



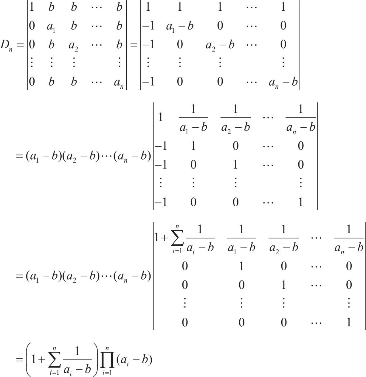
例 1
(中国人民大学,2024)计算行列式
。
解:行列式阶数较低,零元素主要集中在右上角,容易求解。
(方法一)按第一行展开,即:
(方法二)利用拉普拉斯定理。
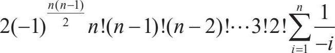
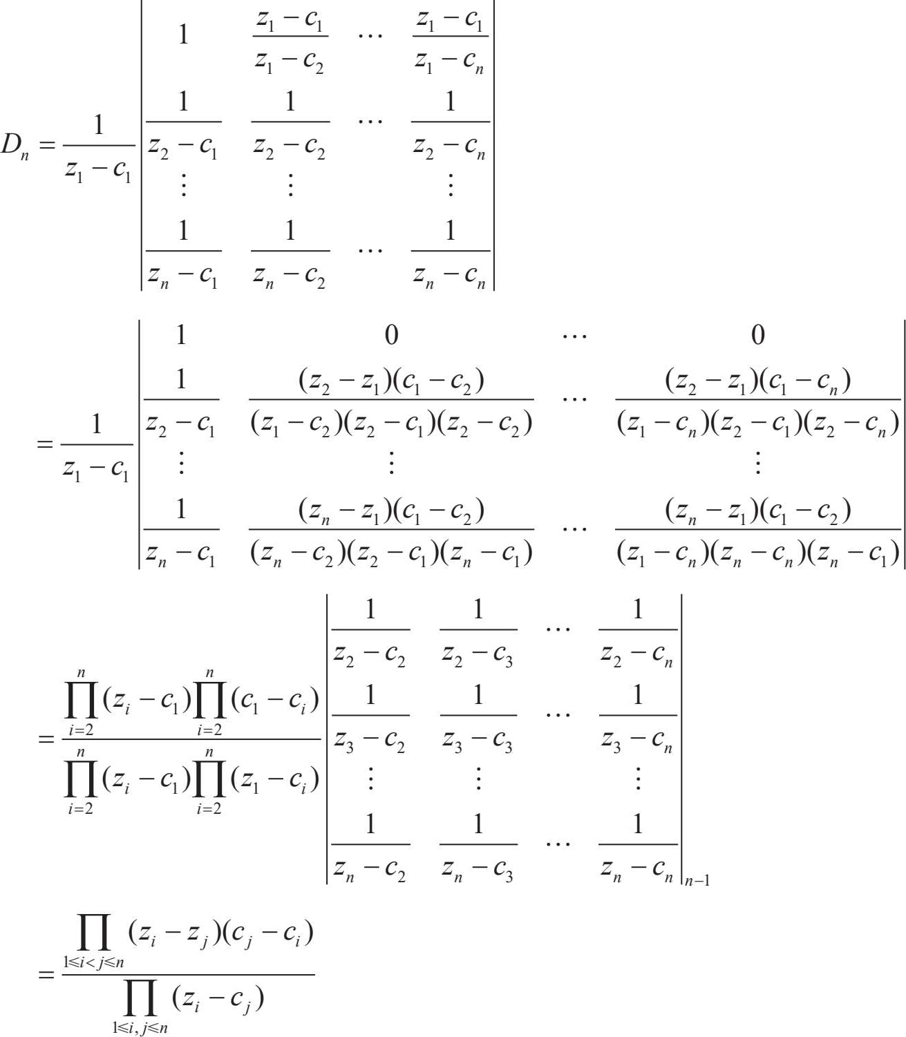
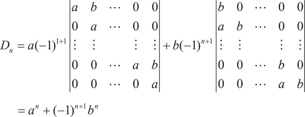
例 2 (南京师范大学,西南大学,2024)计算行列式
解:先采用加边法,再利用拆分法。
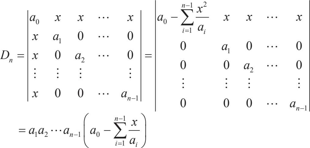
例 3
(集美大学,2024)计算行列式
D
n
=
。
解:将所有行元素加到第一行。
例 4
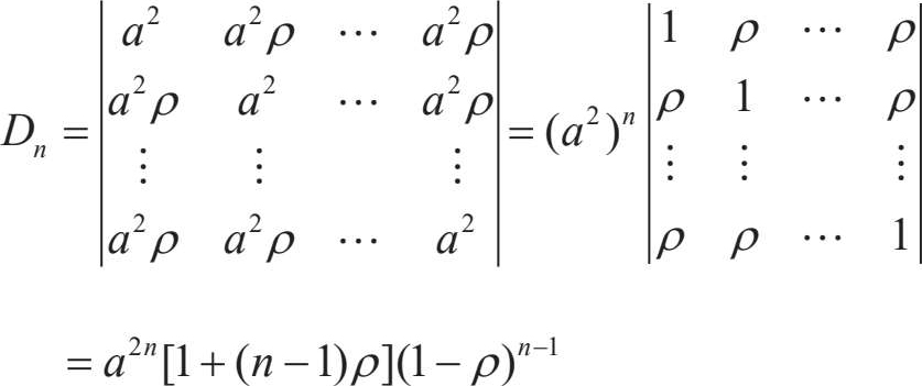
(陕西科技大学,2019)计算行列式
D
n
=
,其中
a
≠0,
ρ
≠1。
解:先提取公因子,再利用行列式性质将该行列式化为三角行列式。
例 5
(湘潭大学,2024)计算行列式
D
n
=
。
解:三对角行列式可以采用递推法计算。
(1)将行列式按第一行展开,可得:
设 α , β 为特征值方程 m 2 −( x + y ) m + x y =0 的根,则 α + β = x + y , αβ = xy ,于是有 α = x , β = y ;可设 D n = Ax n −1 + By n −1 ,又 D 1 = x + y , D 2 = x 2 + y 2 + xy ,则( x − y ) A = x 2 ,( x − y ) B =− y 2 ;
若
x
≠
y
,则
A
=
,
B
=
,从而得
D
n
=
;
若 x = y ,则 D n =( A + nB ) x n −1 ,同理得 A = B = x ,从而得 D n =( n +1) x n 。
(2)由(1) D n =( x + y ) D n −1 − x yD n −2 ,则:
若 x ≠ y ,则:
从而得:
若 x = y ,则 D n =( n +1) x n 。
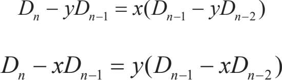
例 6 (北京交通大学,2024;西安电子科技大学,2023)计算行列式
解:此题可以用拆分法。
若
z
≠
y
,将两式联立消去
D
n
−1
可得
D
n
=
。
若 z = y ,可得 D n =( x − y ) n −1 [ x +( n − 1) y ]。
例 7
(浙江大学,2020)设
s
(
x
)=
,已知
A
=(
a
ij
),
a
ij
=
s
(
i
−
j
),求
。
解:由题可知,当
i
=
j
时,
a
ii
=0,
a
ij
=
,从而有:
即
D
