



任务 :了解光纤通信系统组成,掌握常见的传输线路码型的波形和特点,理解光发送机的工作原理,掌握光发送机性能指标的计算和测试。
要求 :能识别光发送机的电路组成部分,能根据性能指标选择合适的光发送机,会测试光发送机的性能指标。
(一)光纤通信系统组成
光纤通信系统就其拓扑而言是多种多样的,有星型结构、环型结构、总线结构和树型结构等。其中最简单的是点到点传输结构,其他结构的光纤通信系统都是由点到点传输结构构成的。不同的应用环境和传输体系,对光纤通信系统设计的要求是不一样的,本项目只研究点到点传输的光纤通信系统。
点到点光纤通信系统一般由光发送机、光中继器、光接收机、光纤线路组成。图1-40 所示为单向点到点光纤通信系统组成框图。双向光纤通信系统将光发送机和光接收机合在一起,称为光端机。
图1-40 单向点到点光纤通信系统组成
光发送机位于光纤通信系统的起始端,其作用是将电发送机发送过来的电信号转换成光信号码流,具体做法是先将电信号数字化,然后对光源发出的光波进行调制,成为已调光信号,将其耦合到光纤中进行传输。
光发送机发出的光信号在光纤中传输时,不仅幅度被损耗,脉冲波形被展宽,还夹杂着许多噪声。为了进行长距离的传输,需要每隔一定距离设置一个光中继器。光中继器的作用是补偿光信号的幅度损耗,对畸变失真的信号波形进行整形,恢复光信号的形状。
光接收机位于光纤通信系统的末端,其作用是将从光纤传输过来的微弱光信号经光电检测器,将其转换成电信号,并对电信号进行足够的放大,输出一个适合于定时判决的脉冲信号到判决电路,使之能够正确地恢复出原始电信号,送给电接收机。
为了使光纤通信系统正常运行,还需要自动倒换系统、告警处理系统、电源系统等备用或辅助系统。
(二)传输线路码型
1.常见的传输线路码型
信号在传输线路上进行远距离传输时,需要使用不同的传输线路码型。常见的传输线路码型有单极性不归零码(NRZ)、单极性归零码(RZ)、双极性交替反转码(AMI)、高密度双极性码(HDB3)、传号反转码(CMI)、曼彻斯特码(双相码)等,如图1-41 所示。
(1)单极性不归零码(NRZ)
NRZ码由高电平(或低电平)表示 1,低电平(或高电平)表示 0,码型为单极性,信号占空比为 100%。NRZ码提取时钟困难,码间干扰大,无误码检测功能。
图1-41 常见的传输线路码型
(2)双极性交替反转码(AMI)
AMI码有+ 1、0、-1 三种状态,占空比为 50%。+ 1、-1 都表示 1,交替出现;0 表示空号。AMI码能提取时钟,可进行误码检测,但不能克服长连零现象。
(3)高密度双极性码(HDB3)
HDB3 码有+ 1、0、-1 三种状态,在AMI的基础上将第 4 个 0 改为破坏码V + 或V-,相邻V码的极性必须相同。当相邻V码间有偶数个 1 时,将四个连零码中的第一个 0 更改为与该破坏脉冲相同极性的脉冲B + 或B-。HDB3 码保留AMI码的所有优点,并能克服长连零现象。
(4)信号反转码(CMI)
CMI码将普通二进制序列中的 0 变换成 01,将二进制序列中的 1 交替变换成 00 和 11 两位码。
(5)曼彻斯特码
曼彻斯特码将普通二进制序列中的 0 变换成 01,将二进制序列中的 1 交替变换成 10。差分曼彻斯特码是对于二进制的 1 在开始处不跳变,对于二进制的 0 则在开始处进行跳变。曼彻斯特编码将时钟和信息包含在信号码流中,在传输代码信息的同时,也将时钟同步信号一起传输到对方。
(6) m B n B码
m B n B码也称为分组码,它是将码流中 m 个码元分为一组,记为 m B,称为一个码字。然后把一个码字变换为 n 个二进制码,记为 n B,并在同一时隙内输出。这种码型是把 m B变换为 n B,其中 m 和 n 都是正整数,通常 n = m + 1,如 1B2B、3B4B、5B6B、8B9B等。
(7)加扰NRZ码
ITU-T推荐SDH统一采用加扰NRZ码。
2.数字光纤通信系统传输的线路码型
在进行数字光纤通信传输时,要考虑传输信道的特点,将其转换成不同的与信道相匹配的线路码型。数字光纤通信系统的光发送机和光接收机接口有电接口和光接口两种。
(1)电接口码型
电接口与电发送机或电接收机相连,其接口码型应与电发射机或电接收机的码型一致。数字光纤通信系统常用的电接口有PCM电接口和以太网电接口。PCM电发送机或电接收机码型常采用PCM接口码型,见表 1-2。以太网电接口常采用曼彻斯特码。
表 1-2 PCM接口码型
(2)光接口码型
在光纤通信系统中,由于光电器件都有一定的非线性,适宜采用二进制码,用光脉冲的有无来表示二进制码的“1”和“0”。
光接口用于连接光端机和光纤线路,所使用的线路码型要适合光纤线路传输。数字光纤通信系统中对传输的线路码型要求如下:
①避免信号码流中出现长连“0”和长连“1”,以利于接收端时钟的提取。
②信息传号密度均匀,使信息变化不引起光功率输出的变化,相应地保持LD发热温度恒定,提高LD的使用寿命。
③能进行不中断业务的误码检测。
④尽可能地提高传输码型的传输效率。
⑤功率谱密度中无直流成分,且只有很小的低频成分,可以改善发送端光功率检测电路的灵敏度,使输出光功率稳定。
在PDH、以太网、波分光纤通信系统中,常使用的线路编码为 m B n B。在SDH光纤通信系统中,广泛使用的线路编码是加扰的NRZ码,它是利用一定规则对信号码流进行加扰。最有效的加扰方法是在发送端利用一个随机序列与原信号序列进行异或运算,使得加扰后信号也变成了随机信号,“0”和“1”出现的概率相同。在接收端,需要一个与发送端完全一致,并在时间上同步的随机序列来解扰。ITU-T规范了SDH的加扰方式,采用标准的 7 级扰码器。扰码生成多项式为 1 + x 6 + x 7 ,扰码序列长为 2 7 -1 = 127。
(三)光发送机工作原理
光发送机位于数字光纤通信系统的起始端,其作用是将电信号码流转换成光信号码流,具体做法是将数字化的电信号对光源发出的光波进行调制,成为已调光信号,然后将其耦合到光纤中进行传输。光发送机包括均衡放大、码型变换、复用、扰码、时钟提取、光源、光源的调制电路、自动温度控制电路(ATC)、自动功率控制电路(APC)、光源检测和保护电路等,如图1-42所示。
