



本案例由具体科研项目整理而成。为提高北京—西安方向高速铁路既有客运产品的服务水平和收益,掌握旅客出行需求特征,并为客运产品的改进和客票票价的调整提供依据,项目组开展了高速铁路旅客出行选择行为的调查与分析。调查采用RP和SP调查相结合的方式,通过RP调查获取旅客的个人基本特征、出行特征等信息,通过SP调查获取不同条件下的旅客出行对核心服务和辅助服务的需求、选择偏好和支付意愿。
1.调查问卷设计
本案例调查时,考虑未来产品的改进,假设两列具有不同服务属性的高速铁路动车组列车,旅客可在这两列动车组列车中选择自己更愿意乘坐的列车,从而获得旅客对于列车所具有的各属性及其水平的偏好。问卷分为旅客基本属性和旅客意向产品选择两部分。旅客基础属性为RP调查,主要获取旅客的性别、年龄、职业、收入等个人基本特征,掌握旅客的社会经济属性及出行需求。旅客意向产品选择为SP调查,设计多种情景与方案供旅客选择,根据结果分析旅客的选择意愿。
SP调查实验是针对以列车为载体的客运服务产品,目标是设计出不同情景的客运服务全过程,包括核心服务要素(如速度、价格等)、辅助服务要素(如信息、餐饮等)及相关服务标准和水平,给予旅客对各类客运服务的实际感知体验参照及选择偏好,最终掌握旅客对出行服务属性需求的重视及选择规律。
(1)客运服务属性设计。包括对列车整体服务环境所构建的自身属性和列车出行特征属性。列车自身属性包括列车上的餐饮服务、卫生设施、硬件设施服务、车内信息服务、乘务员服务等;列车出行属性包括列车票价、发车时间、运行时间等。自身属性和列车出行特征都应该考虑在情景设计里面。
(2)客运服务属性水平。服务属性水平指标包括列车票价水平、列车运行时间水平、列车发车时段水平、车上服务水平。表2.2为问卷情景设计中选取的决定列车条件的属性及其水平。
表2.2 决定列车条件的属性及其水平
注:表中 P 表示列车各种席位票价。
(3)SP调查情景组合设计。情景组合设计是将各调查属性及其水平以一定的方式组合,形成可供受访者选择的方案,让受访者从给出的选择中选出自己最偏好的一种方案。本案例采用正交设计方法进行情景设计,基本思想是利用部分试验来替代全部的试验方案,通过对代表性的部分试验方案的结果进行分析来了解整体试验的结果。案例共设置42个情景,决定列车条件的属性及其水平可扫描二维码获取。
扫一扫
决定列车条件的属性及其水平
扫一扫
调查问卷示例
(4)调查问卷的确定。考虑到受访者的耐性和获取数据的准确性,获得的42种试验情景不可能全部放在一张调查问卷中,本案例将42种试验情景分到6份调查问卷中,每份调查问卷中具有7个情景需要旅客进行选择。调查问卷示例可扫描二维码获取。
2.调查实施及数据分析
(1)调查实施。
本次调查从方案设计到实施过程,涉及旅客服务需求、产品选择、企业决策等,尤其是基于列车的服务全过程42个情景式方案设计,不仅要体现科学性、客观性等,更要做到旅客的准确解读和真实选择等。本次调查采用现场分发问卷的方式,调查地点选择北京西站的候车室,调查时间为20××年7月2日(周日)、3日全天(周一)。发放问卷480份、有效问卷429份,获得有效数据3 003条。
(2)调查数据整理与分析。
①旅客出行属性分析。
样本旅客的男女比例约为2.3∶1;年龄主要集中在23岁及以下、24至30岁、31至40岁、41至50岁这四个年龄段,占总调查人数的90%以上,且在四个阶段分布较为均匀;旅客职业主要集中在企事业单位人员、学生、个体经营者、公务员及务工人员,其中企事业单位人员占比较大,占总调查人数的32%,学生和个体经营者次之,分别占总调查人数的21%和14%;旅客年收入主要集中在6万元以下和6万~10万元两个选项,占总调查人数的70%;旅客出行目的集中在出差、旅游、探亲三项上,占总调查人口的80%,其中出差占比最高,达到了38%;旅客出行费用以自费为主,自费与公费之比约为2∶1。
②旅客属性的聚类分析。
为进一步有效利用调查数据进行旅客信息的挖掘,基于上述旅客的性别、年龄、职业、年收入、出行目的、出行费用来源等出行属性数据,采用K-means聚类分析方法对旅客进行了分类,从而更深入、立体地分析不同类型旅客之间存在的差异。采用SPSS软件进行了多次试验,将旅客划分为了三类,第一类旅客71人,第二类旅客91人,第三类旅客267人,不同类别的属性特征对比如图2.13所示,从图中可以看出,不同类别旅客在收入、出行目的、职业、出行费用来源属性方面有比较明显的区别。
