



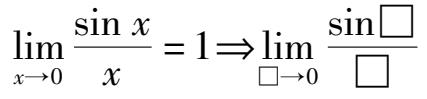
=1.
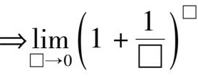
该极限中只要三个□内一致,则该极限结果即为 1.
例
1-49
求极限
.
解
=
·
=
=2×1=2.
例
1-50
求极限
.
解
=
·
=
=
×1=
.
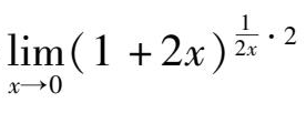
例
1-51
求极限
.
解
=
=1.
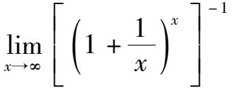
例
1-52
求极限
.
解
=
=1.
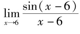
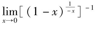
例
1-53
求极限
.
解
=
=2.
例
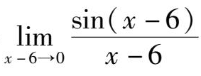
1-54
求极限
.
解
=0.
注:
=0 时刻注意下标x趋于什么.
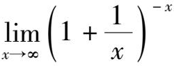
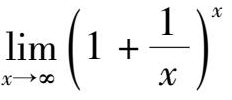
=e
=e;
=e
=e.
求解思路:
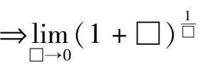
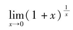
①首先判断极限是 1 ∞ 型;
②底数部分凑出“1+”并且“1+”以外的部分与次数互为倒数;
③再凑回原来的次数,并求剩余次数的极限.
做习惯后可直接得出:若
为
型,则
=
.
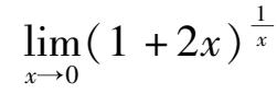
例
1-55
求极限
.
解
=
=
.
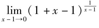
例
1-56
求极限
.
解
=
=
=e.
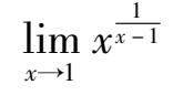
例
1-57
求极限
.
解
=
=
.
例
1-58
求极限
.
解
=
=
.
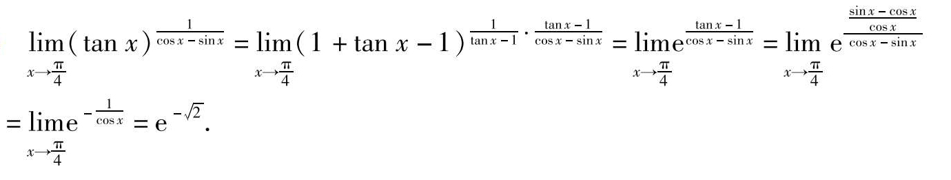
例
1-59
解
=
=
.
例
1-60
.
解