(1)均衡放大
均衡放大电路补偿由电端机发送过来由电缆传输所产生的损耗和畸变,保证电、光端机之间信号的幅度、阻抗匹配,以正确译码。
(2)码型变换
电端机送来的信号码元一般是双极性归零码,不适合在光纤中传输。光纤只能用有光或无光来分别对应“1”和“0”码元,只能传输单极性不归零码。光发送机需要使用码型变换电路来将电端机发送的码元变换为单极性不归零码(如NRZ码)。例如,PDH电端机送来的信号码元是HDB3 码或CMI码,经均衡放大后仍是HDB3 码或CMI码。HDB3 码是双极性归零码,CMI码是归零码,都不适合在光纤中传输,故需要使用码型变换电路来将HDB3 码或CMI码变换为NRZ码。
图1-42 直接调制光发送机的构成框图
(3)复用
复用是用一个传输信道同时传送多个低容量的信号以及开销信息的过程。例如,将 63 个E1 帧时分复用成STM-1 帧。
(4)扰码
当信号码流中出现长连“0”或“1”时,接收端从信号码流中提取时钟信号困难。为了避免长连“0”或“1”现象的发生,数字光发送机中需添加扰码电路。扰码电路是利用一定规则对可能含有长连“0”或“1”信号码流进行扰码,使信号达到“0”“1”等概率出现,利于接收端提取时钟信号。经过扰码后的信号码流传输到接收端后,还要进行解扰码,来还原原始信号码流。
(5)时钟提取
码型变换、复用和扰码都是以时钟信号为依据。在均衡放大电路之后,发送机中的时钟提取电路提取电端机发送过来信号码流中的时钟信号,供给码型变换、复用和扰码等电路使用。
(6)调制电路
光源调制电路将经过扰码后的电信号码流转换成光信号码流,它们所携带的信息不变。光信号的调制分为直接调制和间接调制。直接调制也称内调制,是直接用电信号调制光源,直接控制光源输出光信号的有无。这种方式简单、经济且容易实现,但是会引起输出光脉冲的相位抖动,即啁啾效应。啁啾效应使光纤的色散增加,限制了光纤通信系统容量的提高。间接调制也称外调制,是在光源的输出通路上外加调制器对光波进行调制,控制光信号的有无,可以减少啁啾效应,用于高速大容量的光通信系统中。常用的间接调制器有电折射调制器、马赫曾德尔干涉仪(M-Z)型调制器、声光布拉格调制器、电吸收(EA)调制器等。
(7)光源
光源产生作为光载波的光信号,是光发送机的核心器件,其作用是把电信号转变成光信号,以便在光纤中传输。光源性能的好坏是保证光纤通信系统稳定可靠工作的关键。目前光纤通信系统使用的光源有LED和LD。
(8)自动温度控制(ATC)和自动功率控制(APC)电路
光发送机的光源使用一段时间后将出现老化,会使输出光功率降低,APC电路通过监测输出光功率的变化调整调制器的工作电流,使输出光功率保持稳定。
LD对温度很敏感,随着温度的升高,它输出的光功率和光谱的中心波长都会发生变化。需要使用自动温度控制电路来稳定LD工作温度和输出光功率。
(9)其他保护、监测电路
除了上述电路以外,光发送机还有一些保护、监测电路,如光源过流保护电路、无光告警电路、LD寿命告警等。光源过流保护电路是防止光源二极管的反向冲击电流过大而损坏光源。当光发送机电流故障、输入信号中断或激光器失效时,都将使激光器“长时间”不发光,这时无光告警电路发出告警指示。当激光器的工作偏流大于原始值的 3~4 倍时,LD寿命告警电路发出告警信号。
图1-42 中虚线框内的电路属于光发送电路部分,虚线框外属于编码电路部分。最初许多厂家将两者分成不同的电路板来制作,随着集成电路的发展,生产企业将光发送电路和编码电路集成在一块电路板上制作。图1-43 所示为WTOS-02C型视频光发送机的电路,光发送电路和编码电路集成在一块电路板上实现。
图1-43 WTOS-02C型视频光发送机
(四)光发送机性能指标
光发送机主要指标有平均发送光功率、消光比和调制特性。光纤通信系统对光发送机的要求是:有合适的输出光功率、较好的消光比、调制特性好。
1.平均发送光功率
光发送机的平均发送光功率是光发送机的一个重要参数,其大小决定了容许的光纤线路损耗,从而决定了通信距离。平均发送光功率指在发送“0”“1”码等概率的情况下,光发送机输出的平均光功率,记为 P T ,工程上用dBm为单位。
平均发送光功率越大,光纤通信的中继距离就越长。但是发送光功率太大,光纤通信系统会处于非线性状态,也会损坏光接收机,将对光纤通信产生不良影响。故光发送机要有合适的输出光功率。
2.消光比
消光比定义为光发送机发送全“1”码的光功率 P 11 与发送全“0”码的光功率 P 00 之差。
由于伪随机码中“0”和“1”码等概率,因而,发送全“1”码时的光功率为伪随机码时光功率 P T 的 2 倍(即高 3 dB), P 11 = 3 + P T 。
理想情况下,光源“0”码调制时,光发送机应没有光功率输出。但实际上由于光发送机自身的缺陷,在“0”码时会有很小的光功率输出,这将给光纤通信系统引入噪声,造成光接收机的灵敏度降低。为了保证接收机有足够的灵敏度,光发送机要有较好的消光比,一般要求大于 10 dB。
3.调制特性
光发送机的调制特性好是指光源的 P-I 曲线在使用范围内有好的线性特性。否则,将产生非线性失真。
本任务的目的是测试光发送机的平均发送光功率和消光比两个性能指标。
1.材料准备
码型发生器 1 台、光发送机 1 台、光功率计 1 台、2 m光纤跳线 1 根、电缆 1 根。
2.实施步骤
(1)平均发送光功率测试
平均发送光功率的测试步骤如下:
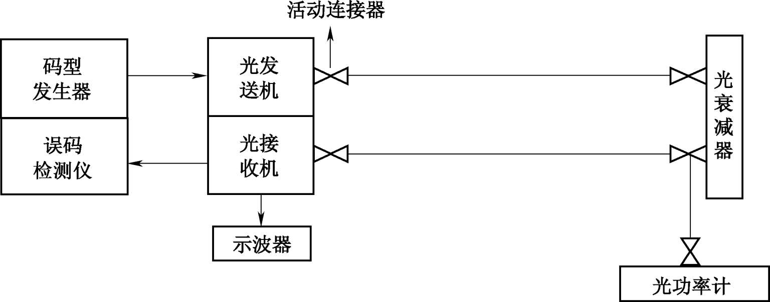
①如图1-44 所示连接光发送机和光功率计。
图1-44 光发送机性能指标的测试原理
用电缆连接光发送机的电输入端与码型发生器的码型输出端[码型发生器送 2 23 -1 的伪随机码(伪随机码中“0”“1”码等概率),使光发送机正常工作。],用光纤跳线连接光发送机的输出端和光功率计的IN接口。
