



设函数y=f(x)的定义域是D,值域是f(D).如果对于值域f(D)中的每一个y,在D中有唯一的x与之对应,记作x=f -1 (y)或x=φ(y),称为y=f(x)的反函数.由于习惯上自变量用x表示,因变量用y表示,故x=f -1 (y)通常也写作y=f -1 (x).根据反函数的定义与函数的定义,可以发现反函数具有以下几个特点:
①一一对应的函数才有反函数;
②反函数与原函数关于y=x对称;
③反函数与原函数的定义域与值域互换;
④x=f -1 (y),y=f(x)⇒x=f -1 [f(x)];
⑤反函数与原来函数单调性相同.
求反函数的解题步骤:
①将y=f(x)看成方程,解出x=f -1 (y),也可写作y=f -1 (x);
②原函数的值域作为反函数的定义域.
例
1-1
求函数y=
+1(x≥0)的反函数.
解
y=
+1⇒
=y-1⇒x=(y-1)
2
,故x=(y-1)
2
为y=
+1 的反函数,
也可写作y=(x-1) 2 ,定义域x∈[1,+∞ ).
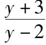
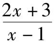
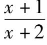
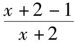
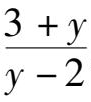
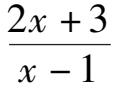
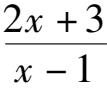
例
1-2
求函数y=
(x≠1)的反函数.
解
y=
⇒yx-y=2x+3⇒(y-2 )x=3+y⇒x=
,
故x=
为y=
的反函数,也可写作y=
,定义域x≠2.
例 1-3 求函数y=ln(x+1)的反函数.
解 y=ln(x+1)⇒e y =x+1⇒x=e y -1,故x=e y -1 为y=ln(x+1)的反函数,也可写作y=e x -1,定义域x∈(-∞ ,+∞ ).
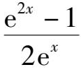
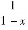
例
1-4
求函数y=
的反函数.
解
y=
⇒y=
⇒y=1-
⇒1-y=
⇒x=
-2.
故x=
-2 为y=
的反函数,也可写作y=
-2,定义域x≠1.
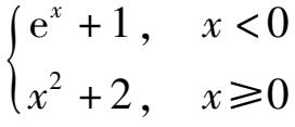
例
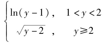
1-5
求函数y=
的反函数.
解 当x < 0 时,y=e x +1⇒y-1=e x ⇒x=ln(y-1),1 < y < 2;
当x≥0 时,y=x
2
+2⇒x=
,y≥2;
综上,反函数为x=
,也可写作y=
.
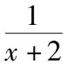
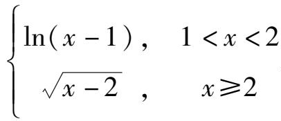
例
1-6
求函数y=ln(x+
)的反函数.
解
e
y
=x+
⇒e
y
-x=
⇒(e
y
-x)
2
=1+x
2
⇒
-
+
=1+
⇒
-1=
⇒x=
, 也可写作y=
=
.
例
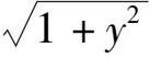
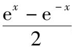
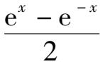
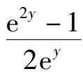
1-7
求函数y=
的反函数.
解 e x -e -x =2y⇒e 2 x -1=2ye x ⇒e 2 x -2ye x =1
⇒e
2
x
-2ye
x
+y
2
=1+y
2
⇒(e
x
-y)
2
=1+y
2
⇒e
x
-y=
⇒e
x
=
+y⇒x=ln(
+y),也可写作y=ln(
+x).