



很多同学把DeepSeek当作一个解题工具,遇到做不出来的题目才会用到它。其实,DeepSeek的功能远超大家的想象。它不仅能解答我们学习中的各种疑问,还能训练我们的思考方式,针对学习中的短板给出分析和专项练习方案。
台灯下,希希盯着练习册的最后一道大题想了半个多小时,也没有一个思路。翻过所有的课本、笔记和参考书,她也没找到一个类似的题目。现在,她只能找人帮忙了。问父母?她马上划掉这个想法,爸爸和妈妈去年已经看不懂自己的题目了。问老师?她又划掉了,老师只能明天去学校问。问同桌,同桌却说,她还在做其他作业。希希叹气道:“要是有一个人能随时随地给解答难题,那该多好啊!”
预习时,看到生词,查了大半天,不知道什么意思。复习时,看着笔记上的跳步(省略了中间步骤),怎么都补不全。做作业时,看着做不出的题目,只能大眼瞪小眼,干着急。在学习中,我们经常会遇到各种问题。并且,学得越不好,遇到的问题就越多。
当遇到问题时,我们很容易变得烦躁和焦虑。例如,在写作业时遇到一个难题,开始时只是有点压抑。努力了一会,问题没有解决,就变得沮丧。如果这个题目能跳过不做,虽然会轻松一点,但也难免失落。如果这个题目是考试必考,就会倍感焦虑。
所以,遇到问题而不能及时解决,会挫伤我们的积极性。我们花费很大力气积攒起来的一点学习劲头,很容易被这样的几个问题轻松磨掉。要避免这种情况的发生,就需要在问题出现时快速消灭它。为此,我们和家长都想了很多办法。
我们会购买很多教辅书,尤其是与作业相关的。当遇到问题时,我们期望能第一时间通过这些资料解决问题。家长则喜欢把我们送到各种学习机构去完成作业,希望学习机构里面的人员能帮助我们解决各种学习中的问题。
这些方法虽然能解决一部分问题,但也很难做到即时解答。例如,我们购买的资料很难覆盖所有的问题。即使能够覆盖我们遇到的问题,我们也不一定能找到。另外,学习机构里的人员也不是全知全能,更做不到第一时间来解决我们的问题。
现在有了DeepSeek,就不用担心这个问题了。首先,DeepSeek学习过海量知识,能解决我们遇到的各种常规问题。其次,只要向它提问,它在十几秒内就会给出答案。例如,我们遇到一个英语题目“His name is Ronald Wilson Reagan. His last name is___________”,向DeepSeek进行提问,如图1.1所示。
图1.1 DeepSeek回答问题
从显示的结果可以看出,DeepSeek思考了18秒就给出了解题方法。并且,它没有局限在Last name(姓)单一知识点上,而是扩展到了整个英文姓名结构上,列出了First name(名)、Middle name(中间名)、Last name(姓)。这种体系化的扩展不仅能帮助我们理解题目本身,还能巩固相关知识点。无形中,做到了事半功倍。
希希盯着一道几何题,眉头紧锁,草稿纸上画满了乱七八糟的线条,却始终找不到突破口。她无奈地戳了戳同桌:“帮帮我吧。”同桌瞥了一眼题目,随手在图上画了一条辅助线,然后继续低头看书。希希愣住了——答案竟然如此简单!她激动地摇着同桌的胳膊:“你是怎么想到这条线的?”同桌头也不抬,淡淡地说:“感觉。”希希呆在原地,心里既佩服又无奈,原来解题还能靠“感觉”!