②用光功率计测得的光功率为光发送机的平均发送光功率。
设置光功率计的波长与光发送机工作波长(如 1 310 nm)一致,选择单位为dBm,稳定几十秒后,测试接收光功率,记为 P T 。
(2)消光比测试
消光比的测试步骤如下:
①连接光发送机和光功率计,码型发生器 2 23 -1 的伪随机码。
②拔出光发送机中的编码盘电路,即将光端机的输入信号切掉,此时光发送机无编码信号送入,即发送全“0”码,测出接收到的光功率,记为 P 00 。
③根据 EXT = 3 + P T - P 00 计算出消光比。
由于目前光发送机电路集成度较高,难以切断编码器的输入,给消光比的测试造成困难。
任务 :理解光接收机的工作原理,掌握光接收机性能指标的计算和测试方法。
要求 :能识别光接收机的电路组成部分,能根据性能指标选择合适的光接收机,会测试光接收机的性能指标。
(一)光接收机工作原理
光发送机发出的光信号在光纤中传输一段距离后,不仅幅度被损耗,脉冲波形被展宽,还夹杂着许多噪声。光接收机的作用是将从光纤传输过来的微弱光信号经光电检测器转换成电信号,并对电信号进行足够的放大,输出一个适合于定时判决的脉冲信号送到判决电路,使之能够正确地恢复出原始数字电信号。
光接收机由光电检测器、前置放大器、主放大器、均衡器、再生判决电路和自动增益控制电路(AGC)等电路组成,如图1-45 所示。光发送机有扰码、复用和码型变换电路,为了实现信号的透明传输,光接收机还需有解扰码、解复用和码型反变换电路,还原与电发送端发出相同的数字电信号,送到电接收机。
图1-45 光接收电路
(1)光电检测器
光电检测器的功能是把光信号变为电信号,便于其后的电路进行放大。光纤通信系统中,常用的光电检测器有PIN和APD两种,它们都是工作在反向偏压下。PIN使用简单,只需10~20 V偏压即可工作,不需要专门的偏压控制电路,但PIN没有增益。APD具有 10~200 倍的增益,使信噪比得到有效的改善,但使用比较复杂,需要专门的偏压控制电路,以提供 200 V左右的偏压,还要采取温度控制措施使APD的倍增系数不受温度影响。
(2)放大器
光电检测器输出的光电流十分微弱,需要将这种微弱的电信号通过多级放大器进行放大,才能保证通信的质量。光接收机的放大器分为前置放大器和主放大器两部分。前置放大器着重于优良的信噪比,把来自光电检测器的微弱电压放大到mV量级。主放大器主要用来提供高的增益,把来自前置放大器的信号放大到适合判决电路所需的电压,它的输出一般为 1~3 V。
(3)均衡器
均衡器的作用是对主放大器输出的有失真的数字脉冲信号进行整形,使之成为最有利于判决且码间干扰最小的正弦波形。主放大器输出的信号存在脉冲拖尾现象,在邻码判决时刻对邻码存在干扰。经过均衡器均衡后的波形瞬时值在本码判决时刻最大,波形的拖尾在邻码判决时刻的瞬时值为零,从而减少了对邻码的干扰。
图1-46 显示了光接收机中各电路的信号波形。
图1-46 光接收机中的信号
均衡器输出信号的各种可能状态和状态之间的变化,经过高速示波器反复扫描、叠加后看到的波形很像睁开的眼睛,称为眼图。“眼”在垂直方向和水平方向的张开度,直接显示了光纤通信系统的传输特性,“眼”张开得大表示系统性能优良。
观察眼图可以估算出光接收机码间干扰的大小,图1-47 分别是理想的眼图和实际测得的眼图。
图1-47 光接收机的眼图
当输出端信噪比很大时,眼图张开度主要受码间干扰的影响。眼图测量时将接收机均衡输出的脉冲序列送到示波器的 Y 轴,用时钟信号作为外触发,使与其码元周期同步,此时示波器上就会显示出随机序列像人眼的图形。如果接收的信号没有干扰及波形的畸变,各段波形完全重复,恰似睁开的眼睛,示波器既细又清晰。而当码间有干扰,波形畸变加上噪声时,扫描示波线不能完全重合,眼图线迹就变得既粗又不清晰。
(4)自动增益控制(AGC)电路
AGC电路是为了适应光接收机接收到的光功率的变化而设的。光源随时间变化渐渐老化导致光功率变小、环境温度的变化导致光纤损耗改变、通信距离不同或选用的光纤不同,都会使进入接收机的光功率不同。这就要求接收机有一定范围的自动增益控制能力,根据均衡后的电压值调节主放大器的增益使得主放大器输出的信号幅度变化不大。
(5)再生判决电路
再生判决电路由判决器和时钟恢复电路组成,它是对均衡器输出的正弦波形在最佳时刻进行取样,将取样幅度与判决门限值进行比较,判决出码元是“0”还是“1”,从而恢复成电发送端发出的矩形波信号。
图1-45 中的虚线框内属于光接收电路部分,虚线框外的解扰码、解复用、码型反变换属于译码电路部分。最初许多厂家将两者分成不同的电路板来制作,随着集成电路的发展,生产企业将译码电路和光接收电路集成在一块电路板上制作。图1-48 所示为WTOS-02C型视频光接收机电路板,译码电路和光接收电路集成在一块电路板上实现。
图1-48 WTOS-02C型视频光接收机
(二)光接收机性能指标
光接收机性能指标有灵敏度和动态范围两种。光纤通信系统对光接收机的要求是:有较高的灵敏度和较大的动态范围。
1.灵敏度
灵敏度是与误码率联系在一起的。在数字光纤通信系统中,接收的光信号经检测、放大、均衡后进行判决再生。由于光接收电路中噪声的存在,接收信号就有被误判的可能。误码率是指接收码元被错误判决的概率。
误码率越大,说明发生误码的机会越多,信号失真程度也越大。一旦误码率超过一定值,通信将不能正常进行,因此系统对误码率有一个指标要求。不同的系统对误码率的要求不同。市话单波系统要求误码率低于 1 × 10- 10 ,长途干线单波系统要求误码率低于 1 × 10- 11 ,光纤接入网和波分系统要求误码率低于 1 × 10- 12 。
灵敏度是指系统在满足一定误码率门限条件下,光接收机允许的最低接收光功率,表示为 P R min ,工程上常用dBm为单位。
光接收机接收灵敏度反映光接收机接收微弱光信号的能力。灵敏度越高,光接收机的质量越好,系统的中继距离就越长。
2.动态范围