n
=1+(−1)
D
n
-1
,
D
n
=1·
D
n
-1+(−1)
n
,解
D
n
=
。
当 n 为奇数时,有 D n =0;当 n 为偶数时,有 D n =1。
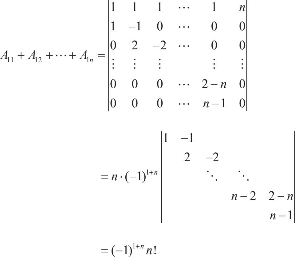
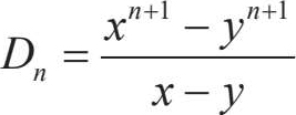
例 8 (陕西师范大学,2024)已知 n ≥2阶行列式
A ij 为 D 的第 i 行 j 列元素 a ij 的代数余子式,求 A 11 + A 12 +…+ A 1 n 。
解:此行列式属于三线型行列式。由题可知:
将所有列加到最后一列,有:
例 9
(云南大学,2020)计算行列式
D
n
=
。
解:按第一列展开:
例 10
(北京科技大学,2024)计算行列式
D
=
。
解:从最后一行开始每行减去前一行,再每列加上第一列:
例 11
(长安大学,2024)设
x
1
x
2
…
x
n
≠0,计算行列式
D
=
。
解:此行列式为缺少一行一列的范德蒙德行列式,给此行列式添加第二行和最后一列构成范德蒙德行列式,而添加行列交叉位置元素的系数与所求行列式有关。
设:
令
f
(
z
)=
D
1
,则(−1)
n
+3
D
是
f
(
z
)中
z
的系数;由等式右边知
z
的系数为
,得:
例 12
(新疆大学,2024)计算行列式
D
n
=
。
