购买
下载掌阅APP,畅读海量书库
立即打开
畅读海量书库
扫码下载掌阅APP

3.3 因数分解问题

正整数 S 可表示为若干个正整数的乘积,即 S = s 1 × s 2 ×…× s n ,其中各个因子构成一个递增序列,即 s 1 s 2 s 3 ≤…≤ s n ,称之为 S 的因数分解。一个正整数 S 的分解中,各因子间是无序的,如12=2×2×3、12=2×3×2和12=3×2×2对应的是同一个分解。因此,限定 S = s 1 × s 2 ×…× s n s 1 s 2 s 3 ≤…≤ s n 以确保不会由于因子对称等原因导致重复解。每一种 S = s 1 × s 2 ×…× s n 称为 S 的一个分解,需要注意的是 s = S 也是一种分解。例如4、8、12和24的分解数分别为2、3、4和7,分解过程如下。

3.3.1 因子递增方式递归求解

以24为例,对24的各个分解进行整理和重新排列,可以得出以下规律。

(1)1和24自身构成24的第一组分解,对应①。

(2)②、③、④和⑤构成2和12对应的第二组分解。

(3)3和8构成24的第三组分解,对应⑥。

(4)4和6构成24的第四组分解,对应⑦。

从整体上看,各组分解的首个因子呈递增趋势,这就意味着各组分解的第二因子必定呈递减趋势。从局部看,②、③、④和⑤中,③、④和⑤分别对应12的一组分解,其分解方法与24的分解方法相同。进一步,③和④中,④是③中第二个因子6的一组分解。各组分解中,第一因子有上限值 S /2,更进一步可限定为 。各子分解中,第二因子不小于第一因子。

从上述分析可以得出,24的各组分解中存在子分解,子分解与原分解的规律相同,规模减小,具有典型的递归特征。因此,可以使用递归来解决因数分解问题。

S i = S /( s 1 × s 2 ×…× s i ),对 S 进行分解时,其分解过程如下。

(1) S 自身算一种分解。

(2)剩余分解可以通过 范围内的每一个整数 k 进行试除。

①若 s i = k S 的因子,则寻找到1个新的分解 s 1 × s 2 ×…× s i × S i

②同时还应该注意到, S i 仍有可能含最小因子不小于 s i = k 的分解,需要对 S i s i = k 开始继续分解。

图3-3给出了正整数4、8、12和24从2开始进行因数分解的示意图。

图3-3 4、8、12和24的从2开始进行因数分解的示意图

以24为例,其因数分解过程如下。

(1)24自身是一种分解,因此获得第1种分解24=24。

k =2,3,4(因为 )分别试除进行分解,递增试除保证了各个因子间是递增的,而且不会出现重复分解。

(2)当 s 1 = k =2时,4种分解如下。

S 1 = S / s 1 =24/2=12,获得第2种分解 S = s 1 × S 1 ,即24=2×12。

S 1 可进一步进行分解,取 s 2 = k =2, S 2 = S /( s 1 × s 2 )=24/(2×2)=6,获得第3种分解 S = s 1 × s 2 × S 2 ,即24=2×2×6; S 2 可进一步进行分解,取 s 3 = k =2, S 3 = S /( s 1 × s 2 × s 3 )=3,获得第4种分解 S = s 1 × s 2 × s 3 × S 3 ,即24=2×2×2×3。

S 1 可进一步进行分解,取 s 2 = k +1=3, S 2 = S /( s 1 × s 2 )=4,获得第5种分解 S = s 1 × s 2 × S 2 ,即24=2×3×4。

(3)当 s 1 = k =3时, S 1 = S / s 1 =24/3=8,获得第6种分解 S = s 1 × S 1 ,即24=3×8。

(4)当 s 1 = k =4时, S 1 = S / s 1 =24/4=6,获得第7种分解 S = s 1 × S 1 ,即24=4×6。

3.3.2 子问题分解方式递归求解

第2种分解方法主要是通过对问题的分析,获得子问题的表述,根据递归表达式来进行求解。3.3.1节通过试除法,利用 之间的因子获取某个分解。也可以从 S 出发,以因子递减方式逐步尝试对 S 及其因子进行分解,最终基于解的加法原理获得 S 的各个分解。 S 的分解因数问题 N S m )的递归表达式如式(3.3)所示。

其中, m | S 表示 S 能被 m 整除, 表示 S 不能被 m 整除。

3.3.3 因数分解问题代码分析

get_factor_numbers1()函数使用因子递增方式进行因数分解。函数有两个参数,n是待分解的数值,m是分解的起始值(一般从2开始,即m的初值为2)。函数在进行因数分解时,①将因数为自身的情况计入统计过程;②当重复分解至1时,分解过程结束;③未分解至1时,用循环变量i从2到 逐个遍历进行试除,若试除成功则将n/i从i开始进一步分解。

实现代码如下。

get_factor_numbers2()函数使用子问题分解方式进行因数分解。函数有2个参数,n是待分解的数值,m是分解的起始值(代表要分解的(疑似)最大因子,一般从n开始,逐渐递减至1)。函数在进行因数分解时,若被分解的数为1时,只有一种分解方式;若最大因子为1时,则返回0;若m为n的因子,则进行递归分解并统计解的总和;若m不为n的因子,则从m-1开始继续尝试新的分解过程。

测试数据及运行结果如下。

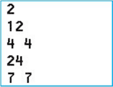
当输入两个测试数据:12和24时,12有4种分解方式,24有7种分解方式,运行结果如下。 UmGG4/OrrnEHzOr36xpQvYiV7DTjCLRV9gmuFlGh+X3gIkpa4cWMa+FR+VS8cNpc

点击中间区域
呼出菜单
上一章
目录
下一章
×