动态范围是指光接收机保证接收电路正常工作的前提下,所允许的接收光功率的变化范围,即所容许的最大接收光功率(即过载光功率 P R max )与最小接收光功率(即灵敏度 P R min )之差,表示为 D ,工程上常用dB为单位。
光接收机的过载光功率表示它接收强信号的能力。当接收机接收的光功率开始大于灵敏度时,信噪比的改善会使误码率变小。但是若光功率继续增加到一定程度,接收机前置放大器将进入非线性区域,继而发生饱和或过载,使信号脉冲波形产生畸变,导致码间干扰迅速增加,误码率开始变大。当误码率刚好为系统的门限值( BER 市话 = 1 × 10- 10 、 BER 长途 = 1 × 10- 11 或 BER 波分 = 1 × 10- 12 )时,其接收机的接收光功率为光接收机的过载光功率。这时如果接收光功率仍在继续增加,接收光功率将大于过载光功率,系统误码率将继续恶化,严重时会导致接收设备损坏。
当接收光功率介于接收灵敏度和过载光功率之间时,系统误码率会在系统规定的误码率以下,这个范围称为光接收机的动态范围,即接收机的正常工作范围。图1-49 显示光接收机动态范围与接收灵敏度和过载光功率之间的关系。
随着时间的增长,光源的输出光功率也将
图1-49 光接收机动态范围示意图
有所变化。当光缆路由变化或环境温度变化时,光缆线路上的损耗将发生变化。因而,保证光接收机有一定的动态范围,才能适应不同的光缆路由和环境条件,满足设备性能下降和光线路维护(如增加接头点)中光损耗变化的需要。一台质量好的光接收机应有较宽的动态范围。在市话和长途干线光纤通信系统中,要求光接收机的动态范围应不小于 18 dB。
为了避免光接收机处于过载状态而受到损坏,在工程使用时,要求接收光功率比灵敏度高3 dB,比过载光功率低 5 dB。故在光纤通信系统调测和维护时,最好在光纤线路上增加一个光衰减器,防止损坏接收器件。
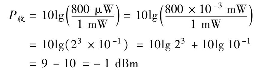
例如:某市话光纤通信系统中光接收机灵敏度为-41 dBm( BER = 10- 10 ),动态范围为39 dB。若光接收机接收到的光功率为 800 μW,该光纤通信系统能否正常工作?如果需系统正常工作,可采取何种措施?
解:因为 D = P R max - P R min
故 P R max = D + P R min = 39 + (-41) = - 2 dBm
将 800 μW转换为dBm单位:
可见-1 dBm > -2 dBm,即 P 收 > P max ,接收到的光功率为 800 μW时接收端光功率过载,系统不能正常工作。
若需系统正常工作,接收光功率应介于-41 dBm + 3 dB~-2 dBm -5 dB,即-38 dBm~-7 dBm。可在接收机之前增加大于-1 dBm -(-7 dBm)= 6 dB且小于-1 dBm -(-38 dBm)= 37 dB的光衰减器,使光接收机接收到的光功率高于接收灵敏度 3 dB且低于过载光功率 5 dB。
若光接收机接收到的光功率低于灵敏度,需要更换灵敏度更高的光接收机或在光发送机和光接收机之间增加光中继器。
本任务的目的是测试光接收机的灵敏度和动态范围两个性能指标,观察光接收机的眼图。
1.准备材料
由码型发生器和误码检测仪组成的误码分析仪 1 台、光发送机 1 台、光接收机 1 台、光衰减器 1 台、光功率计 1 台、高速示波器 1 台、2 m光纤跳线 3 根、电缆两根。
2.灵敏度测试步骤
光端机接收灵敏度的测试步骤如下:
(1)如图1-50 所示,连接光端机和仪器,码型发生器送 2 23 -1 伪随机码。
图1-50 光接收机性能指标的测试原理
用电缆连接光发送机的电输入端与误码分析仪的输出端,用电缆连接光接收机的电输出端与误码分析仪的输入端,用电缆连接光接收机的眼图输出端与示波器的输入端。用光纤跳线连接光发送机的发送端和光衰减器的IN接口,用光纤跳线连接光接收机的接收端和光衰减器的OUT接口。设置误码分析仪光标置于“结果”位置,选择“34M”“2 23 -1”“HDB3”“BE”。
(2)调节光衰减器增大
调节光衰减器处于适当位置,观察示波器出现清晰的眼图,观察误码仪测得的误码率 BER <系统门限值,观察光端机误码告警信号灯处于熄灭状态。
逐步增大光衰减器的损耗,使输入到光接收机的光功率逐步减少,直至系统处于误码状态,观察误码仪测得的误码率 BER >系统门限值,观察误码告警灯被点亮示波器出现眼图模糊;误码严重时光端机会出现失步告警。
然后略微减少光衰减器的损耗,使输入到光接收机的光功率略增大,当系统处于误码告警临界点( BER =系统门限值),稳定一段时间。由于误码是随机出现的,因此必须保持一定的测试时间。测试时间与系统的速率和误码率有关,速率越低,误码率越小,所需的测试时间就越长。
(3)测试接收光功率
为了减少光接收机光纤接口的损坏率,使用另外 1 根光纤跳线来替换光衰减器与光接收机之间的光纤跳线。取下光衰减器OUT接口上的光纤连接器,用光纤跳线连接光衰减器OUT接口和光功率计的IN接口,此时测得光功率为光端机的接收灵敏度 P R min 。
3.动态范围测试步骤
光端机光接收机动态范围的测试步骤如下:
(1)连接光端机和仪器。
(2)调节光衰减器减少
调节光衰减器处于适当位置,观察示波器出现清晰的眼图,误码仪测得的误码率 BER <系统门限值,光端机告警信号灯处于熄灭状态。逐步减少光衰减器的损耗,使输入到光接收机的光功率逐步增大,直至系统处于误码告警状态,观察误码仪测得的误码率 BER >系统门限值,观察示波器出现眼图模糊,误码严重时光端机会出现失步告警。
略微增大光衰减器的损耗,使输入到光接收机的光功率略减少,当系统处于误码告警临界点( BER =系统门限值),稳定一段时间。
(3)测试接收光功率
取下光衰减器OUT接口上的光纤连接器,用光纤跳线连接光衰减器的OUT接口和光功率计的IN接口,此时测得的光功率为光接收机的过载光功率 P R max 。
注意:在实际使用中,为了避免接收光功率大于过载光功率损坏器件的现象发生,目前许多厂家生产的光接收机的动态范围较宽,过载光功率较高,常大于发送机的最大发送光功率,从而难以测试到过载光功率。
