



配对 t 检验适用于配对设计。配对设计有两种:首先是自身配对,即同一对象接受两种处理,如同一标本同时用两种方法检验,或同一患者先后接受两种治疗方法;其次是异体配对,即将条件相近的实验对象配对,并分别给予两种处理。
在进行配对资料的 t 检验时,需要注意配对 t 检验的适用条件:
□ 配对样本之间具有一定的相关性;
□ 配对样本的差值来自正态分布或近似正态分布。
注意: 如果这些适用条件不成立,则需要考虑使用其他统计方法,如非参数秩和检验等方法。
下面以对实行“斯蒂尔曼饮食”方案前后的16名受试者进行甘油三酯水平变化研究为例,介绍配对 t 检验的应用。收集的变量有两个,分别是Before、After,代表饮食干预前、饮食干预后的甘油三酯值,数据见表2.2。本案例改编自SPSS官网数据。
表2.2 受试者饮食干预前后甘油三酯值(部分)
(1)打开GraphPad Prism软件,如图2.14所示,在CREATE下选择Column选项。
图2.14 创建分析文件
(2)选择Data table下的Enter or import data into a new table单选按钮,再选择Options下的Enter paired or repeated measures data-each subject on a separate row单选按钮。
(3)单击Create按钮,完成分析文件的创建。
将原始数据分别输入Group A和Group B列,差值d输入Group C列,并将它们重新命名为Before、After和d。将数据表重命名为data,如图2.15所示。
图2.15 配对 t 检验数据录入
(1)进行正态性检验。配对 t 检验的前提条件要求差值d满足正态性,具体检验步骤如图2.16(a)所示,与2.1节的正态性检验方法相同。检验结果如图2.16(b)所示,4种正态性检验方法均表明数据符合正态。
图2.16 正态性检验结果
(2)进行配对
t
检验。单击工具栏中的
按钮,弹出的对话框如图2.17(a)所示,选择Column analyses下的t tests(and nonparametric tests),勾选A、B两列数据,单击OK按钮。
弹出的对话框如图2.17(b)所示,选中Experimental design下的Paired单选按钮即配对设计。由于本案例数据服从正态分布,所以在Assume Gaussian distribution中选中Yes, Use parametric test单选按钮,即参数检验。在Choose test中选中Paired t test(differences between paired values are consistent)单选按钮,即配对 t 检验。然后切换至Options选项卡,勾选Graphing options下的Graph Ci of mean of differences(Estimation Plot)复选框。
图2.17 配对 t 检验参数设置
如果正态性检验没有通过,则对于配对设计需要采用非参数检验中的Wilcoxon检验法,在Assume Gaussian distribution中选中No, Use nonparametric test单选按钮,如图2.18所示。秩和检验的结果建议绘制箱线图或小提琴图。
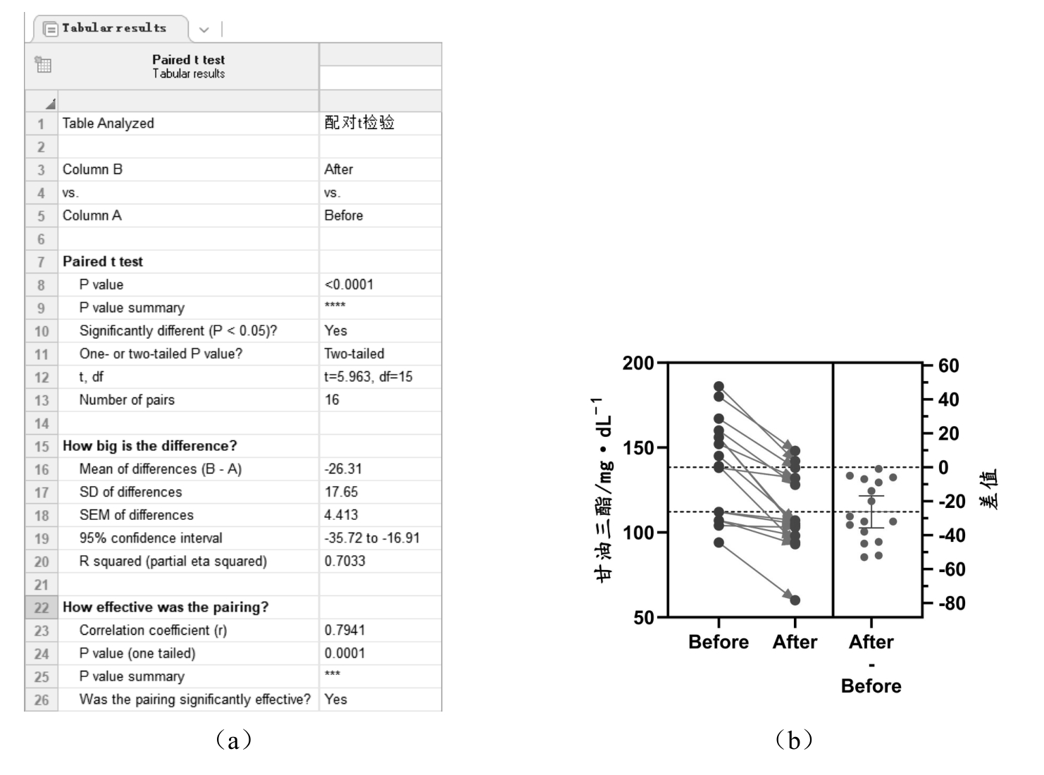
(3)结果解释:本例配对 t 检验的结果如图2.19(b)所示。
如图2.19(a)所示,当 t = 5.963, P <0.0001时,差异具有显著性意义,差值及其95%置信区间分别为-26.31及(-35.72~-16.91),说明饮食干预后,甘油三酯水平显著低于干预前水平,采用“斯蒂尔曼饮食”可以有效降低甘油三酯。
此外,GraphPad Prism通过计算皮尔森相关系数( r )和相应的 P 值来检验配对的效率。 r 越接近于1说明配对效率越高; r 越接近0说明配对效率越低。在本例中, r = 0.794, P = 0.0001,表明本研究采用的配对设计效率较高。
图2.18 配对设计非参数Wilcoxon检验
图2.19 配对 t 检验结果
(1)单击图2.15导航栏Graphs下的New Graph,弹出的对话框如图2.20(a)所示,Table选项选择data,Show选项选择Column,选择Individual values选项卡下的第3个图形,Plot下设置Symbols & lines,单击OK按钮生成连线图草图,如图2.20(b)所示。
图2.20 绘制连线图草图
(2) x 轴、 y 轴均保持默认,不进行修改。若要修改,请参考2.1节。
(3)在草图中,双击图形内Before的散点,弹出的对话框如图2.21(a)所示。
□ 在Symbols系列选项中,在Color选项中设置散点的颜色为深红色,在Shape选项中设置散点的形状为实心圆,在Size选项中设置散点大小为3。
□ 在Lines系列选项中,在Color选项中设置连接线的颜色为灰色,在Thickness选项中设置连接线的粗细为1/2pt,在Style选项中设置连接线的类型为线段,在Pattern选项中设置连接线形式为直线。
草图中After的散点和连接线与d的散点和连接线的设置方法相同,如图2.21(b)和图2.21(c)所示,不再重复罗列。
图2.21 散点和连接线设置
(4)在草图中单击 x 轴的名称后再次单击即可修改 x 轴的名称。 y 轴的名称和图的名称修改方法与此相同,不再赘述。
(5)单击工具栏中的
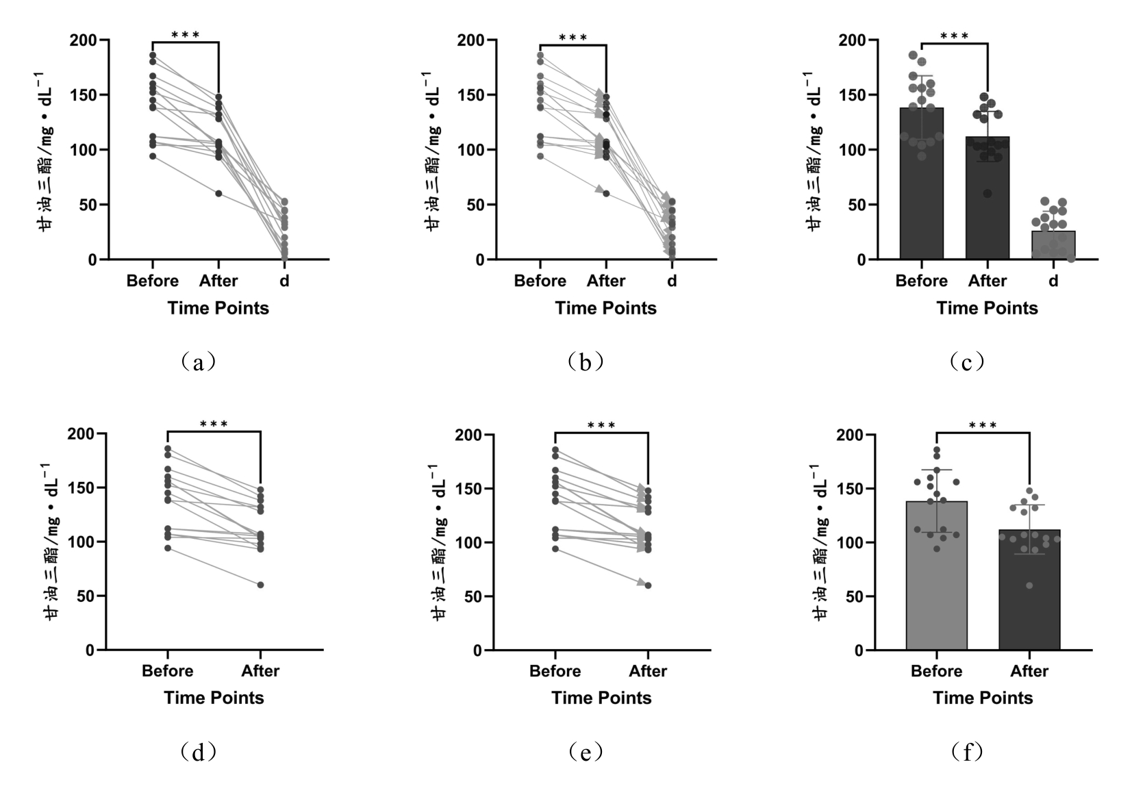
按钮,自动添加显著性标记。双击图中出现的显著性标记,可进一步对显著性标记进行修饰,参见2.1.3节。最终的图形如图2.22(a)所示。
注意: 本案例也可绘制图2.22(b)~(f),详细步骤见配书视频。当然也可以按照2.1节的方法绘制箱式图、小提琴图等。
图2.22 美化后的图