



约束优化问题(Constrained Optimization Problem,COP)是指在优化过程中,需满足一系列额外条件的一类问题。这些额外条件通常被称为约束条件,它们限制了问题的解空间。这些限制条件可能是实际问题中的物理约束、经济约束、技术约束等,例如,生产过程中的资源限制、生产能力限制、成本限制等。约束优化问题反映了实际问题的复杂性和多样性。在面对诸如资源稀缺、成本限制等挑战时,通过对问题进行约束优化,可以找到最优的解决方案,使得资源得到最有效利用,同时满足各种约束条件。例如,在制造业领域,生产计划以最大化利润为优化目标,以工厂生产能力和人力资源为约束;在物流领域,配送路线以最小化成本为优化目标,以满足各用户约定送达时间为约束;在金融领域,投资组合以最大化收益为优化目标,以资金预算等为约束。
一般地,一个包含 m 个不等式约束与 n 个等式约束的约束最小化问题可以定义为
其中, x =[ x 1 ,…, x D ]为 D 维决策变量,其定义域为 S ={[ lb 1 , ub 1 ],[ lb 2 , ub 2 ],…,[ lb D , ub D ]},其中, lb D 代表第 D 维度的下界, ub D 代表第 D 维度的上界。 f ( x )表示问题的最小化优化目标函数, g j ( x )代表第 j 个不等式约束函数, h j ( x )代表第 j 个等式约束函数。
在一个约束问题的定义域
S
内,满足所有约束条件的解被称为可行解;相反地,违反任意一个约束的解,都被称为不可行解。定义域内所有的可行解组成的空间
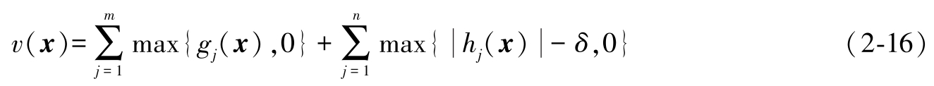
被称为优化问题的可行域,而所有不可行解组成的空间被称为不可行域。约束违反程度是衡量不可行解的一个常用指标,对于一个不可行解
x
,其约束违反程度
v
(
x
)是所有不等式约束和等式约束的违反程度的累和,其被定义为
其中, δ 是等式约束的容忍程度,当一个解的等式约束函数值在[ -δ , δ ]区间内时,可认为该解不违反此等式约束。