(4)计算动态范围
过载光功率 P R max 与接收灵敏度 P R min 之差即为动态范围。
任务 :掌握光中继器的功能和作用,掌握光中继器的工作原理。
要求 :能区分光电型中继器和全光型中继器,测试光中继器对光信号的放大作用。
由于光纤本身具有损耗特性和色散特性,经过一段距离的传输后,使得光信号的幅度会下降和波形畸变。对于长距离的传输,需要每隔一定距离设置一个光中继器。光中继器的作用是补偿光信号的幅度损耗,对畸变失真的信号波形进行整形,恢复光信号的形状和时钟信号,即再放大、再整形、再定时,简称 3R。
光中继器分为光电型中继器和全光型中继器。
1.光电型中继器
光电型中继器是先用光电检测器将光纤送来的微弱的光信号转换成电信号,经过放大、整形和再生,恢复出原来的数字电信号,然后再对光源进行调制,产生光信号向下一段光纤传输,如图1-51 所示。光电型中继器并不是直接将光接收机和光发送机结合在一起,只是光接收电路和光发送电路的组合,不包括光接收机的译码电路部分和光发送机的编码电路部分。
图1-51 光电型中继器
2.全光型中继器
全光型中继器是利用光发大器直接在光域对微弱的光信号进行幅度放大,其结构如图1-52所示。目前,全光型中继器对波形的整形不起作用。
全光型中继器主要是利用EDFA实现对光信号的放大。掺铒光纤放大器的波长为 1 550 nm。实际使用时,将掺铒光纤放大器安放在光纤线路中,两端与传输光纤直接对接,将 1 550 nm波长的光信号直接放大,实现光信号的中继。
全光型中继器设备简单,没有光—电—光的转换过程,工作频带宽。全光型中继器使用光放大器作中继器时对波形的整形不起作用。
图1-52 EDFA用作光信号放大的全光型中继器
本任务的目的是测试光中继器对光信号的放大作用。
1.材料准备
光发送机 1 台,光接收机 1 台,光中继器 1 台,光衰减器 1 台,2 m光纤跳线 3 根,50 km光纤跳线 1 根。
2.实施步骤
(1)如图1-50 所示,连接光端机和仪器,码型发生器送 2 23 -1 伪随机码。用光衰减器模拟工程中的光缆线路损耗。
(2)调节光衰减器增大
调节光衰减器处于适当位置,观察示波器出现清晰的眼图。然后逐步增大光衰减器的损耗,系统处于临界误码告警状态,观察示波器出现眼图模糊,光端机出现失步告警。说明此时接收光功率刚低于灵敏度。
(3)测试光衰减器输出光功率
取下光衰减器OUT接口上的光纤连接器,连接到光功率计的IN接口,测得光衰减器输出光功率 P 1 。
(4)测试光中继器的放大作用
取下光功率计的IN接口上的光纤连接器,连接到光中继器的IN接口上。用一根 2 m的光纤跳线连接光中继器的OUT接口和光功率计的IN接口,测得光中继器的输出光功率 P 2 。计算光中继器对光信号的放大为 P 2 - P 1 。
(5)光中继器延长了传输距离
取下连接光中继器和光功率计的光纤跳线。用一根 50 km的光纤将光中继器和光接收机连接起来,如图1-53 所示。观察示波器出现清晰的眼图,光端机告警消失。说明此时接收光功率介于灵敏度和过载光功率之间,光纤通信系统处于正常工作状态。可见,由于光中继器的插入,可以至少延长 50 km的光纤传输距离。
图1-53 光中继器延长了光纤传输距离
任务 :理解数字光纤通信系统的设计步骤,掌握光纤通信系统工作波长、光纤类型、光检测器、光源的选定方法。
要求 :能进行数字光纤通信系统简单设计,会计算出光纤通信系统的最长中继距离和最短中继距离。
光纤通信系统的描述和指标有比特率、传输距离、码型和误码率等,其中误码率是保证传输质量的基本指标,受多种因素制约,与光探测器性能、前置放大器性能、码速、光波形、消光比以及线路码型有关。光纤通信系统设计的任务就是要通过适当选择器件以减小系统噪声的影响,确保系统达到要求的性能。
光纤通信系统设计的主要步骤如下:
1.确定传输容量
首先根据通信系统的业务要求确定光纤通信系统的传输容量。光纤通信系统的传输带宽越大,传输容量就越大。系统的传输带宽除了与光纤的色散特性有关以外,还与光发射机和光接收机等设备有关。工程上常用系统上升时间来表示系统的传输带宽。系统的上升时间定义为:在阶跃脉冲作用下,系统响应从幅值的 10%上升到 90%所需要的时间,如图1-54 所示。系统带宽与上升时间成反比,脉冲上升时间越短,调制的带宽就越大,系统容量越大。
光纤通信系统的传输容量还与通道数量及单通道速率有关,如10 Gbit/ s的单通道系统、40 × 100 Gbit/ s的四十通道系统。
2.确定工作波长
在系统的传输容量确定后,就应确定系统的工作波长,然后选择工作在这一区域内的光纤器件。如果系统传输距离不太远,工作波长可以选择在 850 nm窗口;如果传输距离较远,应选择 1 310 nm或 1 550 nm窗口。远距离单波长系统常采用 1 310 nm窗口和1 550 nm。由于1 550 nm附近的工作频带比 1 310 nm较大,波分复用系统一般选择 1 550 nm窗口。光纤接入网的以太网无源光网络(EPON)和吉比特无源光网络(GPON)也采用波分技术,上行采用 1 310 nm波长,下行采用 1 490 nm波长。
图1-54 系统上升时间
3.选择光纤类型
光纤类型的选择应该根据通信容量的大小和工作波长来决定。多模光纤和单模光纤除了工作模式上的差别外,在带宽、损耗常数、尺寸和价格等方面存在较大差异。
多模光纤的带宽比单模光纤带宽小得多,损耗比单模光纤大得多,但芯径较大,数值孔径也较大,有利于光源光功率耦合到光纤中,且对于光纤连接器和适配器的要求都不高,比较适用于低速、短距离的系统和网络,典型的应用有计算机局域网、光纤用户接入网等。
单模光纤的带宽较宽,损耗较低,比较适合高速、长距离的系统,典型的应用有SDH、DWDM、OTN系统等。单波长系统或粗波分系统常采用G. 652 单模光纤,波分复用系统一般选用G. 655、G. 656 单模光纤或G. 652 单模光纤加色散补偿光纤,光纤接入网中采用G. 652 或G. 657 单模光纤。
