



在一个排列中,若一对数的前后位置与大小顺序相反,即前面的数大于后面的数,则它们就称为一个逆序,一个排列中逆序的总数称为这个排列的逆序数。
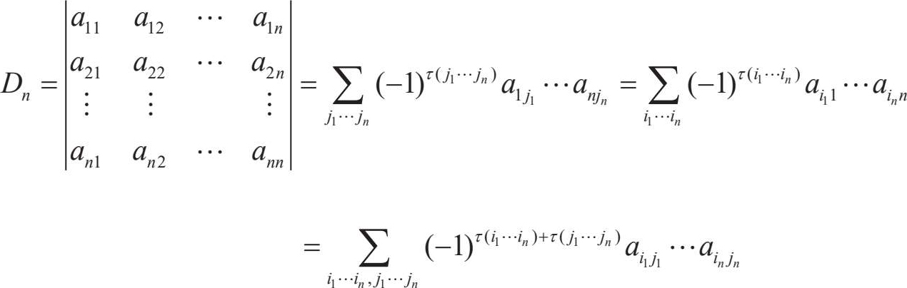
n 阶行列式:
在 n 阶行列式中,去掉元素 a ij 所在的行与列,剩下元素按照原来位置构成的 n −1阶行列式称为 a ij 的余子式,记为 M ij ,而(−1) i + j M ij 称为 a ij 的代数余子式,记为 A ij 。
(1)行列式与其转置行列式相等,即 D = D ′(或 D T )。
(2)用一个数乘行列式等于用这个数乘行列式某一行(列)的所有元素;行列式中某一行(列)的所有元素的公因子可以提到行列式符号的外面。
(3)若行列式中有两行(列)元素对应相等,则行列式为零;若行列式中有两行(列)元素对应成比例,则行列式为零;若行列式中有一行(列)元素都为零,则行列式为零。
(4)交换行列式中任意两行(列),则行列式反号。
(5)将行列式中某一行(列)的 k 倍加到另一行(列),则行列式不变。
(6)
。
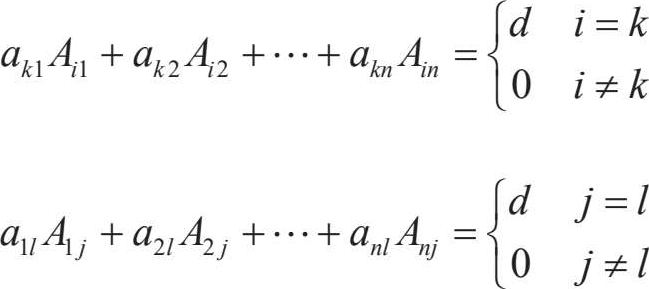
(7)(按行按列展开定理)行列式 D n 等于行列式某一行(列)元素与其代数余子式的乘积的代数和,但行列式的某一行(列)元素与另一行(列)的代数余子式的代数和为零,即:
(8)(拉普拉斯定理)设在行列式 D n 中,任取 k (1≤ k ≤ n −1)个行(列),由这行(列)元素所组成的一切 k 阶子式与它们的代数余子式的乘积的和等于行列式 D n 。
本章的重点内容是行列式的计算方法,核心是通过观察、分析行列式的元素特点,探索、寻找最佳的解题思路,常见的计算方法有以下几种。
定义法适用于计算低阶或非零元素较少(稀疏行列式)的行列式。
利用性质化为上(下)三角行列式。
若行列式中两行元素的值比较接近,可用相邻两行中的一行加上(减去)另一行的若干倍。
利用按行按列展开定理将高阶行列式化为较低阶的行列式,再进行计算。
给行列式 D n 添加一行一列得到 D n +1 ,使得 D n +1 = D n 。此方法添加的行与列通常为第一行一列或最后一行一列,添加行列的交叉位置的元素为 1,剩下的行元素(或列元素)均为零,列元素(或行元素)根据行列式的元素适当添加。
若行列式的第 i 行(列)由 k 个数码的和,则行列式按此行(列)可以拆分为 k 个行列式,其余位置的元素不变。
行列式的阶数为自然数。先求出 A 2 , A 3 , A 4 , A 5 ,…,通过观察元素与幂的关系猜测出 A n ,再用数学归纳法加以证明。
(1)若 n 阶行列式 D n 满足 aD n + bD n −1 + c =0,再找一个这样的等式,二式联立消去 D n −1 即可得 D n 。
(2)若 n 阶行列式 D n 满足 aD n + bD n −1 + cD n −2 =0,则特征方程为 ax 2 + b x + c =0。
①若∆≠ 0,则特征方程有两个复根
x
1
,
x
2
,
x
1
≠
x
2
,令
D
n
=
,其中
A
,
B
为待定系数,令
n
=1,2可求出
A
,
B
。
②若∆=0,则特征方程有重根
x
1
=
x
2
,令
D
n
=(
A
+
nB
)
,其中
A
,
B
为待定系数,令
n
=1,2可求得
A
,
B
。
特别地,三对角行列式的求解经常采用此方法。
(1)对角、三角行列式。
(2)范德蒙德行列式。
(3)
a
,
b
行列式公式
=
[
a
+(
n
− 1)
b
]。
(4)箭形行列式。