



自从2007年Zhang和Li将分解这一策略引入多目标进化算法,基于分解的多目标进化算法(MOEA based on Decomposition,MOEA/D)已成为解决多目标优化问题最有效的方法之一,具有计算复杂度低以及邻域关系明确等特点。根据权重向量或偏好向量,MOEA/D将多目标优化问题分解为若干个单目标优化子问题,并通过种群演化协同求解这些子问题。权重或者偏好是将帕累托近似最优问题转化为若干标量问题的载体,子问题的形式也会影响权重或偏好。在MOEA/D中常用的分解方法有加权和法、切比雪夫法和基于惩罚的边界交叉法。算法2-2给出了MOEA/D的详细过程。
1)加权和法
(weighted sum approach):加权和法将多目标优化问题看作不同目标的凸组合,使用子问题的加权和近似帕累托前沿。让
λ
=(
λ
1
,
λ
2
,…,
λ
M
)
T
表示一组权重向量,其中
λ
i
>0,
i
=1,2,…,
M
且
。加权和法将多目标优化问题表示为下述标量优化问题
通过不同的权重向量,上述标量问题可以近似不同的帕累托最优解。但是,该方法仅能在凸问题上表现出良好的性能,在非凸问题上并不能近似所有帕累托最优解。
2)切比雪夫法
(Tchebycheff approach):相较于加权和法,切比雪夫法能够有效地获取非凸问题的帕累托最优前沿。该方法通过最大化每个单目标函数与参考点之间的切比雪夫距离逼近帕累托最优解。让
表示参考点,
。切比雪夫法可将多目标优化问题转换为
虽然切比雪夫法能够改善非凸多目标优化问题中子问题的分解效果,但是在连续多目标优化问题中其聚合函数并不平滑,且需要先验知识确定参考点。
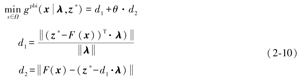
3)基于惩罚的边界交叉法 (penalty-based boundary intersection approach):为解决连续多目标优化问题,学者们设计了边界交叉法。该方法旨在找到最左边界与一组线段的交点,如图2-4所示。如果这些线在某种意义上是均匀分布的,那么就可以预期,由此产生的交点可以很好地近似整个帕累托前沿,也能够较好地处理非凸问题。
图2-4 基于惩罚的边界交叉法示意图( y 为映射点)
通过上式,基于惩罚的边界交叉法将多目标优化问题分解。参数 θ 表示惩罚系数, y 是 F ( x )的投影, d 1 是参考点与 y 之间的距离, d 2 是 F ( x )与 y 之间的距离。相较于切比雪夫法,该方法能够得到更加均匀分布的最优解,但对惩罚系数十分敏感。过大或过小的惩罚系数都会影响算法性能。