Python库,PennyLane支持量子“可微编程”以实现与机器学习工具的无缝集成,像训练神经网络一样训练量子计算机。现在,机构可以通过Xanadu云或亚马逊Braket访问Borealis。
作为中国光量子芯片及光量子计算的先行者,图灵量子自2021年2月成立以来,已经在短时间内完成了三轮大额融资,累计融资额超过5亿元。这家公司的快速发展得益于金贤敏教授近20年的量子研究经验,从理论到实验,再到器件化和系统集成,推动了量子计算技术的工程化和产业化。此外,图灵量子的光子芯片被描述为“光的版本的电芯片”,其电路中的光信号能以光速传输,并利用干涉效应来操控和处理信息。当前,图灵量子的研究重点包括专用的量子模拟机,这些模拟机可用于量子化学、机器学习等领域,未来的目标是构建可编程的通用量子计算机。
在商业化方面,PsiQuantum、Xanadu和图灵量子等公司正在开发基于光学的量子计算机。PsiQuantum的技术特点在于它基于光子学的架构;Xanadu的Borealis量子计算机以其独特的量子光源和挤压态量子比特著称;图灵量子则致力于将量子计算与传统技术结合,推动量子计算的商业应用。每家公司的技术特点和市场定位不同。例如,PsiQuantum强调其量子计算机的大规模和容错能力,Xanadu则关注量子计算与机器学习的融合。这些公司面临的共同挑战包括技术成熟度、市场接受度的提高和可持续的商业模式的建立。
4)光量子计算可能的发展方向
在实现通用量子计算的道路上,光量子计算还有许多难点亟待攻克。未来,光量子计算有望在多个领域产生重大影响,如在药物发现、材料科学、气候模拟和优化问题解决等方面。随着技术的进步和多学科的融合,我们可以期待光量子计算在商业和科学应用中扮演更重要的角色。这不仅是技术的进步,还是对现有计算范式的一次重大革新。
核磁共振量子计算是一种利用原子核与磁场的相互作用来操作量子比特的方法。它将自旋1/2的原子核作为量子信息的载体,其中自旋向上和向下的两个自旋态分别表示量子比特的0和1状态。当电磁波的能量匹配核自旋态之间的能量差时,可以利用电磁波来控制0和1状态之间的跃迁。不同类型的原子核可以作为不同的量子比特,因为它们具有不同的跃迁频率。这使得可以使用不同频率的电磁波来独立操作各个量子比特。核自旋之间的磁耦合通常有两种形式:核磁矩之间的偶极—偶极相互作用和化学键中电子传导的磁作用(称为J耦合)。在液态核磁共振样品中,偶极—偶极相互作用通常会被平均掉,只剩下J耦合相互作用。通过使用射频电磁波并利用不同核自旋之间的磁耦合,可以实现两比特量子门操作。通过单比特和两比特逻辑门的组合,可以实现任意量子算法。
核磁共振量子计算已被证明是相对成功的量子计算范式,能够有效执行特定的计算任务。使用核自旋作为量子比特的优势在于其具有较长的相干时间。相干时间越长,可以执行的量子门操作就越多,从而能够执行更复杂的量子算法。此外,该系统中的量子比特较稳定,误差率较低。虽然核磁共振量子计算系统中的量子比特数有限,但已被证明可以解决某些特定问题,如分子结构计算和优化问题求解。
NV色心量子计算是利用金刚石晶体的一种缺陷来调控量子比特的方法。金刚石NV色心是金刚石晶体中的一种缺陷,由一个取代碳原子的氮原子和相邻的一个空位(碳原子缺失)组成。在这个空位中,一些电子被捕获,形成了可以被用作量子比特的电子自旋。金刚石NV色心一般存在两种电荷状态,一种是电中性的NV 0 ,另一种是带有一个负电荷的NV - ,量子计算用到的体系一般为后者。NV色心的电子基态为自旋三重态,可以等效为自旋为1的电子自旋,其中的两个自旋能级可以用来编码量子比特。
NV色心的特点对于量子信息系统来说很有价值。NV色心中的量子比特具有较长的相干时间,而较长的相干时间代表单次实验有更多时间操作系统,这意味着它可以作为一个好的量子比特,而且这种量子比特适用的温度范围非常广。同时,电子自旋不是唯一的量子比特,它会与环境的核自旋耦合,可得到额外的量子比特,从而存储和处理量子信息。另外,电子自旋还可以与光子相互作用,这使量子态的远程传输及对长距离的NV色心关联和纠缠成为可能。NV色心还可以通过微波脉冲来控制自旋。例如,若初始态为自旋向上,在应用波长可变的微波脉冲后,可以看到自旋以相干的方式从上往下翻转然后再回到向上,这样便可以在翻转过程中得到一个自旋向上和自旋向下的叠加态。
