



迈克耳孙-莫雷实验引起了学术界的震动,也为爱因斯坦创立狭义相对论铺平了道路。
根据经典物理学的相对性原理,绝对静止和绝对运动是不存在的,任何参考系都是平等的,任何匀速运动的车内均无法确定速度大小和方向,速度相加遵循矢量法则……爱因斯坦将相对性原理和光速不变确定为其解释世界的两大基石,但它们之间显然有激烈的矛盾——假如两束光束分别以0.8 c 和0.7 c 在空间相向相遇,按照相对性原理中的叠加规则,一束光相对于另外一束光的速度会是1.5 c 。
图1-6 爱因斯坦
同样让他觉得难以解释的还有“双子佯谬”。一对双胞胎中的A以接近光速的速度远离地球去进行宇宙旅行,而B留在地球上。按照爱因斯坦的观点,以接近光速运动的A时间过得极其缓慢,当A以他经历的两年时间返回地球时,发现B已经度过二十年时光了。而根据参考系平等的思想,A可认为自己不动,B以接近光速的速度在远离他,那么应该是B的两年与A的二十年对应。到底谁比谁更老一些?爱因斯坦又犯难了。
可见光速不变与相对性原理中必有一个有问题。爱因斯坦选择了后者,他预判需要一种更高层次的理论来化解这对矛盾。
于是,爱因斯坦将光速不变凌驾于一切法则之上,所有他以为的“不合理”必须在光速不变的前提下去寻找存在的理由。
爱因斯坦将空间与时间放在一起考虑,他认为空间和时间是不可分割的。我们知道,二维空间是一个平面,设定一个 XOY 坐标系,一个物体在这个二维平面内移动1米,如果它沿着 X 轴方向移动1米,那么在 Y 轴方向就没有发生移动,同样的如果它沿着 Y 轴方向移动1米,那么在 X 轴方向上就没有发生移动。