选定光纤类型以后,还要确定光纤的损耗系数、色散系数、光纤的平均接头损耗,光通道功率代价、光缆富余度,以及光缆成端时光纤适配器与尾纤的熔接损耗。
4.光接收机选取
光接收机的核心器件是光电检测器,光电检测器的选取通常放在光源之前。接收灵敏度和过载光功率是选择光电检测器主要考虑的参数,此外还应综合考虑成本和复杂程度。PIN与APD相比,结构简单,成本较低,但灵敏度没有APD高,目前它们经常与前置放大器组合成组件使用。光电检测器确定后,就选定光接收机。随着光接收机的选定,光接收机的接收灵敏度和动态范围就确定。
5.光发送机选取
光发送机最核心的器件是光源,光源的选择要考虑系统的色散、数据速率、传输距离和成本等参数。LD的谱线宽度比LED的要窄得多。在波长 800~900 nm的区域里,LED的谱线宽度与石英光纤色散特性的共同作用将带宽距离积限制在 150 Mbit/(s·km)以内,要达到更高的数值,在此波长区域内就要用LD激光器。当波长在 1 300 nm附近时,光纤的色散很小,此时使用LED可以达到1 500 Mbit/(s·km)的带宽距离积。若采用InGaAsP激光器,则1 300 nm波长区域上的带宽距离积可以超过25 Gbit/(s·km)。在1 550 nm波长区域内,单模光纤的极限带宽距离积约为 500 Mbit/(s·km)。
一般而言,LD耦合进光纤的功率比LED要高出 10~15 dB,因此采用LD可以获得更大的无中继传输距离,但是价格要昂贵许多,所以要综合考虑加以选择。光源确定后,就选定光发送机。随着发送机的选定,光发送机的平均发送光功率和消光比就确定。
6.中继距离预算
当两个站点之间的传输距离确定后,需要预算出中继距离(即中继器距发送机之间的距离)。若中继距离小于两个站点之间的传输距离,则需要在站点中间增加光中继器。
当光源和光电检测器选定以后,色散和损耗是限制光纤通信系统中继距离的最终决定因素。中继距离的预算分为损耗受限系统和色散受限系统两种情况。
(1)损耗受限系统中继距离预算
当光纤通信系统的传输带宽(包括光纤、光源和光检波器的带宽)与系统码速率相比足够大时,系统带宽对光接收机灵敏度的影响可以忽略,中继距离由光信号发送端(S点)和光信号接收端(R点)之间的光通道损耗决定,这种系统称为损耗限制系统。
数字光纤通信系统设计的基本方法是最坏值设计法。所谓最坏值设计法,就是在设计中继距离时,将所有参数值都按最坏值选取,而不管其具体分布如何。在用最坏值法设计数字光纤通信系统时,对光纤设备和光缆线路都预先设定富余度。通常发送机富余度取 1dB左右,而接收机富余度取 2~4 dB,设备总富余度为 3~5 dB。设备富余度是一个估计值,用于补偿器件老化、温度波动以及将来可能加入的链路器件引起的损耗。
光发送机发送的光功率减去光纤链路的损耗和系统富余度,即为光接收机的接收光功率。光纤链路的损耗包括光纤损耗、连接器损耗、接头损耗、分路器和损耗器等元件设备的插入损耗。图1-55 显示了光纤通信系统整个光通道损耗的组成,包括光纤适配器损耗、尾纤熔接损耗、光纤本身损耗、光纤接头损耗、光缆富余度和设备富余度、光通道功率代价。
图1-55 光通道损耗的组成
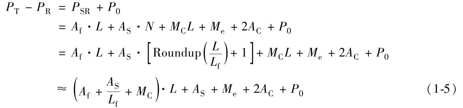
按照ITU - T G. 957 的规定,允许的光通道损耗 P SR 为
式中, P T 为发送光功率, P R 为接收光功率, P 0 为光通道功率代价。 P 0 与发送机光源特性及光通道色散和反射特性有关,可以等效为附加接收损耗。
实际S-R点的允许损耗为
式中,
N
为光纤熔接接头数量,Roundup()是向上取整函数,如Roundup(2.1)为 3,Roundup
为光纤段数。由于光发送机到光接收机之间的中继段光纤两端在ODF架中各有 1 个熔接接头,
N
为光纤段数加 1。
A
f
为光纤的平均损耗系数,
L
为光纤中继距离,
A
S
为光纤接头平均损耗,
L
f
为单盘光缆的盘长(一般为 2 km),
M
C
为光缆富余度,
M
e
为设备富余度,
A
C
为光纤配线架或光缆终端盒上的光纤适配器及尾纤熔接损耗,按两个考虑。
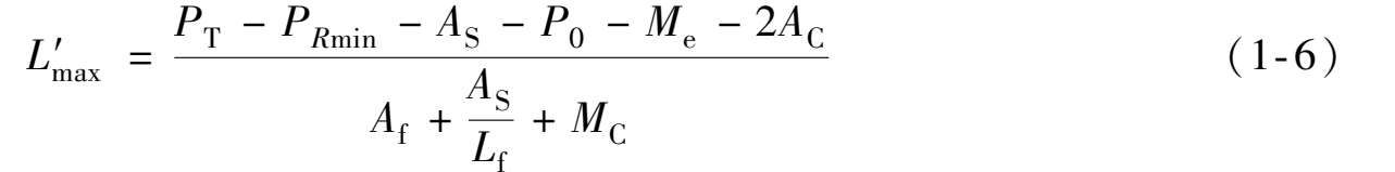
当接收光功率取最小值即灵敏度 P Rmin 时,可以计算出损耗受限系统最大中继距离为
若要保证接收光功率变化不超过动态范围 D ,应该满足 P 0 + M e + M c · L ≤ D 。当刚好相等时,对应的中继距离最小,即
(2)色散受限系统中继距离预算
当光纤的损耗很小而系统的传输速率又足够高时,再生中继段距离由S和R点之间光通道总色散所限定,这种系统称为色散限制系统。可以根据色散来估算中继距离。
在光纤通信系统中,使用不同类型的光源,光纤色散对系统的影响各不相同。
①采用多纵模激光器(MLM-LD)和LED时,系统的色散受限最大中继距离为
式中, ε 为与光源有关的系数,光源为MLM-LD时 ε 取 0.115,光源为LED时 ε 取 0.306; f b 为信号比特率, D m 是光纤色散系数, δ λ 为光源最大均方根谱线宽度。
②对于采用单纵模激光器直接调制时,假设光脉冲为高斯波形,允许的脉冲展宽不超过发送脉冲宽度的 10%,系统的色散受限最大中继距离为
式中, λ 为工作波长, D m 是光纤色散系数, f b 为信号比特率, α 为啁啾系数,当采用普通分布反馈式(DFB)激光器作为光源时, α 取值范围为 4~6;当采用新型的量子阱激光器时, α 取值范围为 2~4。
③对于采用单纵模激光器间接调制时,系统的色散受限最大中继距离为
式中, c 为光速, λ 为工作波长, D m 为光纤色散系数, f b 为信号比特率。
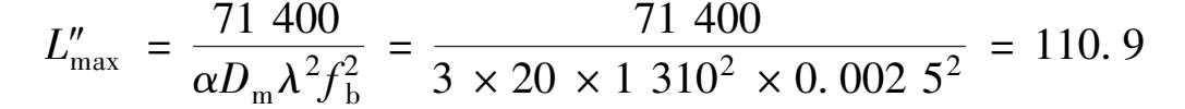