拓扑量子计算旨在利用拓扑态物质中的拓扑量子比特来实现量子计算。不同于传统的量子比特,拓扑量子比特依赖于物质的拓扑性质,这使它们在存储和处理量子信息时更加稳定和容错。为了实现拓扑量子计算,通常需要采用特殊类型的量子比特,这些量子比特具有出色的容错性和稳定性。马约拉纳费米子被认为是一种理论上的拓扑量子比特的候选,因为它们是拓扑激发态,具有非阿贝尔统计性质。非阿贝尔统计性质意味着它们在交换位置时会带来非常有趣的量子相位,因此在拓扑量子计算中能够提供独特的计算能力。这些特性使马约拉纳费米子在拓扑量子计算的理论构想中变得非常重要。
与其他量子计算方法相比,拓扑量子计算较为独特。拓扑量子比特具有出色的容错性,能够更有效地抵御噪声和误差的干扰。这是因为它们的信息储存在物质的拓扑结构中,这种结构不易受外部扰动的影响,因而拓扑量子比特拥有高度保护的性质。此外,拓扑量子计算还具有较高的并行性:与传统计算相比,它能够较快地执行某些计算任务,从而提高计算效率。
虽然科学家已经提出了许多出色的量子计算方法,但这些方法在实现量子计算机的道路上面临着各自的挑战。目前,活跃的量子计算体系主要集中在超导量子计算和基于囚禁离子的量子计算两个领域。接下来,我们详细讨论前面提到的3种量子算法的局限性。
1)核磁共振量子计算的不足
(1)可扩展性受限:核磁共振量子计算的一个主要不足是其可扩展性受限。由于它使用分子中的原子核来表示量子比特,所以可用量子比特数通常受分子中可用原子核数量的限制。这导致核磁共振量子计算在解决复杂问题时通常表现不佳。
(2)制备纯态困难:核磁共振量子计算采用原子核能级作为量子比特,然而这些能级的分裂非常微小,即使在强磁场下也如此。因此,即使在低温下操作,热激发仍然非常显著。这意味着制备纯态所需的时间随量子比特数的增加呈指数级增长。从根本上来说,核磁共振量子计算在处理大规模量子计算任务上没有优势。
(3)操控方法具有局限性:核磁共振量子计算利用不同频率来单独操控每个量子比特。当量子比特较少时,它们在频谱上可以清晰区分,而一旦量子比特数增加,区分它们就变得困难,这可能引发许多问题。因此,核磁共振量子计算通常只用于进行少量量子比特的示范性实验,而无法用于处理大规模量子计算任务。
(4)难以实现错误校正:与其他量子计算方法相比,核磁共振量子计算更难实现纠错代码(用于处理量子比特的错误)。这意味着在长时间运行的计算中,错误可能会积累,从而影响计算的准确性。
2)NV色心量子计算的不足
(1)初态制备和读取困难:在NV色心中,将电子自旋初始化到所需的状态并有效地读取其状态是具有挑战性的。这需要高度精密的操控技术,实现过程易受噪声和环境干扰的影响。
(2)长距离耦合问题:NV色心之间的相互作用衰减得很快,这意味着要实现长距离的量子比特耦合通常需要引入中间介质或进行远程耦合,这会提高复杂性。
(3)量子比特差异带来的问题:NV色心位于钻石晶格中,受不同位置晶格的应力和杂质等因素的影响,不同NV色心之间存在明显差异。这导致NV色心系综的非均匀展宽非常大,即使在极低温度下,一个NV色心发出的光子也难以被另一个NV色心吸收。另外,这些量子比特缺乏一致性,难以进行相同的操作,因此难以应用于量子计算领域。
(4)制备和封装的难度:NV色心通常需要在特定类型的钻石中制备,并且需要精确地进行控制和封装以实现隔离,从而避免与外部环境的相互作用。这提高了实验的复杂度和成本。
(5)可扩展性问题:尽管NV色心在小规模量子计算上取得了成功,在将其扩展到大规模量子计算机的构建方面仍然面临挑战,包括有效的比特耦合和纠缠。
3)拓扑量子计算的不足
(1)难以实现:拓扑量子计算需要采用特殊的硬件并进行拓扑量子比特的制备,这在技术上非常具有挑战性。目前,由于实际应用中仍然存在许多技术难题,大规模的拓扑量子计算机尚未实现。
(2)实现难度大:实际上要实现马约拉纳费米子并将它们应用于拓扑量子计算仍然需要克服技术挑战,因为它们通常要求有极低的温度和高度精密的实验技术,并且仍然需要通过进行有效的错误校正来确保计算的准确性。
(3)软件和算法方面的挑战:拓扑量子计算要求开发新的编程语言和算法,以充分发挥其独特的计算潜力。目前,拓扑量子计算的软件基础设施和编程工具较少,这提高了编写和运行拓扑量子算法的复杂性。
(4)初始态的制备:拓扑量子计算通常需要采用特定的初始量子状态来启动计算,这在某些情况下可能具有挑战性。
(5)有限的通用性:拓扑量子计算机通常被设计用于解决特定类型的问题,如拓扑量子纠错或拓扑量子存储。它们的通用性可能受限,不能像通用量子计算机那样灵活地应对各种计算任务。