



求以 n 维列向量组 α 1 , α 2 ,…, α m 为解的齐次线性方程组:
设 α 1 , α 2 ,…, α m 线性无关(若线性相关,取其极大无关组),令 α 1 , α 2 ,…, α m 为行向量构成矩阵 A ,设 Ax = 0 的基础解系为 β 1 , β 2 ,…, β n − m ,其按行向量构成矩阵 B ,则方程组 Bx = 0 (所求方程组)的一个基础解系为 α 1 , α 2 ,…, α m 。
与齐次线性方程组不同,以任意向量组为解的非齐次线性方程组不一定存在。
命题:设 α i =( a i 1 , a i 2 ,…, a in ) T , i =1, 2,…, t 线性无关,以 α 1 − α t , α 2 − α t ,…, α t −1 − α t 为基础解系的齐次线性方程组为 Bx = 0 , B 为( n −( t −1))× n 矩阵,则 Bx = B α 1 的全部解以 α 1, …, α t 为极大无关组。
例 1 求以 β 1 =(1,−1,0,0) T , β 2 =(1,1,0, 1) T , β 3 =(2,0,1,1) T 为解向量的齐次线性方程组。
解:易知
的极大无关组为
,构造矩阵
为系数矩阵的齐次线性方程组,其基础解系为
,
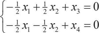
,所求齐次线性方程组为:
即:
例 2 设 α 1 =(1, 2,−1,0,4), α 2 =(−1,3,2,4,1), α 3 =(2,9,−1,4,13), W = L ( α 1 , α 2 , α 3 )是由这三个向量生成的线性空间 P 5 的子空间;(1)求以 W 为其解空间的齐次线性方程组;(2)求以 V ={ η + α | α ∈ W }为解集的非齐次线性方程组,其中 η =(1,2,1,2,1)。
解:(1)对矩阵做初等行变换,得:
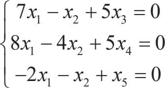
由此可得 α 1 , α 2 为 α 1 , α 2 , α 3 的一个极大无关组,即 W = L ( α 1 , α 2 )。(1)以 α 1 , α 2 为行向量作矩阵 A ,解线性方程组 Ax = 0 可得基础解系:
取:
则所求方程组为:
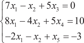
(2)由(1)中所得 B ,做线性方程组 Bx = B η ,则该线性方程组是以 V 为解集的非齐次线性方程组:事实上,对 V 中任意向量 η + α , α ∈ V 有:
即 η + α 为 Bx = B η 的解;又若 ξ 是 Bx = B η 的解,则 ξ − η 是齐次线性方程组 Bx = 0 的解,则存在数看 k 1 , k 2 ,使得 ξ − η = k 1 α 1 + k 2 α 2 ,即 ξ = η + k 1 α 1 + k 2 α 2 ,说明 ξ ∈ V ,则所求方程组为:
例 3
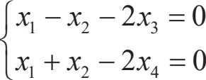
(西安电子科技大学,2005)设四元齐次线性方程组 1 为
,另一四元齐次线性方程组 2 的基础解系为
α
1
=(2,−1,
a
+2,1)
T
,
α
2
=(−1, 2, 4,
a
+8)
T
;
(1)求方程组 1 的一个基础解系;
(2)当 a 为何值时,方程组 1、2 有非零公共解,并求出全部非零公共解。
解:(1)对方程组 1 的系数矩阵做初等变换,得:
得 1 的一个基础解系为 β 1 =(5,− 3,1,0) T , β 2 =(− 3,2,0,1) T 。
(2)令 B =( β 1 , β 2 , α 1 , α 2 ),做初等变换,得:
注意当
a
≠−1时,
与
做任何非零的线性组合都不可能使之为零,而要方程组(1)(2)有非零公共解,则
a
=−1,此时有:
即 β 1 , β 2 与 α 1 , α 2 相互线性表出,则方程组(1)(2)的所有非零公共解为 k 1 β 1 + k 2 β 2 , k 1 , k 2 为任意常数。