



定义1.1
(椭圆) 设
是平面内的两个定点,
是一个常数,且
.平面内满足
的动点
的轨迹称为
椭圆
.其中,两个定点
称为椭圆的
焦点
,两个焦点之间的距离
称为椭圆的
焦距
.特别地,如果
和
重合,则动点
的轨迹是圆。
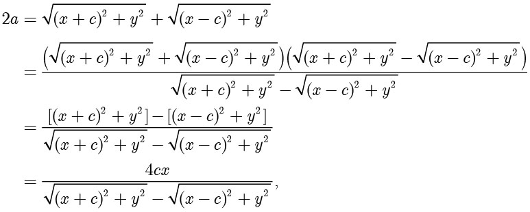
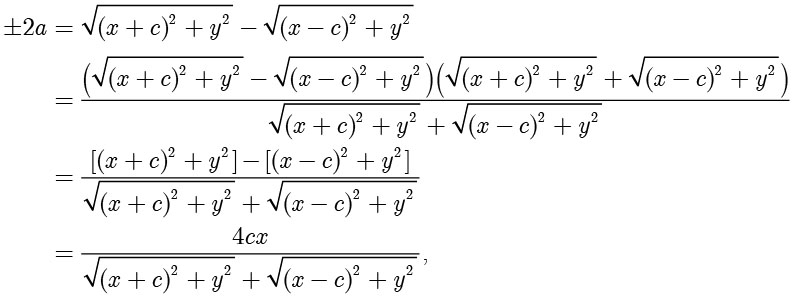
研究包含椭圆在内的圆锥曲线需要借助解析几何的方法,也就是说,将曲线放在平面直角坐标系中,使用坐标和方程来研究曲线的性质。那么,椭圆在平面直角坐标系中应该是什么样子的呢?一般来说,我们以
所在直线为
轴,
的垂直平分线为
轴,建立平面直角坐标系
,如下图所示。设椭圆的焦点分别为
和
,并设
在椭圆上,满足
,下面推导椭圆的方程。
平面直角坐标系
中的椭圆,其中
根据点到直线的距离公式,可得
当
时,
,对上式左边进行分子有理化,可得
因此
由方程(1.1)和方程(1.2)相加得
上式右边是非负的,等式两边同时平方并整理得
.可以验证当
时,方程(1.1)的解满足该方程。一般来说,记
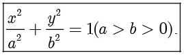
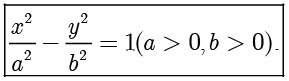
,即可得到椭圆的标准方程
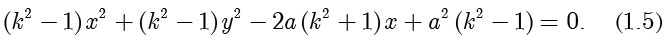
椭圆
的图像如下图所示。
椭圆
的图像
考虑椭圆
,其中
,
.
●
称为椭圆的
离心率
,且
.
●
和
分别称为椭圆的
左焦点
和
右焦点
.
● 椭圆与
轴的交点为
与
,与
轴的交点为
与
.
和
分别称为椭圆的
左顶点
和
右顶点
,
和
分别称为椭圆的
下顶点
和
上顶点
.
称为椭圆的
长轴
,
称为椭圆的
短轴
.
● 对于椭圆上的点
,有
和
.
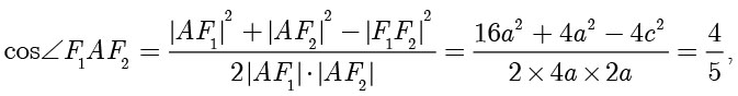
例题1.1
(取自2016年Ⅰ卷理数
) 设圆
的圆心为
,直线
过点
且与
轴不重合,
交圆
于
两点,过
作
的平行线交
于点
.证明
为定值,并写出点
的轨迹方程。
满足题意的点
的轨迹如下图所示。
满足题意的点 E 的轨迹
解答
整理得圆的标准方程为
,因此圆心
的坐标为
.因为
,
,所以
,所以
是等腰三角形,故
,计算得
因此
在以
和
为焦点,以 4 为长轴的椭圆上(不包含与
轴的交点),所以点
的轨迹方程为
.