解:行列式元素除主对角线元素以外的元素都相同,此类行列式多采用加边法计算。
例 13
(首都师范大学,2024)计算行列式
D
n
=
。
解:此题通常采用加边法计算,也可以将所有行加到第一行,提取公因子。
例 14
(南开大学,2024)计算行列式
D
=
。
解:根据元素特点,本题先提取公因子,再利用多项式性质计算或按行列展开。
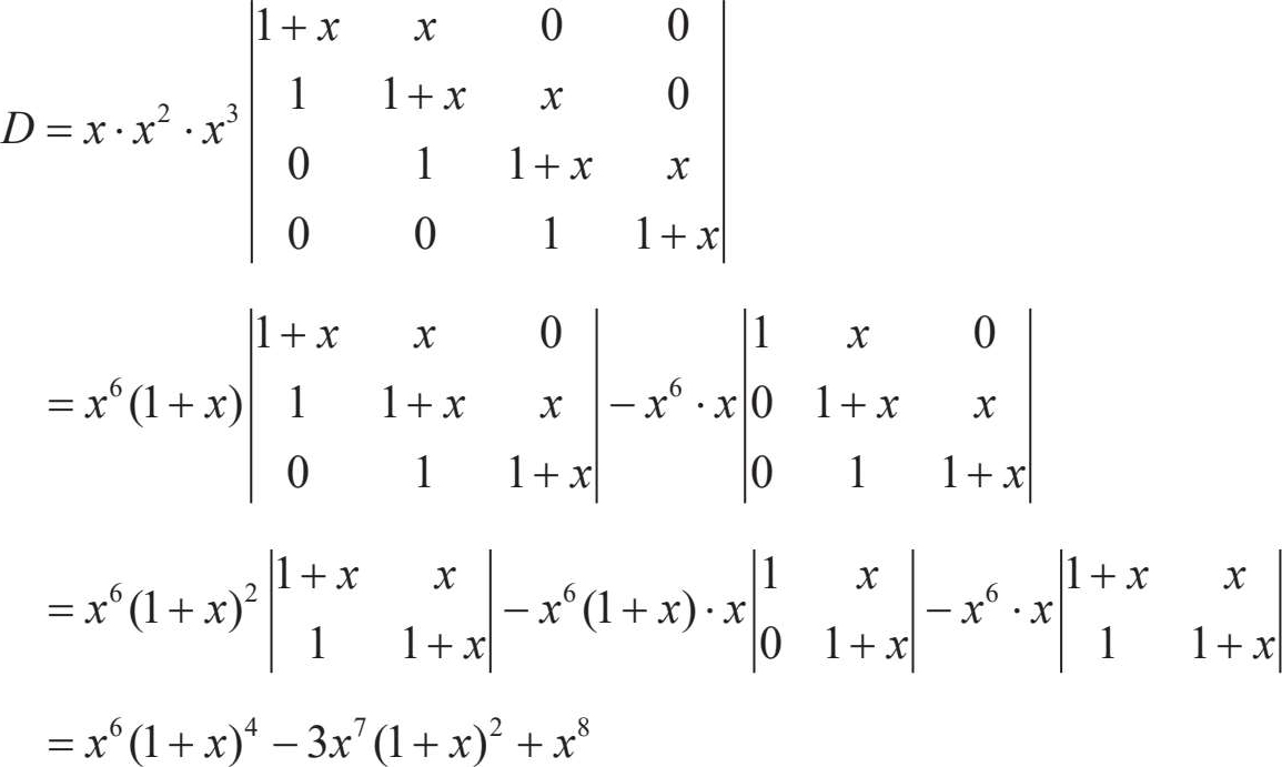
例 15
(河北工业大学,2024)计算
D
2024
=
。
解:按最后一列展开:
例 16
(云南大学,2024)计算行列式
D
n
=
。
解:最后一列提取公因子,再用最后一列乘− i ,加到第 i 列( i =1, 2,…, n −1)。
例 17
(中南大学,2024)计算行列式
D
n
=
。
解:行列式中元素可以分解为:
根据行列式中元素特点可知,原行列式为两个范德蒙德行列式的乘积。
例 18
(西安交通大学,2023)计算行列式
D
n
=
。
解:根据元素特点,将最后一行的−3倍加到上面所有行,得箭形行列式。
例 19
(长安大学,2023)给定数域
P
上
n
个数
x
1
,
x
2
,…,
x
n
,令
S
k
=
+…+
,
k
=0,1,2,3,…,其中约定
=1,计算行列式
D
n
=
。
解:根据行列式元素特点,本题采用行列式乘法规则。
例 20
(首都师范大学,2023)计算行列式
D
n
=
解:第一行提取公因子