例如:2.5 Gbit/ s光纤通信系统的工作波长 λ 为1 550 nm,光纤色散系数 D m 为17 ps/(nm·km),采用啁啾系数为 3 的普通量子阱激光器时色散受限最大中继距离为 93 km;采用啁啾系数为 0.5 的电吸收EA调制器色散受限最大中继距离达 559 km;采用M-Z型外调制器的系统色散受限最大中继距离可以延长到 1 175 km左右。
实际系统设计分析时,首先根据式(1-7)计算出最小中继距离
L
min
。然后根据式(1-6)预算出损耗受限最大中继距离
,根据式(1-8)至式(1-10)预算出色散受限最大中继距离
,选择
和
的最小值作为最大中继距离,即
。若
有
,则该系统为损耗受限系统;若
,有
,则该系统为色散受限系统。
最后选定的传输距离 L 应介于最小中继距离和最大中继距离之间,即满足 L min ≤ L ≤ L max 。
本任务的目的是设计一个单波 2.5 Gbit/ s高速铁路光纤通信系统,沿途具备设站条件的候选站点间的距离为 30~58 km,系统设计要求设备富余度 M e 为 4 dB。
1.材料准备
无。
2.实施步骤
(1)确定传输容量
系统传输容量为 2.5 Gbit/ s。
(2)确定工作波长
由于是单波光纤通信系统,工作窗口选择 1 310 nm。
(3)选择光纤类型
根据上述 58 km的最长站间距离选择L-16.2 系统(其目标距离 80 km)的G. 652 单模光纤,单盘光缆在 1 310 nm波长处的损耗系数 A f 为 0.28 dB/ km,单个光纤接头的损耗 A S 为 0.1 dB,单盘光缆的盘长 L f 为 2 km,活动连接器损耗 A C 为 0.25 dB,光纤色散系数 D m 为 20 ps/(nm·km)。光缆富余度 M c 为 0.05 dB/ km,光通道功率代价 P 0 为 2 dB。
(4)光电检测器选取
根据站点间距离选择APD光电检测器,确定光接收机动态范围为 23 dB,灵敏度 P Rmin 为-34 dBm。
(5)光源选取
光源选择量子阱单纵模激光器,采用直接调制,啁啾系数为 α = 3。光发送机平均发送光功率 P T 为-2~1 dBm。系统速率为 2.5 Gbit/ s,则 f b 为 0.002 5 Tbit/ s。
(6)中继距离预算
依据式(1-11)可以计算出系统的最小中继距离为
依据式(1-10)可以计算出损耗受限系统的最大中继距离为
依据式(1-13)可以计算出色散受限系统的最大中继距离为
由于
,最大中继距离
=74.74 km,此系统为损耗受限系统。
经计算,站点间的距离 30~58 km包含在 L min ~ L max 即 25.45~74.74 km范围内,该系统能满足 30~58 km无中继传输距离的要求。
若计算得出的 L min 和 L max 不能满足 L min < L < L max 条件,则需要重新调整步骤3~步骤5 所选择器件的参数,使光纤的距离 L 介于 L min 和 L max 之间。
任务 :了解光端机和光模块的功能,认识以太网光纤通信系统各组成部件。
要求 :能识别光纤收发器,能组建以太网光纤通信系统。
(一)光端机与光模块
1.光端机
在光纤通信系统中,常使用双向通信,光发送机与光接收机集成在一起统称为光端机。根据应用范围分类,光端机分为传输光端机、视频光端机、以太网光端机。PDH光端机、SDH光端机、OTN光端机均属于传输光端机范畴。以太网光端机不进行速率的变换,只是进行电信号和光信号之间的转换,一般称为光收发器。视频光端机主要是传输视频信号。目前应用较为广泛的网络摄像机和监视器之间连接主要采用以太网光收发器进行连接。
2.光模块
随着光纤的普及应用,交换机、路由器、OLT、ONU等设备中常嵌入光模块来进行光/电和电/光转换。光模块由光电子器件、功能电路和光接口等组成,光电子器件包括发送和接收两部分。其中,光模块的发送部分原理为:输入一定码率的电信号经内部的驱动芯片处理后驱动LD或LED发射出相应速率的调制光信号,其内部带有光功率自动控制电路,使输出的光信号功率保持稳定。光模块的接收部分原理为:一定码率的光信号输入模块后由光检测二极管转换为电信号,经前置放大器后输出相应码率的电信号。在输入光功率小于灵敏度或大于过载光功率时,光模块会输出一个告警信号。
(1)光模块按照速率分为:以太网应用的 100Base、1000Base、10GE、40GE,SDH应用的155 Mbit/ s、622 Mbit/ s、2.5 Gbit/ s、10 Gbit/ s、40 Gbit/ s和OTN应用的 10 Gbit/ s、40 Gbit/ s、100 Gbit/ s。
(2)光模块按照封装分为:1 × 9、SFF、GBIC、SFP、XENPAK、X2、XFP、QSFP、BIDI,各种封装如图1-56 所示。
图1-56 光模块的封装形式
1 × 9 封装为焊接型光模块,一般速度不高于千兆,多采用SC接口。
SFF封装为焊接小封装光模块,一般速度不高于千兆,多采用LC接口。由于SFF小封装模块采用了与铜线网络类似的MT-RJ接口,大小与常见的以太网铜线接口相同。
GBIC封装全称为千兆以太网接口转换器,是将千兆位电信号转换为光信号的接口器件,采用SC接口。
SFP封装为小型可插拔收发光模块,目前最高速率可达 4 Gbit/ s,多采用LC接口。SFP可以简单地理解为GBIC的升级版本。SFP模块体积比GBIC模块减少一半,比X2 和XFP封装也更紧凑。SFP +光模块的外形和SFP光模块是一样的,用于 10 Gbit/ s以太网和 8.5 Gbit/ s光纤通信系统。
XENPAK封装应用在万兆以太网,采用SC接口,安装到电路板上时需要在电路板上开槽,实现较复杂,无法实现高密度应用。
X2 光模块由XENPAK光模块的标准演变而来,只有XENPAK的一半左右,可以直接放到电路板上,因此适用于高密度的机架系统和PCI网卡应用。
XFP封装为 10 Gbit/ s光模块,多采用LC接口。相比SFP +光模块,XFP光模块还具有信号调制功能、串行/解串器、MAC、时钟和数据恢复(CDR)以及电子色散补偿(EDC)功能,尺寸更大、功耗更高。
