



通常情况下,偏微分方程形式的物理系统控制方程(如导热控制方程)只有特殊情形才存在解析解。对于简单的偏微分方程,可采用变量分离和拉普拉斯变换等方法进行解析求解。但是,目前大多数偏微分方程仍然不能采用解析方式求解,只能采用数值计算方法在离散点上“逼近”求解。
偏微分方程离散化的方式不同,形成了许多不同的数值解法。有限差分法(finite difference method,FDM)、有限体积方法(finite volume method,FVM)或者控制体积方法(control volume method,CVM)以及有限元法(finite element method,FEM)是工程技术领域广泛应用的偏微分方程数值计算方法。
有限元法是应用最多的偏微分方程数值计算方法,广泛应用于固体力学中的结构变形分析和传热学中的温度场分析,并且逐渐应用于流场分析。有限元法可以很好地适应不规则几何区域,一般情况下可获得高精度数值解。
首先,有限元法将连续的系统全局定义域分解为一组“有限数目”离散的子定义域,这些子定义域称为单元。单元可以具有多种几何形状,因此能更好地逼近几何形状复杂的系统定义域(特别是边界区域)。
其次,有限元法在局部子定义域上(每一个单元内)构造一个近似函数,也称为实验函数(trial function),代替全局定义域上待求的物理场函数。有限元法在单元内若干节点上选择未知的物理场函数值来构造一个插值函数作为实验函数。这样,未知的物理场函数在各个节点上的数值就成为离散化物理系统的未知量(自由度),从而使一个连续的无限自由度问题变成一个离散的有限自由度问题。
最后,有限元方法通过积分形式将全部单元内的实验函数转化为代数方程组。针对具体的物理问题,有限元法可以采用变分法(variational method)、虚功原理(virtual work principle)和加权余量法(weighted residual method)等方法建立单元的代数方程。变分法建立实验函数的泛函,然后采用变分求驻值(stationarity)方法建立有限单元模型。变分法的数学推导过程清晰完备,物理意义上体现了系统内总能量最小的原则。变分法的困难在于寻找物理场函数的泛函,不是所有的物理场函数都能建立相应的泛函。
虚功原理体现了外力与内力平衡的原则,即处于平衡状态的力学系统中针对任何虚位移全部外力做功等于全部内力做功。虚功原理方法主要应用于固体力学和结构力学分析领域。
加权余量法认为每个单元内的实验函数与真实的物理场函数之间必然存在误差,在全部单元内将两个函数差进行加权积分,通过令全局积分加权余量为零建立有限元模型。加权余量法不需要寻找物理场函数的泛函,所以其适用范围更广,数理分析过程也更为简单,实用意义已经超过变分法。
本节采用加权余量法推导平面热传导问题的有限元模型。根据式(1.18)得到平面热传导控制方程的微分形式为
(1.37)
其中,
是全局定义域
Ω
上未知的温度场函数,因不能采用解析方式获得全局温度场函数,故采用数值计算方法构造实验函数
(1.38)
来近似地代替真实的温度场函数
。
式(1.38)中,
为已知的基函数;
为待求温度场函数在若干节点的数值。在数学形式上,实验函数就是基函数的线性组合。式(1.38)表明与时间相关的瞬态传热过程可以近似分解为两部分:只与几何域相关的基函数、只与时间域相关的节点温度。
由于实验函数不可能在全局定义域的每一点上都等于未知的温度场函数
,加权余量法令实验函数在定义域上的积分余量为零,即
(1.39)
其中,
R
表示热传导微分控制方程的积分余量。这样,式(1.39)就构成了一个以一组几何点的温度值
为未知量的线性代数方程。由于实验函数
包含
n
个未知参数
,因此需要构造
n
个线性独立的代数方程。为此,采用加权余量法选择
n
个加权函数构造加权的积分余量,获得
n
个线性独立的加权代数方程:
(1.40)
其中,
为已知的加权函数;
表示热传导控制方程采用
权函数时的加权积分余量。
由式(1.40)可以得到
(1.41)
采用分部积分方法,将式(1.41)变化为
(1.42)
在微积分学中,面积积分可以通过格林公式转换为线积分,即
(1.43)
根据格林公式,式(1.42)的第一项可表示为
(1.44)
将式(1.44)代入式(1.42)中,平面温度场加权余量变换为
(1.45)
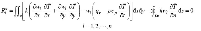
式(1.45)对于平面传热系统的全局定义域成立。但是,有限元法并不是在全局定义域上构造一个全局实验函数来计算全局加权余量,而是在每个单元(子定义域)上构造一个局部实验函数来计算局部加权余量,并且累加全部局部加权余量得到全局加权余量。在每个单元上,实验函数的未知参数选择为单元节点的温度值,未知参数的数量等于单元节点数量。
(1.46)
这样,定义域离散化后,在每个单元上都可以得到一个加权积分余量
(1.47)
其中,
e
为单元子域;
为单元边界。令式(1.42)中权函数的数量
n
等于单元节点数目,就可以得到
n
个加权余量。
在加权余量法中,权函数直接影响最终代数方程组的形式和计算精度。已经出现多种加权函数的构造方法,其中迦辽金加权函数方法得到广泛认可。迦辽金法采用实验函数对待求参数(节点温度)的导数构造加权函数,即
(1.48)
因此,迦辽金加权余量方法构造的有限元模型的具体形式取决于单元的基函数形式。在后续内容中将介绍各种类型单元中基函数(形函数)的构造方法,并且进一步推导相应的有限元模型。注意,
表示在单元
e
内关于节点
l
的加权积分余量,它一般情况下不等于零;有限元法假设在全部单元内关于同一节点的加权余量和为零,即
(1.49)
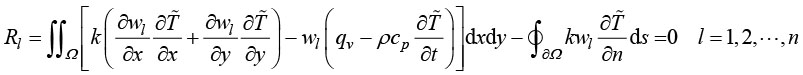
其中,加权余量的下标 l 表示节点在网格中的全局编号; N 为全部网格节点数量。因此,式(1.49)构成了 N 个代数方程,联立求解可以得到全部网格节点在某一时刻(或者时间步)的温度值。
有限元法等各类数值计算方法采用近似的实验函数代替精确的物理场函数,即有限元模型中的物理场函数永远是近似的实验函数。因此,为了书写方便,在后续内容直接将实验函数
表示为
。