



若
P
是数环,若①
P
含有一个不等于零的数;②若∀
a
,
b
∈
P
,
b
≠ 0,
∈
P
,则称
P
是一个数域。
若在非空数集
S
上定义两个运算:加法和乘法,对于∀
a
,
b
∈
S
,
b
≠ 0,有
a
+
b
∈
S
,
a
−
b
∈
S
,
a
·
b
∈
S
,
∈
S
,则称
S
是一个数域。
设 x 是一个文字(符号), n 是非负整数,形如 a n x n + a n −1 x n −1 +…+ a 1 x + a 0 ,其中 a i ∈ P , i =0, 1,…, n 的表达式称为数域 P 上关于 x 的一元多项式,通常记为 f ( x )。
设 f ( x ), g ( x )∈ P [ x ],若存在 h ( x )∈ P [ x ],使 f ( x )= g ( x ) h ( x ),则称 g ( x )整除 f ( x ),记为 g ( x )| f ( x ),称 g ( x )为 f ( x )的因式,称 f ( x )为 g ( x )的倍式。
设 f ( x ), g ( x )∈ P [ x ], P [ x ]中的多项式 d ( x )称为 f ( x ), g ( x )的一个最大公因式,如果它满足以下两个条件:
(1) d ( x )是 f ( x ), g ( x )的公因式。
(2) f ( x ), g ( x )的公因式全是 d ( x )的因式。
设 f ( x ), g ( x )∈ P [ x ],若( f ( x ), g ( x ))=1,则多项式 f ( x ), g ( x )称为互素的。
对于多项式 p ( x )∈ P [ x ],∂ p ( x )≥1,且不能表示成数域 P 上两个次数比它低的多项式的乘积,则称 p ( x )为数域 P 上的不可约多项式。
(1)一次多项式是不可约多项式。
(2)多项式是否可约与数域有关。
(3)零多项式与零次多项式不谈可约与不可约。
设 f ( x )∈ P [ x ], p ( x )为数域 P 上的不可约多项式, k 为非负整数,若 p k ( x ) f ( x ),且 p k +1 ( x )不整除 f ( x ),则称 p ( x )为 f ( x )的 k 重因式。
当 k =0 时, p ( x )不是 f ( x )的因式;当 k =1 时,称 p ( x )为 f ( x )的单因式;当 k ≥2时,称 p ( x )为 f ( x )的重因式。
设 f ( x )= a n x n + a n −1 x n −1 +…+ a 1 x + a 0 ,其中 a i ∈ P , i =0, 1,…, n ,数 α ∈ P ,将 f ( x )中的 x 用 α 代替得到 P 中的数 a n α n + a n −1 α n −1 +…+ a 1 α + a 0 ,称之为当 x = α 时 f ( x )的值,记为 f ( α );即:
这样对每个数 α ∈ P ,由多项式 f ( x )确定唯一的数 f ( α )与之对应,称 f ( x )为数域 P 上的一个多项式函数。
若多项式 f ( x )在 x = α 时 f ( α )=0,则 α 称为 f ( x )的一个根或零点。
若 x − α 是 f ( x )的 k 重因式,则称 α 为 f ( x )的 k 重根。
当 k =1时,称 α 为 f ( x )的单根;当 k >1时,称 α 为 f ( x )的 k 重根。
若一个非零的整系数多项式 f ( x )的系数互素,则称 f ( x )为本原多项式。
设
P
是数域,
x
1
,
x
2
,…,
x
n
为文字,形式为
…
的式子,其中
a
∈
P
,
k
1
,
k
2
,…,
k
n
∈
Z
*称为一个单项式;此类单项式之和:
称为 n 元多项式;当 n ≥2时统称为多元多项式。
设 f ( x 1 , x 2 ,…, x n )为数域 P 上 n 元多项式,若对于∀ i , j ,1≤ i < j ≤ n 都有:
则这个多项式称为对称多项式。
n 元多项式:
都为对称多项式,称之为初等对称多项式。
(1)若非零 f ( x ), g ( x )∈ P [ x ]时,则当∂( f ( x )± g ( x ))≠0时,则有:
(2)若非零 f ( x ), g ( x )∈ P [ x ]时,则:
设 f ( x ), g ( x )∈ P [ x ], g ( x )≠0,则存在唯一的 q ( x ), r ( x )∈ P [ x ],使:
成立,其中 r ( x )=0或者∂ r ( x )< ∂ g ( x ),且 q ( x ), r ( x )是唯一确定的。
(1)自反性:任一多项式都整除它自身。
(2)传递性:若 f ( x )| g ( x ), g ( x )| h ( x ),则 f ( x )| h ( x )。
(3)互伴性:互相整除的两多项式相差一个非零常数倍。
若 f ( x )| g ( x ), g ( x )| f ( x ),则 f ( x )= cg ( x ),其中 c 为非零常数。
(4)一个多项式能整除几个多项式就能整除它们的组合。
若 f ( x )| g i ( x ), i =1, 2,…, r ,则 f ( x )( u 1 ( x ) g 1 ( x )+…+ u r ( x ) g r ( x )),其中 u i ( x )是数域 P 上的多项式。
若 g ( x ) f 1 ( x ), g ( x ) f 2 ( x ),则 g ( x )( f 1 ( x )± f 2 ( x ));若 g ( x )( f 1 ( x )+ f 2 ( x )), g ( x ) f 1 ( x ),则 g ( x ) f 2 ( x );若 g ( x )( f 1 ( x )+ f 2 ( x )), g ( x )不整除 f 1 ( x ),则 g ( x )不整除 f 2 ( x )。但是若 g ( x )不整除 f 1 ( x ), g ( x )不整除 f 2 ( x ),不能得出 g ( x )不整除 f 1 ( x )+ f 2 ( x )。
(5)任一多项式都能整除零多项式。
(6)零多项式只能整除零多项式。
(7)零次多项式能整除任一多项式,但它只能被零次多项式整除。
(1)若 d ( x )称为 f ( x ), g ( x )的一个最大公因式,则存在 u ( x ), v ( x )∈ P [ x ],使:
(2)设 f ( x ), g ( x )∈ P [ x ], g ( x )≠0,若 f ( x )= g ( x ) q ( x )+ r ( x ),则( f ( x ), g ( x ))=( g ( x ), r ( x ))。
(1) P [ x ]中多项式 f ( x ), g ( x )互素的充分必要条件为存在 u ( x ), v ( x )∈ P [ x ],使得 u ( x ) f ( x )+ v ( x ) g ( x )=1。
(2)若 f ( x )| g ( x ) h ( x ),且( f ( x ), g ( x ))=1,则 f ( x )| h ( x )。
(3)若 f ( x )| h ( x ), g ( x )| h ( x ),且( f ( x ), g ( x ))=1,则 f ( x ) g ( x )| h ( x )。
(4)若( f ( x ), g ( x ))=1,( f ( x ), h ( x ))=1,则( f ( x ), g ( x ) h ( x ))=1。
(5)在复数域上,非零多项式 f ( x ), g ( x )没有公共根的充分必要条件为 f ( x ), g ( x )互素。
设 p ( x )为数域 P 上的不可约多项式,则有
(1) cp ( x )为数域 P 上的不可约多项式,其中0 ≠ c ∈ P ;
(2)对于 P 上任意多项式 f ( x ),必有( p ( x ), f ( x ))=1或 p ( x ) f ( x );
(3)对于任意 f ( x ), g ( x )∈ P [ x ],若 p ( x )| f ( x ) g ( x ),则必有 p ( x )| f ( x )或 p ( x )| g ( x );
(4)若 p ( x )| f 1 ( x ) f 2 ( x )… f s ( x ),其中 s ≥2,则 p ( x )至少可以整除这些多项式中的一个。
设 p ( x )为数域 P 上的不可约多项式,则
(1) p ( x )为 f ( x )的 k ( k ≥1)重因式,则 p ( x )为 f ( x )的微商 f ′( x )的 k −1重因式。
(2) p ( x )为 f ( x )的 k ( k ≥1)重因式,则 p ( x )也为 f ( x ), f ′( x ),…, f ( k − 1) ( x )的因式,不是 f ( k ) ( x )的因式。
(3) p ( x )为 f ( x )的重因式的充要条件为 p ( x )为 f ( x ),… f ′( x )的公因式,即 p ( x )|( f ( x ), f ′( x ))。
(4)多项式 f ( x )无重因式的充要条件为( f ( x ), f ′( x ))=1。
(5)设多项式
f
(
x
)为数域
P
上次数≥1的多项式,则多项式
是一个没有重因式的多项式,但它与
f
(
x
)有完全相同的不可约因式。
(1)余数定理:设 f ( x )∈ P ( X ), α ∈ P ,一次多项式 x − α 除 f ( x )所得的余式是一个常数,这个常数等于函数值 f ( α )。
(2)因式定理:设 f ( x )∈ P ( X ), α ∈ P , x − α | f ( x )的充要条件为 f ( α )=0。
(3)根的个数定理:在 P [ x ]中, n ( n ≥0)次多项式在数域 P 中的根不可能超过 n 个(重根按重数算)。
(4)设 f ( x ), g ( x )∈ P [ x ],且 f ( x ), g ( x )的次数不超过 n ,若对于 n +1个不同的数 a i ( i =1,2,…, n +1),均有 f ( a i )= g ( a i ),则 f ( x )= g ( x )。
这表明两个非零多项式若作为函数相等,则作为多项式必相等;若两个多项式相等,则作为函数也相等,即在数域 P 上多项式相等与函数相等是一回事。
(1)复数域。
①代数基本定理:每个次数 n ≥1的复系数多项式在复数域中至少有一根。
由此可知:次数 n ≥1 的复系数多项式在复数域内恰有 n 个复根(重根按重数算)。
②因式分解定理:次数 n ≥1的复系数多项式在复数域上可唯一地分解为一次因式的乘积;即复数域上次数大于 1 的多项式都是可约的。
③标准分解式:复系数 n 次( n ≥1)多项式 f ( x )具有标准分解式:
其中
a
n
为多项式的首项系数,
为不同复数,
,
。
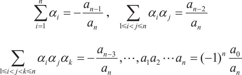
④根与系数关系:设
α
i
(
i
=1,2,…,
n
)为多项式
f
(
x
)=
n
+
+…+
a
1
x
+
a
0
,
a
n
≠ 0的根,则根与多项式的系数的关系为:
(2)实数域。
①因式分解定理:实系数 n 次( n ≥1)多项式在实数域上可被唯一地分解为一次因式与二次不可约因式的乘积,即实系数多项式 f ( x )在实数域上不可约的充分必要条件为∂ f ( x )=1或 f ( x )= a x 2 + bx + c , b 2 − 4 ac <0。
②标准分解式:实系数 n ( n ≥1)次多项式 f ( x )具有标准分解式:
其中 a n 为多项式的首项系数, a i ( i =1, 2,…, s )为不同实数, p i , q i 为互异实数对,且有:
③根的性质:若
α
是实系数多项式
f
(
x
)的一个非实的复根,则它的共轭数
也是
f
(
x
)的根,并且
α
与
有相同的重数。
(3)有理数域。
①高斯引理:两个本原多项式的乘积还是本原多项式。
由此可以推出:若一个非零的整系数多项式可以分解为两个次数较低的有理系数多项式的乘积,则一定可以分解为两个次数较低的整系数多项式的乘积,故设 f ( x )是整系数多项式, g ( x )是本原多项式,若 f ( x )= g ( x ) h ( x ),其中 h ( x )是有理系数多项式,则 h ( x )一定是整系数多项式。
②艾森斯坦(Eisenstein)判别法:设 f ( x )= a n x n + a n −1 x n −1 +…+ a 0 是一个整系数多项式,若存在一个素数 p ,使得
a. p 不整除 a n ;
b. p | a n − 1 , a n −2 ,…, a 0 ;
c. p 2 不整除 a 0 ;
则 f ( x )在有理数域上不可约。
注意:有理数域 Q 上有任意次不可约多项式(如 x n + 2)。
该判别法为判别一个整系数多项式不可约的充分条件,即若一个整系数多项式不满足判别法条件,则多项式既可能是可约的,又可能是不可约的。有些多项式不能直接用判别法,可以对多项式进行线性替换,用 x = a y + b ,使 f ( ay + b )= g ( y ),来满足判别法条件,从而判断原多项式 f ( x )不可约。
③有理根的判定:设
f
(
x
)=
a
n
x
n
+
a
n
−1
x
n
−1
+…+
a
0
是一个整系数多项式,而
是其有理根,(
r
,
s
)=1,则必有
s
|
a
n
,
r
|
a
0
。
特别地,若 f ( x )的首项系数 a n =1,则 f ( x )的有理根都是整数根,而且是 a 0 的因子。
给定多项式
f
(
x
),判定有理根,一种方法是先写出所有可能的有理根
,逐个检验是否有
=0。若有,则
可能是根,最后通过综合除法检验余数是否为零。另一种方法是先检验
f
(±1)是否为零。若不为零,则可检验
,
是否均为整数。若为整数,则
α
可能为有理根,再利用综合除法检验余数是否为零。
(1)定义法:同次项的系数相等。
(2)利用多项式函数相等(证明多项式是零多项式常用反证法,由根的个数定理引出矛盾)。
(3)利用次数定理:常用反证法。
(4)利用整除性质:证明多项式能互相整除,再比较首项系数相等。
(1)利用定义及其性质。
(2)利用带余除法:余式为零。
(3)利用多项式的标准分解。
(4)利用因式分解及 n 次单位根的性质。
(5)利用不可约多项式的性质。
(6)利用多项式的最大公因式及互素的性质。
(1)定义法。
(2)最大公因式性质:多项式 d ( x )为 f ( x ), g ( x )的最大公因式的充分必要条件为存在 u ( x ), v ( x ),使得 u ( x ) f ( x )+ v ( x ) g ( x )= d ( x ),且 d ( x )| f ( x ), d ( x )| g ( x )。
(3)反证法。
(4)设 f ( x )= q ( x ) g ( x )+ r ( x ),则( f ( x ), g ( x ))=( g ( x ), r ( x ))。
(5)互素的性质。
(1) f ( x )无重因式⇔( f ( x ), f ′( x ))=1(( f ( x ), f ′( x ))≠1或 f ( x ), f ′( x )有公共根)。
(2) p ( x )为 f ( x )的 k +1重因式⇔ p ( x )为 f ′( x )的 k 重因式,且 p ( x )| f ( x )( p ( x )为 f ( x )的重因式的充要条件为 p ( x )为 f ( x ), f ′( x )的公因式)。
(3)待定系数法。
(4)
是一个与
f
(
x
)有相同的不可约因式,且无重因式的多项式。
(1)定义法。
(2)反证法。
(3)艾森斯坦判别法:注意如果不能找到满足定理的素数,可用线性替换重新进行判定。