例题1.2
(取自2023年新课标Ⅰ卷) 设椭圆
,
的离心率分别为
.若
,则
.
解答
计算得
.根据
,解得
.
例题1.3
(取自2025年全国一卷) 设椭圆
的离心率为
,下顶点为
,右顶点为
,
.
(1)求
的标准方程;
(2)已知动点
不在
轴上,点
在射线
上,且满足
.
(i)设
,求
的坐标(用
表示);
(ii)设
为坐标原点,
是
上的动点,直线
的斜率是直线
的斜率的 3 倍,求
的最大值。
解答
(1)根据题意得
,
,结合
,解得
,
,
.故椭圆
的方程为
.
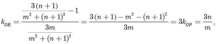
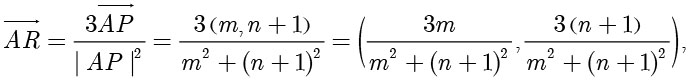
(2)(i)根据题意得
,
.设
,代入
解得
,因此
最后得到
的坐标为
.
(ii)设
,首先
,由(i)和
得
整理得
所以点
在以
为圆心,半径为
的圆上。设
为椭圆
上一点,由三角不等式得
当且仅当
三点共线,且
在线段
上时取等,因此只需求出
的最大值。根据点
在椭圆
上,可得
,因此
当且仅当
时取等,此时
.因此
的最大值为
.
在椭圆的定义中将“距离之和”改为“距离之差”,即可得到新的曲线,这个曲线称为双曲线,见如下定义。
定义1.2
(双曲线) 设
是平面内的两个定点,
是一个常数,且
.平面内满足
的动点
的轨迹称为
双曲线
.其中,两个定点
称为双曲线的
焦点
,两个焦点之间的距离
称为双曲线的
焦距
.
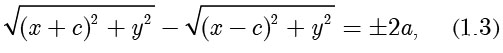
类似随圆的研究方法,我们用解析几何的方法研究双曲线。以
所在直线为
轴,
的垂直平分线为
轴,建立平面直角坐标系
,如下图所示。设双曲线的焦点分别为
和
,并设
在双曲线上,满足
,下面推导双曲线的方程。
平面直角坐标系
中的双曲线,其中
根据点到直线的距离公式,可得
对上式左边进行分子有理化,可得
因此
由方程(1.3)和方程(1.4)相加得
等式两边同时平方,可以验证没有增根,整理得
. 一般来说,记
,即可得到双曲线的标准方程
双曲线
的图像如下图所示。
双曲线
的图像
考虑双曲线
,其中
.
●
称为双曲线的
离心率
,且
.
● 直线
称为双曲线的
渐近线
[2]
.随着
变大或者
变大,双曲线上的点
到双曲线的渐近线的距离会越来越小(如上页图所示).
●
和
分别称为双曲线的
左焦点
和
右焦点
.
● 双曲线与
轴的交点为
与
,与
轴没有交点,但是可以标出点
和
.
和
分别称为双曲线的
左顶点
和
右顶点
.
称为双曲线的
实轴
,
称为双曲线的
虚轴
.
● 对于双曲线上的点
,有
.
例题1.4
(取自2012年四川卷理数) 动点
到两定点
、
构成
,且
,设动点
的轨迹为
,求轨迹
的方程。
解答
设
的坐标为
,其中
,
.当
时,点
的坐标为
.当
时,
,由
可得
化简可得
,而点
在曲线
上,因此轨迹
的方程为双曲线
.
在椭圆和双曲线中常常出现根据已知条件求离心率
的题目。 一般来说,这类题目需要使用椭圆或双曲线的定义(到焦点的距离之和或距离之差为定值),结合已知条件得到
所满足的方程,在此基础上求解离心率
.
例题1.5
(取自2024年新课标Ⅰ卷) 设双曲线
的左、右焦点分别为
,过
作平行于
轴的直线交
于
两点,若
,
,则
的离心率为
.
解答
将
代入
,解得
,因此
根据双曲线的定义,有
,整理得
,据此解得
,
.因此
,解得
,所以
的离心率
.
在求椭圆或者双曲线的离心率时,有时候需要灵活地使用勾股定理或者余弦定理。
例题1.6
(取自2023年新课标Ⅰ卷) 已知双曲线
的左、右焦点分别为
,点
在
上,点
在
轴上,
,
,则
的离心率为
.
解答
设
,则
,
.在直角
中,由勾股定理得
解得
或
.并且根据
,舍去
.所以
,
,
,则
,故
.最后,在
中,由余弦定理得
整理得
,所以
的离心率
.
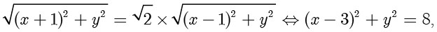
例题1.7
(取自2024年九省联考) 设双曲线
的左、右焦点分别为
,过坐标原点的直线与
交于
两点,
,
,则
的离心率为
.
解答
根据题意得四边形
为平行四边形,设
,则
,由双曲线定义可知
,故
,
.计算得
解得
,因此
,
.在
中,由余弦定理得
整理得
,解得
.
例题1.8
(取自2025年全国二卷) (多选题)双曲线
的左、右焦点分别是
,左、右顶点分别是
,以
为直径的圆与
的一条渐进线交于
两点,且
,则( ).
A.
B.
C.
的离心率为
D.当
时,四边形
的面积为
解答
如下图所示,设以
为直径的圆与
的渐进线
交于
.联立
解得
,故
,
,所以
轴,
轴,进而
.
例题1.8 示意图
对于 A 选项,
, A 选项正确。
对于 B 选项,由几何关系得
,B选项错误。
对于 C 选项,计算得
,整理得
,因此
,
,C 选项正确。
对于 D 选项,当
时,
,因此四边形
的面积
D 选项正确。故选 ACD.
和椭圆、双曲线不同,抛物线的定义不再是到两个点的距离之和或者距离之差为定值的动点的轨迹。抛物线的定义如下。
定义1.3
(抛物线) 设
是平面内的一个定点,
是不过点
的一条定直线,平面上到
的距离与到
的距离相等的动点的轨迹称为
抛物线
.其中,定点
称为抛物线的
焦点
,定直线
称为拋物线的
准线
.
设抛物线的焦点
到准线
的距离(称为焦准距)为
.在平面直角坐标系
中,设焦点
,准线
,并设
在抛物线上,满足到
的距离与到
的距离相等,如下图所示。下面推导抛物线的方程。
平面直角坐标系 xOy 中的抛物线
根据定义,可得
等式两边同时平方并整理,可得抛物线的标准方程
对于抛物线,规定其离心率
.
例题1.9
(取自2022年乙卷理数) 设
为抛物线
的焦点,点
在
上,点
,若
,则
.
解答
由题意得
,则
,即点
到准线
的距离为 2 ,所以点
的横坐标为
,代入抛物线方程得点
,所以
例题1.10
(取自2025年全国二卷) 设抛物线
的焦点为
,点
在
上,过点
作
的准线的垂线,垂足为
,若直线
的方程是
,则
.
解答
在直线
的方程中,令
,可得
,因此
,抛物线
的方程为
,准线方程为
.在直线
的方程中,令
,可得
,故
,解得
.最后由抛物线的定义可知
.