QSFP采用四通道 10 Gbit/ s SFP接口,是为了满足市场对更高密度的可插拔解决方案而产生的,传输速率达到 40 Gbit/ s。
BIDI光模块使用WDM(波分复用)双向传输技术,实现了在一根光纤上同时进行光通道内的双向传输。BIDI光模块只有一个插孔,通过整合的双向耦合器在一根光纤上进行信号的发射与接收。
(3)根据功能分为:光接收模块、光发送模块、光收发一体模块和光转发模块等。
光收发一体化模块是光纤通信中重要的器件,其主要功能是实现光/电或电/光变换,包括光功率控制、调制发送,信号探测、IV转换以及限幅放大判决再生功能,此外还有防伪信息查询、TX-disable等功能,常见的光收发一体化模块有SFP、SFF、SFP +、GBIC、XFP、1 × 9 等封装。
光转发模块除了具有光电变换功能外,还集成很多的信号处理功能,如MUX/ DEMUX、CDR、功能控制、性能量采集及监控等功能。常见的光转发模块有 200 /300pin、XENPAK、X2 /XPAK等。
3.光模块的主要参数
(1)传输速率
光模块的传输速率有 100 Mbit/ s、1 Gbit/ s、2.5 Gbit/ s、10 Gbit/ s、40 Gbit/ s、100 Gbit/ s等类型。
(2)传输距离
光模块的传输距离分为短距、中距和长距三种。一般认为 2 km及以下为短距离,2~20 km为中距离,20 km以上为长距离。用户需要根据自己的实际组网情况选择合适的光模块,以满足不同的传输距离要求。
光模块可传输的距离主要受到损耗和色散两方面限制。对于百兆、千兆的光模块,色散受限中继距离远大于损耗受限中继距离,可以不考虑色散。
(3)中心波长
中心波长是指光信号传输所使用的光波段。目前常用的光模块的中心波长主要有850 nm波段、1 310 nm波段以及 1 550 nm波段三种。850 nm波段多用于小于 2 km的短距离传输;1 310 nm和 1 550 nm波段多用于 2 km以上的中长距离传输。
(4)接口指标
光模块的接口指标有输出光功率、接收灵敏度、动态范围、过载光功率等。
任务情景:某高铁站场安装有一台摄像机,车站的监控机房内有一台监视器,摄像机距监视器距离为 10 km。要求在监视器上可以看到摄像机拍摄到的视频图像,实现实时监控。
本任务的目的是使用光收发器和光纤组建一个点到点以太网光纤通信系统,进行视频信号的远距离传输。
1.材料准备
光纤收发器两台,光纤跳线 4 根,可调光衰减器两个,网络摄像头 1 台,计算机 1 台,网线两根。
2.实施步骤
(1)任务分析:若摄像机与监视器之间的距离在 100 m以内可以采用网线直连。本任务中摄像机与监视器之间的距离为 10 km,需要采用光纤进行远距离传输,可通过组建点到点以太网光纤通信系统来实现,光端机的光信号和电信号速率可以相同,无需复用和解复用功能。选用HTB-1100S型以太网光纤收发器,用带光衰减器的光纤线路模拟 10 km光缆线路,用计算机的显示器作为监视器。
(2)识别光纤收发器各接口和指示灯
HTB-1100S型以太网光纤收发器如图1-57 所示,包括Tx和Rx两个SC光接口,1 个RJ-45以太网电接口,1 个 5 V DC电源接口。
图1-57 HTB-1100S光纤收发器外形与指示灯
HTB-1100S光纤收发器有 6 个指示灯:左上指示灯为Fx 100,指示光纤线路光接口的传输速率;左中指示灯为Fx LINK,指示光纤线路光接口的工作状态;左下指示灯为FDX,指示该光收发器的工作模式;右上指示灯为Tx 100,指示以太网电接口的传输速率;右中指示灯为Tx ACT,指示以太网电接口的工作状态;右下指示灯为PWR,指示该光收发器的供电状态。
(3)识别光纤收发器参数
HTB-1100S光纤收发器的参数见表 1-3。
表 1-3 HTB-1100S光纤收发器参数
(4)连接光纤收发器电源
用电源适配器连接在光纤收发器的 5 V DC接口上,观察光纤收发器的左下FDX和右下PWR指示灯亮,说明电源连接正确。
(5)连接光纤收发器的光纤线路
用光纤跳线将光纤收发器 1 的Tx和光纤收发器 2 的Rx相连,用光纤跳线将光纤收发器2 的Tx和光纤收发器 1 的Rx相连。为了模拟任务中 10 km光缆线路,光纤跳线中间插入光衰减器,如图1-58 所示。从光纤收发器的性能参数可以看出,光衰减器、光纤跳线、光纤适配器组成的最大链路损耗不可大于 23 dB。
图1-58 光纤通信系统连接示意图
(6)调节光衰减器使光收发器工作正常
调节光衰减器 1,使光纤收发器 2 接收光功率介于灵敏度和过载光功率之间,观察光纤收发器 2 的左上Fx 100 和左中Fx LINK显示灯亮,说明光纤收发器 2 接收光信号正常。
调节光衰减器 2,使光纤收发器 1 接收光功率介于灵敏度和过载光功率之间,观察光纤收发器 1 的左上Fx 100 和左中Fx LINK显示灯亮,说明光纤收发器 1 接收光信号正常。
(7)使用网线将网络摄像机和计算机分别连入两个光纤收发器的以太网接口。观察光纤收发器的右上Tx 100 和右中Tx ACT显示灯亮,说明电信号收发正常。
(8)将计算机的IP地址与网络摄像机的IP地址设置在同一网段(如摄像机的IP地址为192.168.1.2,计算机的IP地址为 192.168.1.1,子网掩码均为 255.255.255.0)。在计算机上Ping通网络摄像机的IP地址,如图1-59 所示。丢包率为0%(0% Loss),说明计算机与网络摄像机已联通。
图1-59 计算机上Ping通网络摄像机的IP地址
(9)打开计算机的IE浏览器,输入摄像机的IP地址(如 192.168.1.2),进入摄像机的登录界面,输入用户名(如admin)和密码(如admin)。若在计算机监视器上能看到拍摄的视频图像,说明光纤通信系统正常工作。若在计算机监视器上看不到拍摄的视频图像,需要调节光衰减器的损耗,使光纤通信系统工作正常。