



定义: 若对任意x∈D,按照一定的对应法则f,总存在唯一确定的y与之对应,则称y是x的函数,记作y=f(x).其中,x为自变量;y为因变量;数集D为函数的定义域; f(D)为函数的值域.
因此,构成函数的基本要素为定义域D和对应法则f.如果两个函数的定义域相同,对应法则也相同,那么两个函数即为同一函数.
表示函数的记号除了常用的f外,还可用其他英文字母或希腊字母,如g、φ、F等,即函数可记作y=g(x),y=φ(x),y=F(x)等.下面列举几个函数的例子.
①
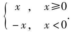
绝对值函数:
y=
=
其定义域为(-∞ ,+∞ ),值域为[0,+∞ ).绝对值函数的图像如图1-1 所示.
②
取整函数:
设x为任一实数,不超过x的最大整数称为x的整数部分,记作y=[x].其定义域为(-∞,+∞),值域为整数集
.例如,
=0,[π]=3,[-2]=-2.[-3,4]=-4,即向下取整.其中,x-1 < [x]≤x < [x]+1.取整函数的图像如图1-2 所示.
图1-1
图1-2
③
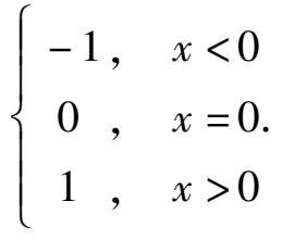
符号函数:
y=sgn x=
其定义域为(-∞ ,+∞ ),值域为{-1,0,1}.其中,x=sgn x ·|x| .符号函数的图像如图1-3 所示.
图1-3
④
狄利克雷数:
D(x)=
其以y轴为对称轴,是一个以任意有理数为周期的偶函数,它处处不连续,处处极限不存在,是不可黎曼积分的可测函数.其定义域为(-∞ ,+∞ ),值域为{0,1}.
注: 上述函数在考试中考察得比较少,更多考察的还是以基本初等函数进行有限次四则运算和复合运算所得到的函数.