按照上述旅客分类结果,高端商务旅客的市场规模最小,约为16%;探亲返乡旅客的市场规模约为20%;普通出差和学生旅客市场规模最大,约为64%。由于不同类别旅客的差异性会造成其在支付意愿、舒适性等方面选择偏好的不同,铁路运营部门可以根据不同类别旅客的市场规模和典型特征采用不同的定价方案和营销服务策略来吸引和稳定乘客。高速铁路产品优化时也可以针对不同细分市场旅客进行差异化设计。
图2.13 不同类别旅客的属性特征
(3)旅客选择行为分析。
结合问卷调查中考虑的因素,可以构建基于MNL模型(multinominal logit model)的旅客选择行为模型,分析旅客对不同高速铁路列车产品的出行选择偏好,刻画列车票价、列车运行时间、列车发车时间段、车上服务水平对旅客选择行为的影响。其中,列车的票价与运行时间变量为连续变量,能定量表示,而发车时段变量和车上服务水平变量通过0-1变量的定性形式描述。案例模型所涉及的变量见表2.3。
表2.3 旅客出行选择模型变量
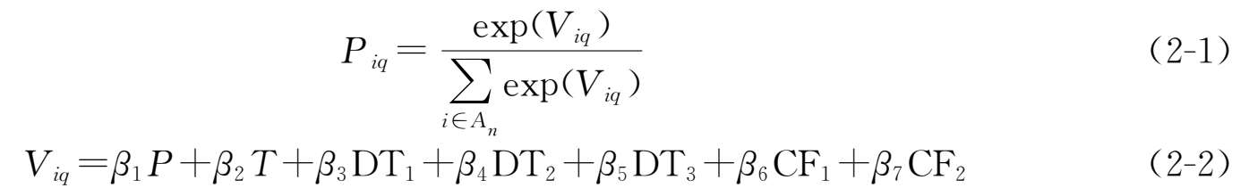
根据MNL模型,旅客 q 选择列车 i 的概率表达式 P iq 和效用函数 V iq 如式(2-1)和式(2-2)所示。
其中,A n 为旅客可选择的列车集合,β 1 、β 2 、β 3 、β 4 、β 5 、β 6 、β 7 为待估参数。
本案例中采用Biogeme软件可以对多种类的随机效用模型进行参数估计。输入调查的数据后,估计得到的参数见表2.4。
为评估构建模型的拟合度与选取变量的合理性,需要进一步对估计得到的参数进行检验。案例选用 t 检验来检验变量的显著性,一般而言, t 统计量绝对值较大的变量更具有解释能力,实际进行参数检验时,可根据需要设置不同的置信区间,当置信区间为90%时, t 统计量的绝对值需大于1.65,当置信区间为95%时, t 统计量的绝对值需大于1.96。Biogeme中默认的置信区间为95%。从表2.5中可以看出,模型各参数的 t 统计量绝对值都大于1且都大于1.96,均具有较好的解释力度,都应保留。决定系数 ρ 2 为检验模型拟合优度的指标,值越大说明拟合优度越高,也可以通过校正决定系数Adjusted ρ 2 来检验模型拟合优度,同样也是值越大说明拟合优度越高。此外,对数似然值Log-likelihood表示模型对于观测数据的拟合程度,Log-likelihood值越大,表示模型对数据的拟合越好。
表2.4 模型估计参数结果
根据参数估计结果可以看出:①列车票价变量参数和列车运行时间变量参数估计值都为负值,说明提高票价时会对旅客产生负效用,列车运行时间的增加会对旅客产生负效用。②各发车时段变量的参数估计结果均为正值,并且发车时段为8:00至12:00的参数值最大,说明旅客最偏好选择8:00至12:00之间的高速铁路列车,其次是发车时段12:00至16:00之间的高速铁路列车。③各车上服务水平变量的参数估计结果均为正值,并且同时提供免费Wi-Fi和免费餐饮的参数值最大,说明旅客对于列车能提供免费Wi-Fi和免费餐饮服务的意愿强烈。
3.调查结论和建议
结合上述调查数据分析结果,对北京—西安方向高速铁路客运产品可以从以下几个方面进行改进和优化,从而更好地均衡不同客运产品(席位)利用率,优化乘车环境,提高高速铁路竞争力。
(1)对于不同发车时段的车次采用差异化的票价策略,均衡各列车的上座率。8:00—12:00时段发车的列车对旅客的吸引力最大,可以适当提高该时段列车的票价,如加价10%或20%;8:00之前发车或16:00之后发车的列车,可以设置不同比例的折扣票价来吸引客流,如打8折或85折。
(2)根据旅客市场细分结构,设计合理的高端产品比例。北京—西安方向的高端商务旅客市场虽然较小,但也有15%左右的规模,该类型旅客能够接受价格较高的商务座或一等座,因此可以按照其市场的规模,调整部分车次商务座、一等座和二等座的比例结构,满足更多的高端出行需求。
(3)完善各次列车的Wi-Fi等智能化服务系统。旅客对于免费Wi-Fi的服务意愿强烈,应不断改进列车的Wi-Fi、列车影音系统等智能化服务设备,提升免费Wi-Fi的覆盖度和上网速度,使旅客在出行过程中感受更方便快捷的网络服务和信息服务。
(4)优化餐饮产品价格和质量。北京-西安的动车组列车运行时间超过4h,调查结果显示旅客对餐饮服务的需求也比较多,应尽可能地降低动车组列车的供餐成本,提供更加多样化的餐饮产品。