在课本中,除了前面所讲的圆锥曲线的方程,还介绍了焦点在
轴上的椭圆、双曲线和抛物线的方程。为了得到这种情况下的圆雉曲线的方程,只需要交换变量
和变量
.本书主要以焦点在
轴上的圆锥曲线为例,因此在这里不多加介绍焦点在
轴上的圆锥曲线。
本小节探讨下面的问题:设
是平面内的两个定点,动点
到这两个点的距离之比为定值
,即
,那么点
的轨迹是什么?如果
,那么
,此时点
的轨迹是线段
的垂直平分线。下面研究的是
且
的情况。
在平面直角坐标系
中,设
,
,
,则有
等式两边同时平方并移项整理得
读者应该记得,当且仅当
,并且
时二次方程
表示圆。在上面的方程中,
项和
项的系数相等,并且计算得
因此方程(1.5)表示圆。这个圆称为
阿波罗尼奥斯(Apollonius)圆
.特别地,当
时,可以将线段
的垂直平分线理解为“半径为无穷大的圆”.
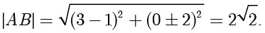
例题1.11
(取自 2008 年江苏卷) 满足
的
的面积的最大值是
.
解答
以
所在直线为
轴、
中点为坐标原点
,建立平面直角坐标系
,则
.设
,由
可得
即点
在以
为圆心、
为半径的圆上,因此点
到直线
的距离的最大值是
,从而
的面积的最大值是
.
在学习圆锥曲线的定义之后,读者可能会有这样的疑问:为什么圆锥曲线中会有“圆锥”二字?事实上,圆锥曲线最早是通过平面截圆锥发现的,如下图所示。设平面不经过圆锥的顶点。从图像可以看出,当平面不与圆锥的母线平行且只与圆锥的一侧相交时,交线为椭圆;当平面不与圆锥的母线平行且与圆锥的两侧都相交时,交线为双曲线;当平面与圆雉的母线平行时,平面只能与圆锥的一侧相交,交线为抛物线。
平面截圆锥得到的椭圆、双曲线和抛物线
以椭圆为例,设平面不经过圆锥的顶点,不与圆雉的母线平行且只与圆锥的一侧相交,下面证明平面截圆锥所得到的曲线符合椭圆的定义。设点
在截面上,为了证明点
到两个焦点的距离之和为定值,需要先找出两个焦点
,所以在这里构造两个球进行辅助,这两个球称为
丹德林(Dandelin)双球
,如下图所示。
丹德林双球示意图
在截面上方作圆锥的内切球
,同时与截面切于点
;在截面下方作圆锥的内切球
,同时与截面切于点
.设
是球
和球
在圆锥的母线上的公切线。过点
沿着圆锥的母线作球
和球
的切线
和
,与两个球分别切于
两点。根据球的切线长性质,得到
,以及
,因此
其中
是定点,因此
是定值。这便证明了点
在以
为焦点,以
为长轴长的椭圆上。
例题1.12
(多选题) 如下页图所示,小黄家的墙上固定了一盏圆锥(截面
为等腰直角三角形)状的灯,灯光可以照亮的部分是一个无限大的圆台,其截面的边界分别垂直于
和
.已知墙与地板垂直,灯向上或向下转动的极限均为
(即
可以绕
点顺时针或逆时针旋转
).若地板和墙都充分大,则灯光照在地板上的边界的可能形状有( ).
A.椭圆
B.双曲线的一支
C.抛物线
D.一条直线
例题1.12示意图
解答
根据题意,灯光可以照亮的部分是一个无限大的圆台,该问题可以转化为用平面截圆台所得截面的问题。固定灯
不动,考虑将地板从
旋转到
,设
,如下图所示。根据圆锥曲线的定义可得:
固定灯
不动,将地板从
旋转到
● 截面与圆台的轴平行时,截得双曲线的一支;
● 截面与圆台的母线平行时,截得抛物线;
● 截面不可能只与圆台的侧面相交,因此不能截得椭圆;
● 截面不可能与圆台的侧面相切,因此不能截得直线。
故选 BC .
[1]
事实上,这里得到了
,若记
,则有
,同时可以推导得到
.这个公式称为焦半径公式,借助这个公式可以大大简化计算过程。我们在后面会展开介绍。
[2]
这两条直线的方程可以统一记为
,这和双曲线的标准方程
很像,方便记忆。