,再将第一列的−
(
j
=2,3,…,
n
)倍加到其余各列,降阶并提取公因子,以此类推。
例 21
(北京邮电大学,2020)计算行列式
D
n
−1
=
。
解:本题先采用加边法,再进行拆分,通过变形得到范德蒙德行列式。
上式中第一个式子适当变形就是缺一行一列的范德蒙德行列式,通过添加一行一列构成范德蒙行列式,由此可得第一个行列式的值为:
第二个行列式按第一列展开后调整列位置得到范德蒙德行列式,由此可得第二个行列式的值为:
所以原行列式的值为:
例 22
(太原理工大学,2020)设
D
n
=
,求
A
11
+
A
12
+…+
A
1
n
,其中
A
ij
为
D
n
中第
i
行第
j
列的代数余子式。
解:由题可知:
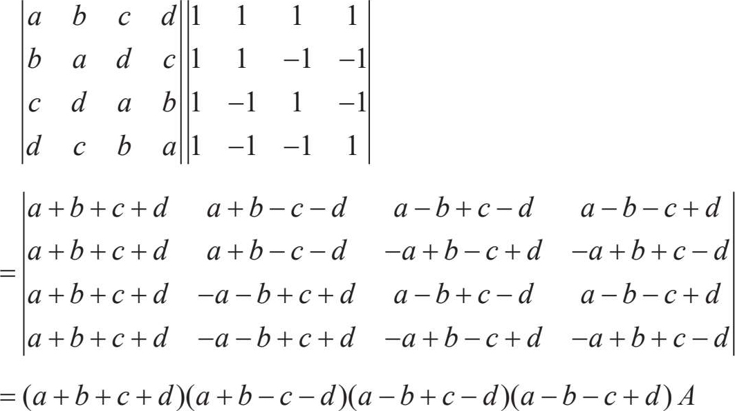
例 23
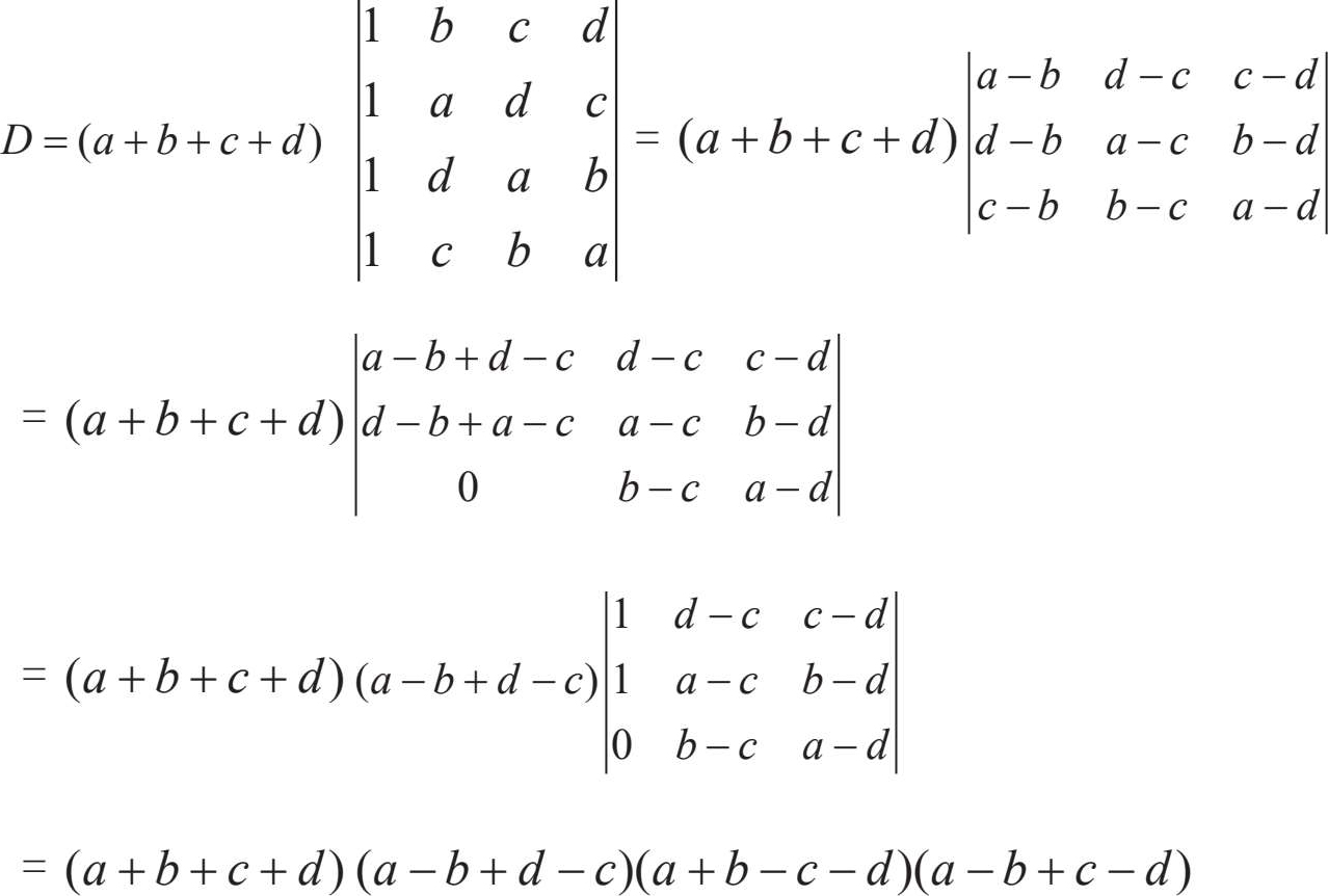
(长安大学,西南财经大学,2023)计算行列式
D
=
。
解:(方法一)
(方法二)由于
而
故 D =( a + b + c + d )( a − b + d − c )( a + b − c − d )( a − b + c − d )。
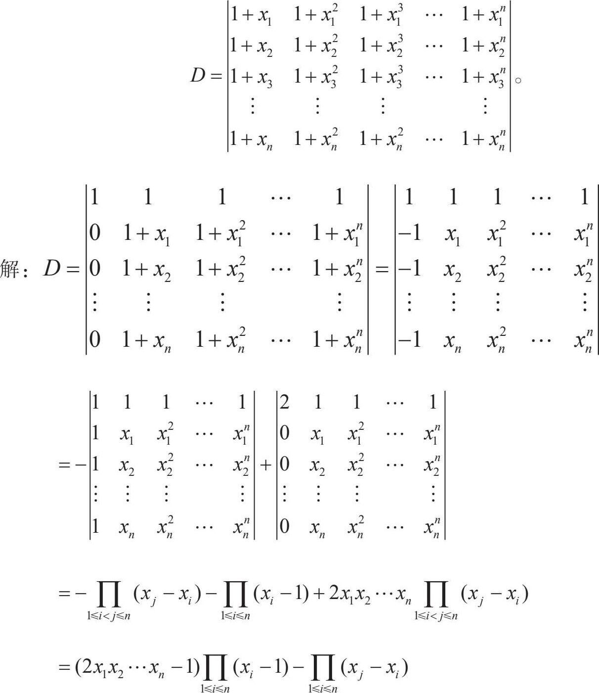
例 24 (西安电子科技大学、东北师范大学,2024)计算 n 阶行列式
例 25
(暨南大学,2023)计算行列式
D
n
=
,
a
1
a
2
…
a
n
−1
≠ 0。
解:本行列式是箭形行列式。从第二列开始,每列乘−
,加到第一列。
例 26
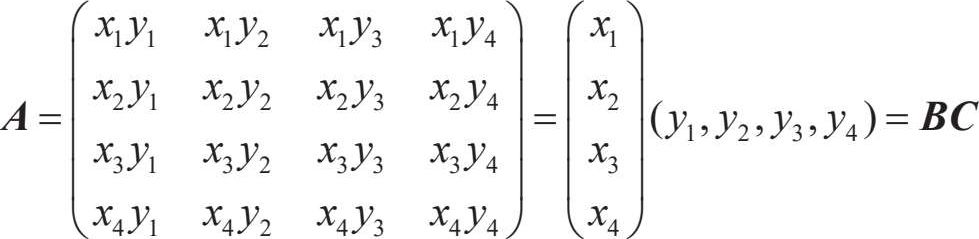
(华南师范大学,2023)计算行列式
D
=
。
解:本题采用降级公式求得矩阵的特征值,再利用特征值的性质:所有特征值的乘积等于矩阵行列式的值。记:
则:
从而矩阵的特征值为 0(三重), x 1 y 1 + x 2 y 2 + x 3 y 3 + x 4 y 4 ,故 D =0。
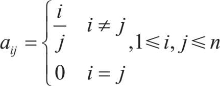
例 27 (安徽大学,2023)设 A =( a ij ) n × n 为 n 阶实方阵, n ≥2,其中:
求
。
解:由题可知矩阵的元素,行列式求解先提取公因子,再利用加边法。
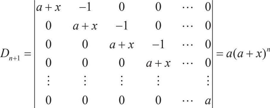
例 28 (华中科技大学 2023,陕西科技大学)计算行列式
解:利用加边法计算。
例 29
(兰州交通大学,2020)设
A
=(
a
ij
)
n
×
n
,
a
ij
=
,1≤
i
,
j
≤
n
,求
。
解:从倒数第二行开始,前一行的−1倍加到下一行,则:
例 30
(中南大学,2023)计算行列式
D
n
+1
=
。
解:从第 2 列开始,每列乘− x 加到前一列,则: