



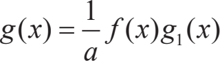
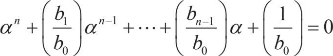
例 1 (延安大学,2021)设 f ( x ), g 1 ( x ), g 2 ( x ), h 1 ( x ), h 2 ( x )都是数域 P 上的多项式,且 f ( x )|( g 1 ( x )− g 2 ( x )), f ( x )|( h 1 ( x )− h 2 ( x )),则:
证明:。由 f ( x )|( g 1 ( x )− g 2 ( x )), f ( x )|( h 1 ( x )− h 2 ( x ))得:
从而 g 1 ( x )= g 2 ( x )+ f ( x ) f 0 ( x ), h 1 ( x )= h 2 ( x )+ f ( x ) f 1 ( x ),进而可得:
g 1 ( x ) h 1 ( x )− g 2 ( x ) h 2 ( x )=( f 1 ( x ) g 2 ( x )+ f ( x ) f 0 ( x ) f 1 ( x )+ f 0 ( x ) h 2 ( x )) f ( x )故 f ( x )( g 1 ( x ) h 1 ( x )− g 2 ( x ) h 2 ( x ))。
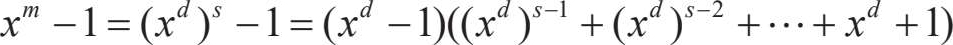
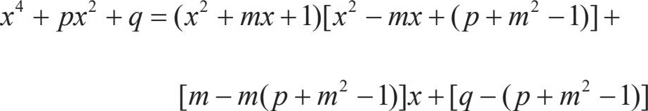
例 2 (西北师范大学,2024)当 m , p , q 满足什么条件时,有:
解:利用多项式整除性的等价条件:带余除法的余式为零。由题可知:
满足整除的条件为[ m − m ( p + m 2 − 1)] x +[ q −( p + m 2 −1)]=0,即:
故满足整除的条件为
或
。
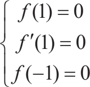
例 3 (中国科学院大学,2019)已知( x −1) 2 ( x + 1)| ax 4 + b x 2 + cx + 1,求 a , b , c 。
解:令 f ( x )= a x 4 + bx 2 + cx + 1,由( x −1) 2 ( x + 1)| ax 4 + b x 2 + cx + 1,得 1为 f ( x )的二重根,-1 为 f ( x )的单根,从而有:
即:
例 4 (北京科技大学,2020)设 f ( x ), g ( x )是多项式, m 为任意正整数,证明 f m ( x )| g m ( x )的充分必要条件为 f ( x )| g ( x )。
证明:由 f ( x )| g ( x ),得 g ( x )= f ( x ) h ( x ),从而得:
即 f m ( x )| g m ( x )。
若∂ f ( x )=0,则 g ( x )=0,结论成立。
若∂ f ( x )≠0,不妨∂ f ( x )>0,若 g ( x )=0,结论成立。
又 f m ( x )| g m ( x ),则存在多项式 h ( x )使得 g m ( x )= f m ( x ) h ( x )。
令( f ( x ), g ( x ))= d ( x ),则 f ( x )= d ( x ) f 1 ( x ), g ( x )= d ( x ) g 1 ( x ),且:
从而有
,即
,从而得
,即
f
(
x
)=
ad
(
x
),故:
即 f ( x )| g ( x )。
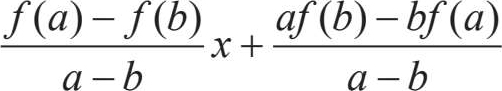
例 5 (西北大学,2023)已知 f ( x )是数域 P 上的一元多项式, a , b ∈ P , a ≠ b ,求多项式 x 2 −( a + b ) x + ab 除以 f ( x )的余式。
解:由 x 2 −( a + b ) x + a b =( x − a )( x − b ),则 f ( x )被 x − a , x − b 除的余数分别为 f ( a ), f ( b )。
设 x 2 −( a + b ) x + ab 除以 f ( x )的余式为 mx + n ,则 f ( x )=( x − a )( x − b ) q ( x )+ m x + n ,从而有 f ( a )= m a + n , f ( b )= m b + n ,联立求解可得:
即所求余式为:
例 6
(华南理工大学、兰州大学,2019)设
f
(
x
),
,
,且
≥1,
≥1,则存在唯一的
使得
,其中
<
,
<
。
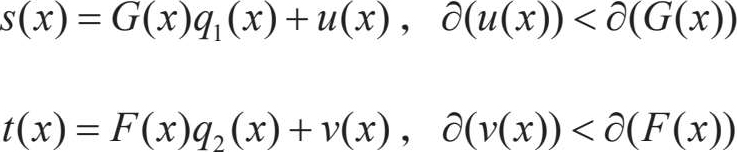
证明:对于 f ( x ), g ( x ),必存在唯一 s ( x ), t ( x )使得 s ( x ) f ( x )+ t ( x ) g ( x )=( f ( x ), g ( x ))
令
,
,则
,其中
,否则若
G
(
x
)|
s
(
x
),则
G
(
x
)|1,即∂(
G
(
x
))=0,矛盾!同理
F
(
x
)|/
t
(
x
)。
由带余除法有:
代入上式可得 u ( x ) F ( x )+ v ( x ) G ( x )+[ q 1 ( x )+ q 2 ( x )] F ( x ) G ( x )=1
又∂( u ( x ) F ( x )+ v ( x ) G ( x ))<∂( F ( x ) G ( x )),则 q 1 ( x )+ q 2 ( x )=0,否则:
矛盾!从而 u ( x ) F ( x )+ v ( x ) G ( x )=1,即存在唯一的 u ( x ), v ( x )使得:
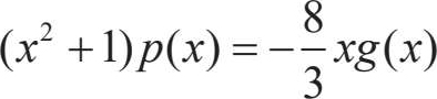
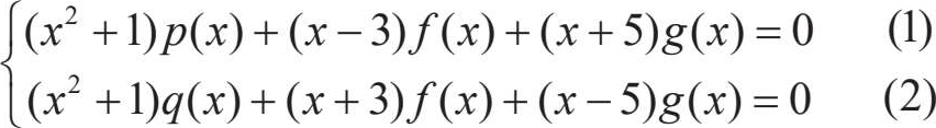
例 7 (重庆大学,2019)设多项式 f ( x ), g ( x ), p ( x ), q ( x )满足:
则( x 2 +1)| f ( x ),( x 2 +1)| g ( x )。
证明:由题(1)× q ( x )−(2)× p ( x )得6 f ( x )( q ( x )− p ( x ))=10 g ( x )( p ( x )− q ( x ))。
若
q
(
x
)−
p
(
x
)≠0,则
f
(
x
)=
g
(
x
),代入上式得(
x
2
+ 1)
p
(
x
)=−
3
xg
(
x
),则(
x
2
+1)|
x g
(
x
),但
x
2
+1在实数域上不可约,且
x
2
+1不整除
x
,从而(
x
2
+1)|
g
(
x
);同理(
x
2
+1)|
f
(
x
)。
若
q
(
x
)−
p
(
x
)=0,两式相减可得
f
(
x
)=
g
(
x
),代入原式得:
则( x 2 +1)| x g ( x ),但 x 2 +1不整除 x ,从而( x 2 +1)| g ( x );同理( x 2 +1)| f ( x )。
例 8 (中山大学,2019)设 m , n 为正整数,则( x m − 1, x n − 1)= x ( m , n ) −1。
证明:令 d =( m , n ),则 d | m , d | n ,从而存在 s , t ,使得 m = ds , n = dt ,故:
即 x d − 1 | x m −1;同理, x d − 1 | x n −1。
设 ϕ ( x )为 x m − 1, x n −1 的一个公因式,则 ϕ ( x ) x m − 1, ϕ ( x ) x n −1;由于 u , v ∈ Z ,使得 d = u m + vn ,所以:
而 x m − 1 x um −1, x n −1 x vn −1,从而可得 ϕ ( x ) x d − 1,故( x m − 1, x n − 1)= x d − 1。
例 9 (长安大学,2020)若( f ( x ), g ( x ))=1,则( f ( x )+ g ( x ), f ( x ) g ( x ))=1。
证明:由( f ( x ), g ( x ))=1,则存在 u ( x ), v ( x ),使得 u ( x ) f ( x )+ v ( x ) g ( x )=1,从而有 u ( x )( f ( x )+ g ( x ))+( v ( x )− u ( x )) g ( x )=1,即( f ( x )+ g ( x ), g ( x ))=1;同理可知( f ( x )+ g ( x ), f ( x ))=1,从而存在 u 1 ( x ), v 1 ( x ), u 2 ( x ), v 2 ( x ),使得:
以上两式两边分别相乘有:
故( f ( x )+ g ( x ), f ( x ) g ( x ))=1。
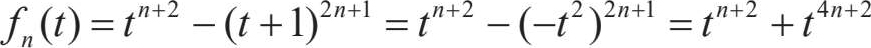
例 10 (郑州大学,2021)设 f n ( x )= x n +2 −( x +1) 2 n +1 ,则对于任意的正整数 n ,总有( x 2 + x + 1, f n ( x ))=1。
证明:(方法一)。由 x 3 −1=( x − 1)( x 2 + x +1),设 t 为 x 2 + x +1 的根,则 t ≠ 0, t 3 =1, t 2 + t +1=0,从而 t +1=− t 2 ,故:
当时,
n
=3
k
,
k
∈
时,
;
当
n
=3
k
+1,
k
∈
时,
f
n
(
t
)=1 +1=2 ≠ 0;
当
n
=3
k
+2,
k
∈
时,
f
n
(
t
)=
t
+
t
=2
t
≠0;
综上所述,对于任意的正整数 n , t 都不是 f n ( x )的根,故( x 2 + x + 1, f n ( x ))=1。
(方法二)。由于
而( x 2 + x + 1, x n )=1,( x 2 + x + 1, x +1)=1,则 x 2 + x +1不能整除 x n ( x + 1),从而一定不整除 f n ( x );又 x 2 + x +1在实数域上不可约,则( x 2 + x + 1, f n ( x ))=1。
例 11 (广西大学,2023)设 f ( x )是数域 P 上一个次数大于 0 的一元多项式,则 f ( x )是一个不可约多项式的方幂的充要条件为对数域 P 上的任意多项式 g ( x ),必有( f ( x ), g ( x ))=1或存在某个正整数 m ,使得 f ( x )| g m ( x )。
证明:设 f ( x )= p m ( x ),其中 p ( x )是不可约多项式,则对于任意多项式 g ( x ),只有两种情况:( p ( x ), g ( x ))=1或 p ( x )| g ( x )。
若( p ( x ), g ( x ))=1,则( f ( x ), g ( x ))=1。
若 p ( x )| g ( x ),则 p m ( x )| g m ( x ),即 f ( x )| g m ( x )
反之,用反证法。设 f ( x )不是一个不可约多项式的方幂,则:
令 g ( x )= p 1 ( x ),则 f ( x ), g ( x )只有两种情况:( f ( x ), g ( x ))=1或 f ( x )| g m ( x ),但这样的情况不可能同时成立,矛盾!故 f ( x )是一个不可约多项式的方幂。
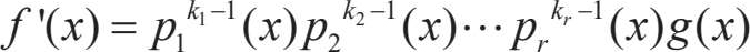
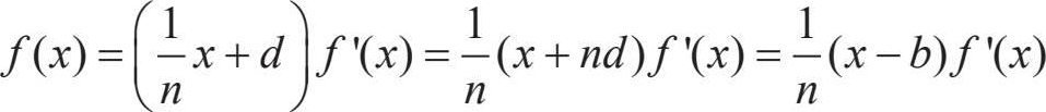
例 12 (云南大学,2019)设 f ( x )是数域 P 上一个 n 次多项式( n > 0),则 f ′( x )| f ( x )的充要条件为 f ( x )有一个根是 n 重的。
证明:由 f ( x )有一个根是 n 重的,且 f ( x )的次数为 n ,故 f ( x )= a ( x − b ) n ,于是 f ′( x )= an ( x − b ) n −1 ,因而 f '( x )| f ( x )。
反之,(方法一)采用典型分解法,。设
,其中
p
i
(
x
)为
P
上首 1 的互异的不可约多项式,
,则:
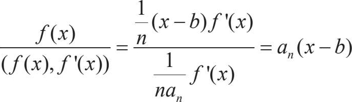
且 g ( x )不能被 p i ( x )整除;由 f '( x )| f ( x )有 g ( x )| p 1 ( x ) p 2 ( x )… p r ( x ), g ( x )只能是非零常数,即 g ( x )= c ≠ 0。
设
,则
,
,而
n
i
为整数,
,从而有
。
设 p 1 ( x )= x − b ,则 f ( x )= a ( x − b ) n ,即 f ( x )有 n 重根。
(方法二)采用待定系数法,设 f ( x )= a n x n + a n −1 x n −1 +…+ a 1 x + a 0 , a n ≠ 0,则:
由
f
'(
x
)|
f
(
x
)及∂
f
'(
x
)+1=∂
f
(
x
),则存在
cx
+
d
使得
f
(
x
)=(
cx
+
d
)
f
'(
x
),因而
c
=
此时:
于是(
f
(
x
),
f
'(
x
))=
为首1的
n
−1次的多项式,故:
而
包含
f
(
x
)的所有不可约因式,所以
f
(
x
)的不可约因式只能是
x
−
b
及其非零常数倍,
f
(
x
)为
n
次的,则
f
(
x
)=
a
(
x
−
b
)
n
,即
f
(
x
)有
n
重根。
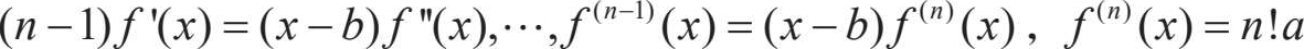
(方法三)采用重因式法,由 f ′( x )| f ( x ),令 nf ( x )=( x − b ) f '( x ),求导得:
a 为首项系数,由后向前得 f ( x )= a ( x − b ) n ,即 f ( x )有 n 重根。
(方法四)采用重根法,设 α 为 f ( x )的 r 重根,则 f ( x )=( x − α ) r g ( x ), g ( α )≠0, x − α 不能整除 rg ( x )+( x − α ) g '( x )。
由 f '( x )| f ( x ),得 rg ( x )+( x − α ) g '( x )| g ( x ),即 g ( x )| g '( x ),从而∂ g ( x )=0, r = n , g ( x )= b ,于是有 f ( x )= b ( x − α ) n ,即 f ( x )有 n 重根。
例 13 (陕西师范大学,2023)设 f 1 ( x ),…, f n ( x )是数域 P 上的多项式,则( x n + x n −1 + x n −2 +…+ x + 1)| x n −1 f 1 ( x n +1 )+ x n − 2 f 2 +( x n +1 )…+ xf n − 1 ( x n + 1 )+ f n ( x n + 1 )的充分必要条件为( x −1)| f i ( x ), i =1, 2,…, n 。
此类型题都与单位根有关,首先明确单位根的定义、每个单位根的性质。
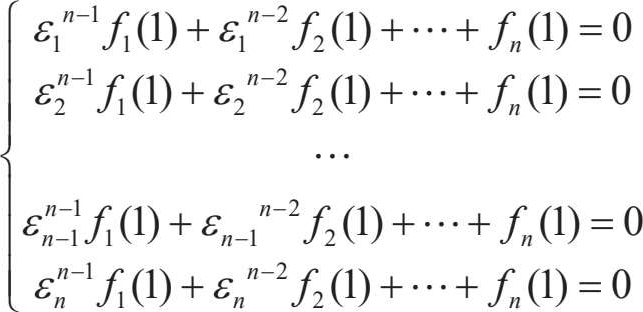
证明:由已知可知存在多项式 h ( x )使 x n −1 f 1 ( x n +1 )+ x n − 2 f 2 ( x n +1 )+…+ xf n − 1 ( x n +1 )+ f n ( x n +1 )=( x n + x n −1 + x n −2 +…+ x + 1) h ( x ),把 x n +1 −1.除 1外的 n −1 个相异单位根 ε 1 , ε 2 ,…, ε n − 1 , ε n 代入,得:
故 f 1 (1), f 2 (1),…, f n (1)是齐次线性方程组的一组解。该齐次线性方程为:
其系数矩阵的行列式为范德蒙德行列式,因此其只有零解,即:
故( x −1)| f i ( x ), i =1, 2,…, n 。
反之,由( x −1)| f i ( x ),得 f (1 n +1 )= f (1)=0。
令 f i ( x )=( x − 1) g i ( x ),则有 f i ( x n +1 )=( x n +1 −1) g i ( x n +1 ),即( x n +1 −1)| f i ( x n +1 ),从而有:
即 x n + x n −1 +…+ x + 1 | x n −1 f 1 ( x n +1 )+ x n − 2 f 2 ( x n +1 )+…+ xf n − 1 ( x n + 1 )+ f n ( x n + 1 )。
例 14
(西北大学,2022)设
f
(
x
)是整系数多项式,
是
f
(
x
)的有理根,其中
p
,
q
为整数,且(
p
,
q
)=1,试问
p
2
−
q
2
是否整除
f
(1)
f
(−1)。
解:由
f
(
x
)是整系数多项式,
是
f
(
x
)的有理根,可得
x
−
|
f
(
x
),即
px
−
q
|
f
(
x
)。
又( p , q )=1,则 g ( x )= p x − q 为本原多项式,从而 f ( x )= g ( x ) h ( x ),其中 h ( x )为有理系数多项式,即 h ( x )为整系数多项式,从而得:
即 p − q | f (1), p + q | f (−1),故( p + q )( p − q )| f (1) f (−1)。
例 15
(南京师范大学,2024)设
f
(
x
)是一个整系数多项式,
是
f
(
x
)的有理根,且(
p
,
q
)=1,则存在任意整数
m
,使得
qm
−
p
|
f
(
m
)。
证明:设
f
(
x
)=
a
0
x
n
+
a
1
x
n
−1
+…+
a
n
−1
x
+
a
n
,∂
f
(
x
)=
n
,由
是
f
(
x
)的有理根,则
。
设
f
(
x
)=
(
b
0
x
n
−1
+
b
1
x
n
−2
+…+
b
n
− 2
x
+
b
n
−1
),比较两式的系数可得
b
0
=
a
0
,
,
i
=1,2,…,
n
−1,其中
c
i
为整数,从而得:
令 x = m ,并给上式两边同时乘 b 0 = q n ,可得:
则( qm − p )| q n f ( m );又( p , q )=1,则( qm − p , q n )=1,即( qm − p )| f ( m )。
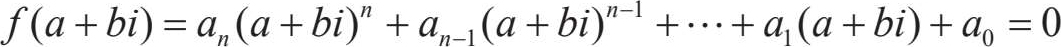
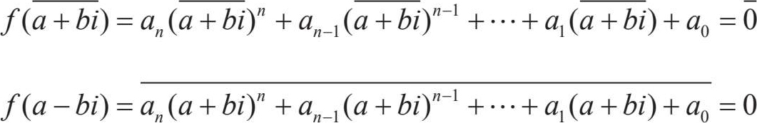
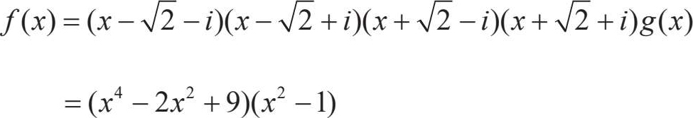
例 16 (北京师范大学,2024)(1)设 f ( x )是实系数多项式,且 a + bi 是 f ( x )的一个虚根,其中 a , b 是实数,则 a − bi 也是 f ( x )的一个虚根。
(2)已知
+
i
是方程
x
6
−3
x
4
+ 11
x
2
−9=0的一个根,求该方程的其余根。
解:(1)设 f ( x )= a n x n + a n −1 x n −1 +…+ a 1 x + a 0 ,∂ f ( x )= n ,由 a + bi 是 f ( x )的一个虚根,则:
从而有:
即 a − bi 也是 f ( x )的一个虚根。
(2)令
f
(
x
)=
x
6
− 3
x
4
+ 11
2
x
−9,由
+
i
是方程的一个根,得
−
i
,−
−
i
,−
+
i
也是方程的根,从而有:
故方程的其余根为 1,-1,
−
i
,−
−
i
,−
+
i
。
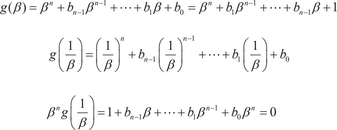
例 17 (西北大学,2020)设 f ( x )是有理数域上的 n 次不可约多项式( n ≥2),若 f ( x )的某一个根的倒数也是 f ( x )的根,则 f ( x )的每一个根的倒数也是 f ( x )的根。
证明:设
α
是
f
(
x
)的一个根,且
也是
f
(
x
)的根,若
β
为
f
(
x
)的任意一根,令
f
(
x
)=
g
(
x
),其中
a
n
为
f
(
x
)的首项系数,则
g
(
x
)和
f
(
x
)具有相同的根,且
g
(
x
)在有理数域上也是不可约的。
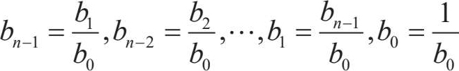
设 g ( x )= x n + b n −1 x n −1 +…+ b 1 x + b 0 , a 0 ≠ 0,又:
式子两边同时乘 α n ,则有:
式子两边同时除以 a 0 ,则有:
从而有:
即 b 0 =±1, b 1 =± b n −1 ,…, b n −2 =± b 2 , b n −1 =± b 1 。
又 g ( β )=0,则:
从而得
g
=0,即
f
=0,故结论成立。
例 18 (沈阳工业大学,2023)利用多项式有理根的判别方法,求多项式:
的标准分解式。
解:由有理根的判别方法可知多项式可能的有理根为±1、±3,由综合除法可知−1为多项式的四重根,则 f ( x )=( x +1) 4 ( x −3)为其标准分解式。
例 19 (西安电子科技大学、苏州大学,2017)设 f ( x )= x 3 + bx 2 + cx + d 是整系数多项式,若 bd + dc 是奇数,则 f ( x )在有理数域上不可约。
证明:由 bd + d c =( b + c ) d 为奇数,则 b + c , d 均为奇数。
若 f ( x )在有理数域上可约,则 f ( x )在整数环上可约,从而存在整数 p , q , r ,使得 f ( x )=( x + p )( x 2 + qx + r ),从而有 f (0)= p r = d ,即 p , r 均为奇数。
又 f (1)=(1+ p )(1 + q + r )=1+ b + c + d ,且 b + c , d 均为奇数,则式子右边为奇数,而式子左边为偶数,矛盾!故 f ( x )在有理数域上不可约。
例 20 (哈尔滨工业大学,2020) n 满足什么条件时,多项式 x 2 n + x n +1不可约。
解:在复数域上,没有满足条件的 n 使得 x 2 n + x n +1在复数域上不可约。
在实数域上,满足条件的 n =1使得 x 2 n + x n +1在实数域上不可约。
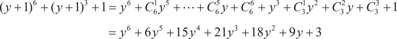
在有理数域上,当 n =3时,多项式 x 6 + x 3 +1在有理数域上不可约。
事实上,令 x = y +1,则 x 6 + x 3 +1 与( y +1) 6 +( y +1) 3 +1具有相同的可约性,从而:
令 p =3,则由艾森斯坦判别法可知( y +1) 6 +( y +1) 3 +1在有理数域上不可约,由此可知 x 6 + x 3 +1在有理数域上不可约。
例 21
(同济大学,2020)已知
−
为首项系数为 1 的有理系数多项式
f
(
x
)的根,求
f
(
x
)并证明
f
(
x
)在有理数域上不可约。
解:令
x
=
−
,将两边平方可得
x
2
=5 −2
,即
x
2
−5=−2
。将
x
2
−5=−2
两边平方,可得
x
4
− 10
x
2
+1=0。下面用反证法证明
f
(
x
)在有理数域上不可约。
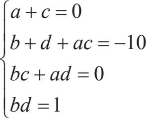
由 f ( x )有理系数多项式可能的有理根为±1,而 f (±1)≠0,则不会有一次因式,从而 f ( x )可分解为两个二次因式乘积,不妨令:
比较系数可得:
由最后一个式子可得 b = d =1或 b = d =−1。
若 b = d =1,则 a =− c , c 2 =12,矛盾!
若 b = d =−1,则 a =− c , c 2 =8,矛盾!
综上所述,可得 f ( x )在有理数域上不可约。
例 22 (中国矿业大学,2020)证明数域 P 上多项式 f ( x )= kx 的充要条件为 f ( a + b )= f ( a )+ f ( b ),∀ a , b ∈ P 。
证明:若 f ( x )= kx ,则 f ( a + b )= k ( a + b )= k a + k b = f ( a )+ f ( b )。
反之,(方法一)设 f ( x )= a n x n + a n −1 x n −1 +…+ a 1 x + a 0 ,由题设,对于任意 c ∈ P ,有 f (2 c )= f ( c )+ f ( c )=2 f ( c ),所以:
因为 2 i −2 ≠ 0, i =2,…, n ,结合 c 的任意性得 a n =…= a 2 = a 0 =0,所以 f ( x )= a 1 x ,即 f ( x )= kx 。
(方法二)设 f ( x )= a n x n + a n −1 x n −1 +…+ a 1 x + a 0 , a 0 ≠ 0,因为:
所以 f (0)=0,即 f ( x )的常数项为 0。
当 f (0)=0时,结论成立。
当 f (0)≠0时,设∂ f ( x )= n >1,则 f ( x )≠ a n x n 。
否则, f (1+ 1)= f (2)= a n 2 n , f (1+ 1)= f (1)+ f (1)=2 a n ,则 a n 2 n =2 a n ,即 n =1,矛盾!由此 f ( x )有非零复根 α ,且由题设有 f (2 α )= f ( α )+ f ( α )=0, f (3 α )= f ( α )+ f (2 α )=0,以此类推,说明 f ( x )有无穷多个根,与 f (0)≠0矛盾,因此 f ( x )为常数项为 0 的一次多项式。
(方法三)由题意有 f (0+ 0)= f (0)+ f (0),从而 f (0)=0, f ( x )的常数项为零,且 f ( x )= xg ( x )。下证 g ( x )为常数:
对任意正整数 m ,有 f ( m )= mg (1), f ( m )= mg ( m ),故 g ( m )= f (1)= g (1),即 g ( x )− g (1)=0 有无穷解, g ( x )= g (1);令 g (1)= k ,则 f ( x )= kx 。
(方法四)对任意正整数 m ,由题意有 f ( m )= mf (1),即 f ( x )− xf (1)有无穷根,因此 f ( x )− xf (1)=0, f ( x )= xf (1);令 f (1)= k ,则 f ( x )= kx 。
例 23 (西南交通大学,2023)设 f ( x )是数域 K 上的次数小于 5 的一元多项式,若 x 2 +1整除 f ( x ),且 x 3 + x 2 +1整除 f ( x )+1,求 f ( x )。
解:设 f ( x )=( x 2 + 1) g ( x )=( x 3 + x 2 + 1) h ( x )−1,而 f ( x )次数小于 5,则:
从而( x 2 +1)|( x 3 + x 2 + 1)( ax + b )−1,其中:
则( x 2 +1)|− ax 2 + bx −1,故 a =1, b =0,从而 f ( x )= x 4 + x 3 + x − 1。
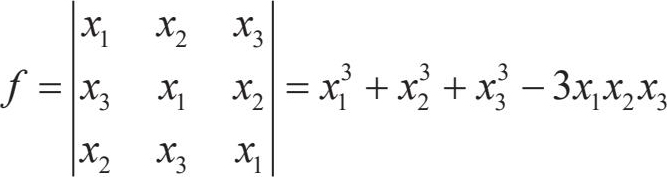
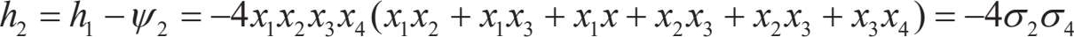
例 24 (西安工程大学,2022)设 x 1 , x 2 , x 3 为方程 x 3 + p x + q =0的根,计算:
解:利用根与系数关系、初等对称多项式与对称多项式的关系求解。由题有 σ 1 = x 1 + x 2 + x 3 =0, σ 2 = x 1 x 2 + x 1 x 3 + x 2 x 3 = p , σ 3 = x 1 x 2 x 3 =− q ,则:
上式的首项为
,写出不先于首项的所有二次指数组及相应的初等对称多项式方幂的乘积。
则
f
=
+
a
σ
1
σ
3
+
b
σ
3
=−
bq
,
b
待定,取
x
1
=
x
2
=
x
3
=1,则
σ
3
=1=−
q
,
f
=0,解之可得
b
=0,故
f
=0。
例 25
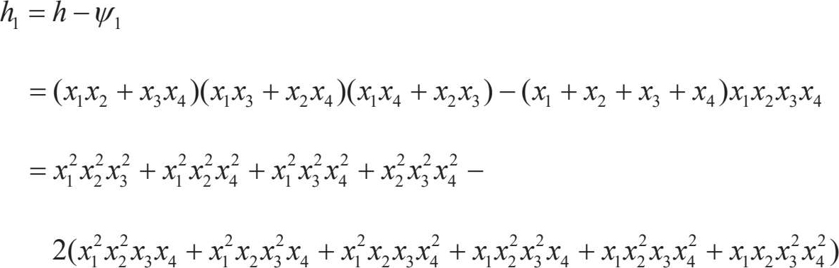
将多项式
f
=
+(
x
1
x
2
+
x
3
x
4
)(
x
1
x
3
+
x
2
x
4
)(
x
1
x
4
+
x
2
x
3
)表示成初等对称多项式的形式。
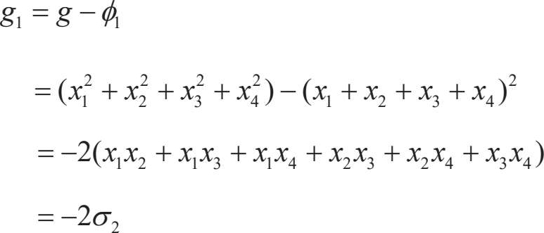
解:令
g
=
,
h
=(
x
1
x
2
+
x
3
x
4
)(
x
1
x
3
+
x
2
x
4
)(
x
1
x
4
+
x
2
x
3
);分别将
g
,
h
化为初等对称多项式。
(方法一)采用逐步消去首项法。
对于g:g的首项为
,作
φ
1
=
,则:
从而得
g
=
g
1
+
φ
1
=−2
σ
2
+
。
对于
h
:
h
的首项为
,作
,则
h
1
的首项为
,作
,则
从而有:
故
f
=
。
(方法二)采用待定系数法。
g
的首项为
,写出不先于首项的所有二次指数组及相应的初等对称多项式方幂的乘积。
故
g
=
,
a
待定;取
x
1
=
x
2
=
x
3
=
x
4
=1,则
σ
1
=4,
σ
2
=6,
g
=4,故可得
a
=−2,即
g
=
;
h
的首项为
,写出不先于首项的所有二次指数组及相应的初等对称多项式方幂的乘积。
故
h
,
a
,
b
待定;取
x
1
=
x
2
=
x
3
=
x
4
=1,则
σ
1
=4,
σ
2
=6,
σ
3
=4,
σ
4
=1,
h
=4。
取 x 1 = x 2 = x 3 =1, x 4 =0,则 σ 1 =3, σ 2 =3, σ 3 =1, σ 4 =0, h =1;从而有:
求解上式可得
a
=1,
b
=−4,故
h
=−4
σ
2
σ
4
+
,从而可得: