



夹逼定理:若a
n
≤b
n
≤c
n
,且
=
=A,则
=A.对于夹逼定理而言,考试中主要考察以下两种题型:
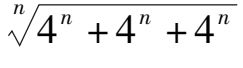
①若a > 0,b > 0,c > 0,则
=max{a,b,c}.
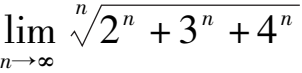
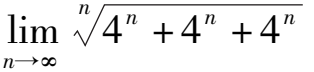
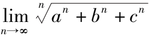
例
1-83
求极限
.
解
≤
≤
,且
=4,
=4,
故
=4.
左边:只要最大项;右边:每一项换成最大项.
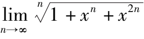
例
1-84
求极限
(x > 0).
解
=max{ 1,x,x
2
}.
当 0 < x < 1 时,
=1;当x > 1 时,
=x
2
;
当x=1 时,
=1.
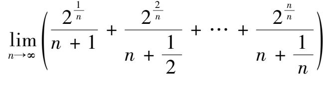
②无穷多项之和:分子或分母各项次数不齐,找最大的分母和最小的分母.
例
1-85
求极限
.
解
+…+
≤
+
+…+
≤
+…+
,
=
=1,故
=1.
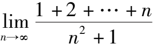
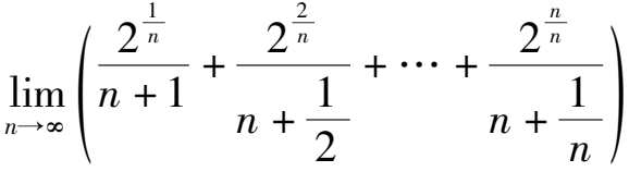
例
1-86
求极限
.
解
+…+
≤
+
+…+
≤
+…+
,
左边:把每一项的分母换成最大的分母;右边:把每一项的分母换成最小的分母.
①将下标x趋于什么代入判断极限类型;(若下标代入极限中能直接得到一个常数,该常数即为所求的极限值)
②
型:等价无穷小.
型:抓大头.
∞ ·0 型:转变成
或
;如:
x cot x,
x
,把简单的那项往分母上放,注意取倒数.
∞-∞型:运用提取公因式、通分、平方差等方法转变成乘除的形式,再根据化简后得到的式子,判断其极限类型.(分式用通分,有根号凑平方差)
型:a.第二重要极限;b.取
,即
⇒
⇒
,将次数转变成
或
.
型:取
,即
⇒
⇒
,ln里的∞一般为+∞,将次数转变成
或
.
型:取
,即
⇒
⇒
,ln里的0 一般为
,将次数转变成
或
.
注: ①在极限的乘除运算中,乘除的关系可以进行等价无穷小和非零常数的替换,加减不要去替换;当加减想要等价时,把极限拆开运算,满足拆开的前提即可拆;
②在极限的加减运算中,将一个极限拆成若干个极限相加减,需要满足拆开后的若干极限的结果都分别存在且若干为有限个;
③注意下标x趋于什么,每做一步判断一次极限类型;
④什么时候需要讨论左右极限:当该点是分段函数分界点时、当
时极限中有根号、当∞出现在了指数函数的次数上、当x→0 时极限中有绝对值等,总的来说就是左右极限会对结果产生不同的影响时才要讨论.
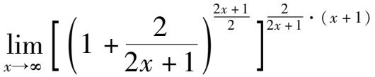
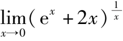
例
1-87
求极限
.
解
=
=e.
例
1-88
求极限
.
解
=
=
=
.
例
1-89
求极限
.
解
=
=
=-
.
例
1-90
求极限
.
解
=
=
.
例
1-91
求极限
.
解
cot x
=
·
=
=
.
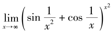
例
1-92
求极限
.
解
=
=
.
例
1-93
求极限
(
-x).
解
(
-x)=
=1.
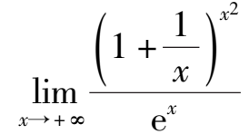
例
1-94
求极限
.
解
=
=
.
例
1-95
求极限
.
解
=
=
=
=
=
=
.
注:
因为分母有
,相当于对
·ln
-x中的ln
~
,加减不要去等价,所以不能用第二重要极限.
例
1-96
求极限
.
解
当x→0 时,x·sin
会等于 0,无意义,故此极限不存在.
(1)等比、等差数列求和,裂项相消;
等差数列前n项和:
=
;
等比数列前n项和:
=
.
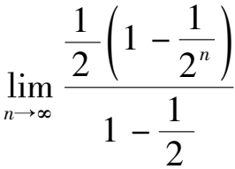
例
1-97
求极限
.
解
=
=1.
例
1-98
求极限
.
解
=
=
.
例
1-99
求极限
.
解
=
=1.
补充:①1+2+…+n=
;
②1+
+…+
=
;
③1+
+…+
=
.
证明 ② 通过(n+1) 3 -n 3 =3n 2 +3n+1,可以发现
2 3 -1 3 =3×1 2 +3×1+1 ,
3 3 -2 3 =3×2 2 +3×2+1 ,
︙
(n+1) 3 -n 3 =3×n 2 +3×n+1.
等号两边分别求和得(n+1) 3 -1=3(1 2 +2 2 +…+n 2 )+3(1+2+…+n)+n,
所以
+
+…+
=
.
证明 ③ 通过(n+1) 2 =n 2 +2n+1,(n-1) 2 =n 2 -2n+1 可得
4 n=
-
,⇒
=
·4 n=
,
=
(
×
-
×
),
=
(
×
-
×
),
︙
=
.
等号两边分别求和得
+
+…+
=
=
.
(2)夹逼定理:分子或分母各项次数不齐,找最大的分母和最小的分母.
(3)定积分定义:分子各项次数齐,分母各项次数也齐,且分子比分母少一次.
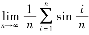
(4)定积分与夹逼定理结合:
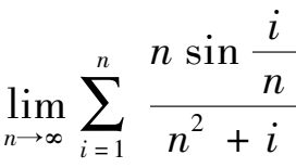
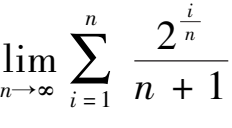
例
1-100
求极限
.
解
=
,
进行放缩得
≤
≤
,
左边:
=
=
=
=
=1-cos 1;
右边:
=
=
=1-cos 1.
所以原式=1-cos 1.
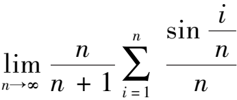
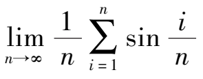
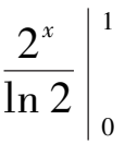
例
1-101
求极限
.
解
=
,
进行放缩得
≤
≤
,
左边:
=
=
=
=
=
;
右边:
=
=
=
=
.
所以原式=
.
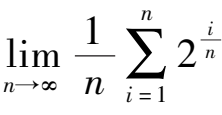
(5)无穷级数:
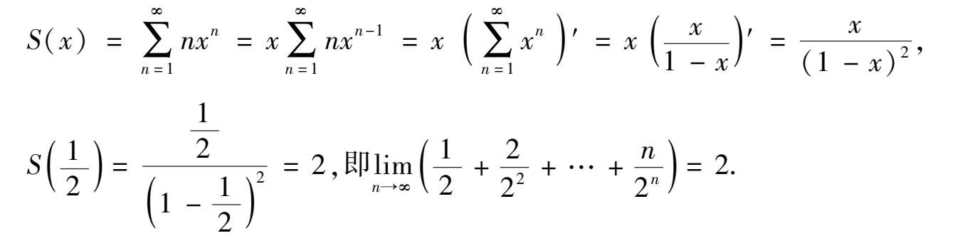
例
1-102
.
解
=
,令S(x)=
,则