很多时候,我们并不满足于获得答案,而更想知道“为什么会这样”。只有搞清楚这个问题,才会觉得自己不再迷迷糊糊,能轻松搞定类似的题目。否则,遇到类似的题目还会卡壳。不幸的是,我们的这个愿望经常无法实现。
例如,老师讲解复杂的题目时,会一笔带过一些“简单”的部分,集中讲解最难的部分。同学讲题时,经常把一些步骤当作理所当然,不讲“为什么”。教辅书给出答案时,总是为了节省篇幅,省略了很多步骤。
这就导致我们对很多内容的理解总是模模糊糊的,一旦题目出现一些变化就卡壳了。我们需要一个人事无巨细地把问题分析得清清楚楚,一步也不落下。现在有了DeepSeek,我们终于可以实现这个愿望了。哪怕我们提出一个很简单的题目,DeepSeek也会一步步地进行解释。
例如,有一个简单的填空题:“若 x =3是关于 x 的方程 mx - m =2的解,则 m 的值为_____。”我们向DeepSeek进行如下提问:
问:
若
x
=3是关于
x
的方程
mx
-
m
=2的解,则
m
的值为_____。
这个题目怎么解?每一步是如何思考的?
答: 先回顾题目。
题目给出一个关于 x 的方程:
mx - m =2
并且已知 x =3是这个方程的解,要求求出 m 的值。
第一步:理解题意
首先,我需要理解题目的意思。题目说 x =3是方程 mx - m =2的解。这意味着当 x =3时,方程成立。因此,我可以将 x =3代入方程中,求出 m 的值。
第二步:代入已知值
既然 x =3是方程的解,那么将 x =3代入方程:
m ×3- m =2
第三步:简化方程
现在,我需要简化这个方程来求解 m :
3 m - m =2
(3 m - m )=2
2 m =2
第四步:解方程求 m
现在,方程简化为:
2 m =2
为了求出 m ,我将两边同时除以2:
m =1
第五步:验证答案
为了确保我的答案是正确的,我需要将 m =1代入原方程,看看是否成立。
原方程:
mx - m =2
代入 m =1和 x =3 :
1×3-1=2
3-1=2
2=2
等式成立,因此 m =1是正确的解。
最终答案:
通过以上步骤,我们得出 m 的值为1。
DeepSeek不仅把每个步骤列出来,还附上了完整的验算过程。如果我们对其中的步骤有疑问,还可以继续追问。在这个过程中,DeepSeek不会有任何厌烦心理,它只会积极思考我们不明白的地方在哪里。
通过如此反复大量的讲解,我们就能掌握解题思路,不会因题目的稍许改变而卡壳。
希希的数学成绩一直在及格线徘徊。为了提升成绩,她每天放学后都留在教室刷题。周末她也不休息,继续把自己埋进题海里。一个月过去了,她的数学成绩只提高了五分,而其他科目却因为时间被占用而下滑。
希希望着满桌的草稿纸,第一次感到了迷茫。继续刷题,真的能带来突破吗?如果不刷题,又该怎样提高数学成绩?她站在教室窗前,望着夕阳下空荡荡的操场,陷入了深深的思考。
题海战术一直都是我们提升成绩的首选。语文作文不行,就多写作文;数学几何比较弱,就多刷几何题;英语语法不行,就做语法题。总之,哪块不行,我们就多做对应类型的题目。虽然收获总是会有一些,但是与付出相比,显得不那么高效。
为什么刷题不是一个高效的方法呢?这是因为我们刷的题不是那么精准。要想刷题精准,需要做到以下两点。
首先,需要明确自己的问题在哪里。例如,作文总是拿不了高分,可能是审题不准,总是跑题;也可能是文章结构模糊,不够清晰;还可能是内容空泛,没有和实际联系在一起。大部分时候,我们很难觉察自己的问题所在,而老师也缺乏时间帮我们逐一发现每个错误。
其次,找到对应的题目。我们能明确定位自己的问题,但很难做出针对性的训练。例如,我们的作文审题能力偏弱,但没办法收集一百个题目进行专门的审题练习,只能是多写几篇作文。对于每个作文题目,审题只花5分钟,写完一篇作文却需要30分钟。这导致25分钟的时间并没有用到刀刃上。
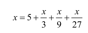
于是,为了弥补自己的短板,我们只能是大水漫灌,大量刷题。现在有了DeepSeek,我们就能对问题精准诊断,并动态调整。例如,下面是我们做错的一个一元一次方程题目。
解:
16 x =1+8 x +4 x +2 x + x
16 x =1+15 x
x =1
我们把这个错误提交给DeepSeek,让它分析一下,判断出错的原因是什么,提问如下:
问:
x
=1+
x
/2+
x
/4+
x
/8+
x
/16
解:16 x =1+8 x +4 x +2 x + x
16 x =1+15 x
x =1
帮我分析一下,我这个题目错在哪里了?
答: 你的解题过程中存在一个错误,主要是在第一步的方程转换中。让我们逐步分析:
……
这里的问题在于,你直接将方程两边乘以16,但没有正确处理常数项1的乘法。正确的做法是将方程两边同时乘以16,以消去分母。
### 正确的转换步骤:
……
### 总结:
你的错误在于没有正确处理常数项1的乘法。正确的解是 x =16。
DeepSeek找到了错误的位置,并给出了正确的做法。为了寻找出错的原因,我们继续追问DeepSeek如何解决这个问题,提问如下:
问:
导致这个错误的原因是什么?我该如何避免呢?
答: 导致这个错误的原因是在对方程两边进行乘法运算时,没有对所有项(包括常数项)进行统一处理。具体来说,当你将方程两边乘以16时,只对含有 x 的项进行了乘法运算,而忽略了常数项1也需要乘以16。
错误的原因:
1.忽略了常数项的乘法。
……
2.对乘法分配律的理解不足。
……
如何避免这种错误?
1.明确每一步的操作对象。
在对方程进行运算时,明确要对所有项进行相同的操作。例如,乘以16时,确保常数项和变量项都乘以16。
2.使用括号确保运算范围。
在对方程进行乘法运算时,可以使用括号明确运算的范围。例如:
……
3.逐步检查每一步。
在完成每一步运算后,检查是否对所有项进行了正确的操作。例如,在乘以16后,检查常数项是否变成了16,变量项是否变成了8 x ,4 x ,2 x , x 。
4.养成验算的习惯。
在解完方程后,将解代入原方程,验证是否成立。例如,当你得到 x =16时,代入原方程:
……
通过以上方法,你可以避免类似的错误,并确保解题过程的准确性。
DeepSeek不仅分析出错的底层原因,还给出了避免错误的一系列的方法。为了巩固这个方法,我们可以要求DeepSeek给出几个同类型的题目,提问如下:
问:
再出几个类似的题目,我进行一下强化练习。
答: 好的!以下是几个类似的题目,供你进行强化练习。这些题目都涉及对方程进行乘法运算以消去分母,同时也包含常数项和变量项。建议你按照正确的步骤解题,并在完成后验算。
题目1:
解方程:
题目2:
解方程:
……
题目5:
解方程:
解题步骤提示:
1.找到方程中所有分母的最小公倍数(LCM),并将方程两边乘以这个数,以消去分母。
2.确保对所有项(包括常数项和变量项)进行相同的乘法运算。
3.合并同类项,解出 x 。
4.将解代入原方程,验证是否正确。
……
DeepSeek不仅给出了5道类似的题目,还给出了步骤提示、答案等。我们可以直接进行针对性练习。如果把5个题目都做对了,则解决了这个问题。如果中间出现错误,可以让DeepSeek生成更多的题目,持续练习,直到不再出现这个错误。
同法,我们的作文拿了一个低分,可以把题目和自己写的作文提交给DeepSeek,让它分析,找到具体的错误。如果是审题出错,就要求DeepSeek分析出错的深层次原因,然后要求DeepSeek出同类的作文题目,我们进行专门的审题练习,而不用去写完整的作文。
这样,我们就实现了精准诊断,然后针对性练习,最后根据练习结果动态调整,彻底避免了低效的题海战术。