



1.PI控制器的伯德图
由2.1.2节可知,PI控制器的传递函数为
令 K P = 13.125, K I = 10,系统的伯德(Bode)图如图2-6所示。
图2-6 PI控制器的伯德图
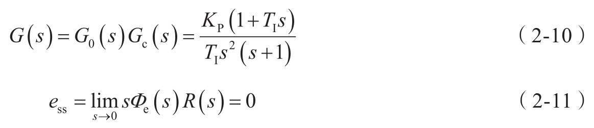
通过如图2-7所示的PI控制系统分析PI控制器对系统性能的影响,系统未加PI控制器的开环传递函数为
图2-7 PI控制系统
稳态误差为
加入PI控制器后,系统的开环传递函数与稳态误差为
从系统的开环传递函数可见,随着PI控制器的引入,系统由原来的Ⅰ型提高到Ⅱ型。若系统的输入信号为斜坡信号 r ( t ) =t ,在无PI控制器情况下,系统的稳态误差为1;而接入PI控制器后,系统的稳态误差为0。Ⅰ型系统采用PI控制器后,可以消除系统对斜坡输入信号的稳态误差,控制准确度大为改善。
利用PI控制器可提高低频段特性,提升系统型别,减小稳态误差。
2.PD控制器的伯德图
由2.1.2节可知,PD控制器的传递函数为
令 K P = 13.125, K D = 3.125,系统的伯德图如图2-8所示。
图2-8 PD控制器的伯德图
PD控制器的相频特性为
因此,PD校正可以看作相位超前校正。对于一个闭环系统,其开环传递函数可以看成 n 个典型环节组合形式,于是系统的对数幅频特性和对数相频特性可以化为如下形式:
因此,可以利用PD控制器的相位超前特性对系统进行校正。
通过如图2-9所示的比例微分控制系统分析PD控制器对系统性能的影响。系统未加PD控制器的开环传递函数为
图2-9 比例微分控制器
其对数幅频特性与对数相频特性分别为
当 K P = 7.5, τ= 0.5时,系统未加PD控制器的伯德图如图2-10所示。
图2-10 未加PD控制器的系统的伯德图
对数幅频曲线在 ω c = 1rad/s处通过0dB线,斜率为-40dB/dec;系统的相位裕度为-180°,系统处于临界稳定状态。加入PD控制器后,系统的开环传递函数为
对数幅频特性与对数相频特性分别为
当 K P = 7.5, τ= 0.5时,有PD控制器的伯德图如图2-11所示。从图2-11中可以看出,系统在低频段斜率为-40dB/dec,斜率小,位置高,并且以-20dB/dec斜率穿过0dB线,系统的相位裕度为64.3°,截止频率为4.16rad/s。利用三频段理论分析,PD控制器在低频段提高了开环增益,减小了稳态误差;改善中频段特性,增大系统的截止频率和相位裕度,提高了系统的相对稳定性和系统响应的快速性;但PD校正使系统抗高频干扰能力降低。
图2-11 有PD控制器的系统的伯德图(见彩插)
3.PID控制器的伯德图
由2.1.2节可知,PID控制器的传递函数为
将PID校正看作相位滞后-超前校正,令 K P = 13.125, K I = 10, K D = 3.125,系统的伯德图如图2-12所示。
图2-12 PID控制器的伯德图
设系统未加PID控制器的开环传递函数为
利用PID控制器对系统进行校正,可以使系统的稳态速度误差 e ssv ≤0.1,相位裕度 γ ≥67 ° ,截止频率 ω c ≥13.6rad/s。系统未加PID控制系统的伯德图如图2-13所示。
图2-13 系统未加PID控制器的伯德图
从图2-13中可知,原系统对数幅频曲线在0dB线以下,虽然是稳定系统,但稳定裕度很小,稳定误差大,调节时间长,系统性能差。
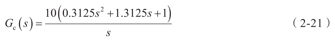
设计如下PID控制器:
得到校正后的系统开环传递函数为
加入PID控制器的系统的伯德图如图2-14所示。从图2-14中可以看出,校正后系统的相位裕度为72.3°,截止频率为13.7rad/s,在低频阶段,系统幅值为40dB,在中频阶段,系统以-20dB/dec的斜率通过0dB线。利用PID控制器提高低频段特性,提升系统型别,减小稳态误差。同时可以改善系统中频段特性,有效增加了系统的相位裕度和截止频率,提高了系统的相对稳定性。
图2-14 有PID控制器的系统的伯德图(见彩插)