而三维空间是立体的,坐标系增加了一个 Z 轴,给定一个移动总量, X 、 Y 、 Z 轴上对应的分配同样遵守“你多我少”或“你有我无”规则。现在将时间作为第四维,与空间三维共存,任何物体的运动不只是在空间之内,其运动影响着时间的流逝。时间与空间在相互关联上也满足矢量法则,如物体在空间上没有移动,那么它就只存在时间上的移动(时间流逝),以人为例就是逐渐变老,如双胞胎中的B。相反,物体如果在空间上移动得特别快,那么它在时间上就移动得特别慢,如双胞胎中的A。所以A的时间过得比B的缓慢得多,最终A从宇宙旅行回来时,见到的B一定比自己老许多。
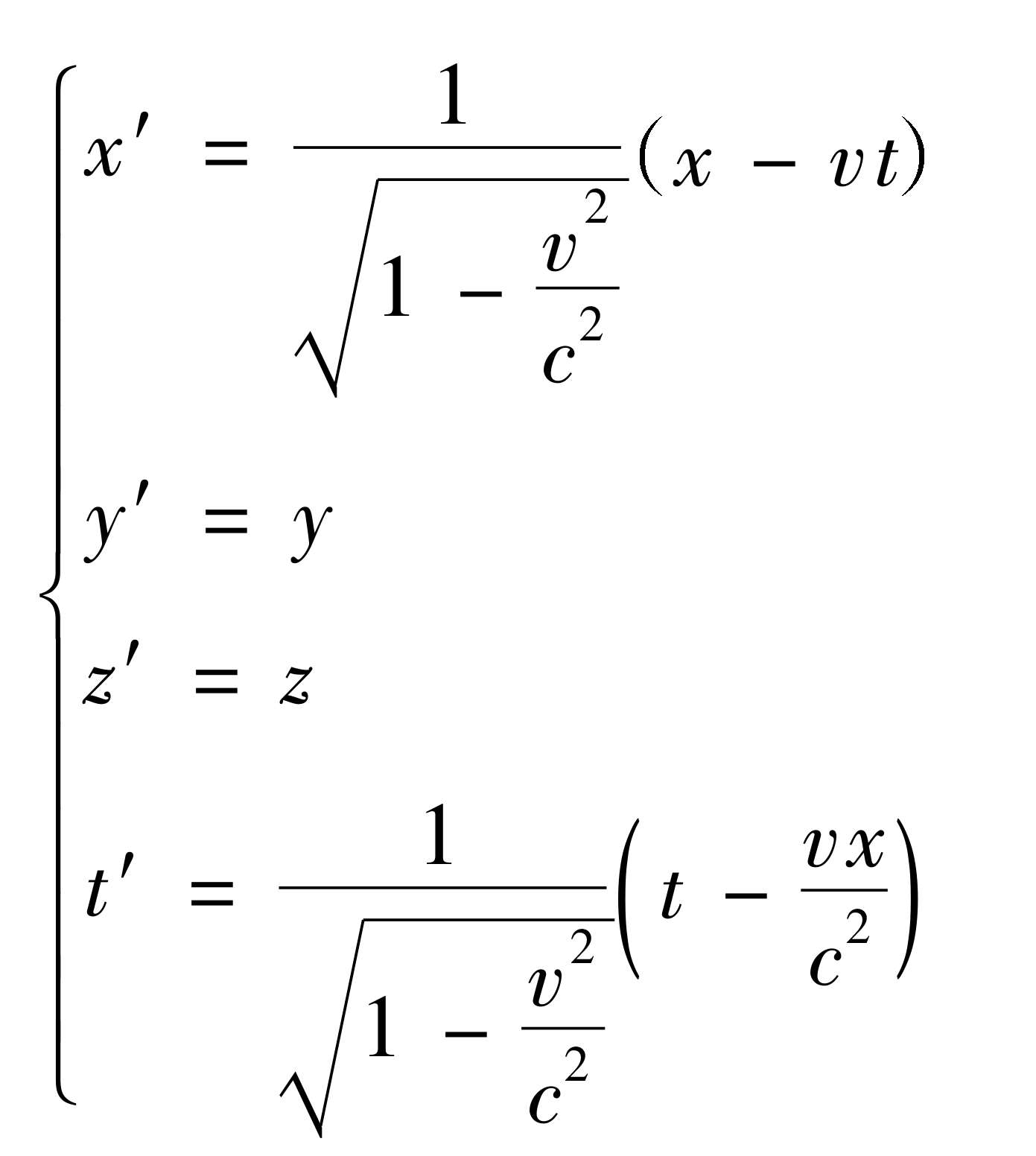
与爱因斯坦一起研究光速不变的还有洛伦兹。当爱因斯坦反复思考如何调整相对性原理时,洛伦兹利用光速影响着时间的理念,将经典物理学中的伽利略变换升级为洛伦兹变换,两种变换所包含的内容是一样的,均涉及三维空间的速度变换和时间定义,不过伽利略变换中的空间和时间是割裂、彼此独立的,而洛伦兹变换中的空间和时间是紧密联系的。
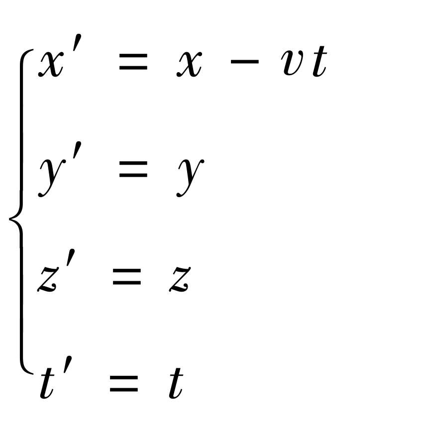
伽利略变换
洛伦兹变换
由此,爱因斯坦狭义相对论的两大基石——相对性原理和光速不变就可以互相融合,互洽一致了,只是现在的相对性原理已不是经典物理学中的伽利略变换,而是满足运动、参考系、时间、光速内在关联的洛伦兹变换。
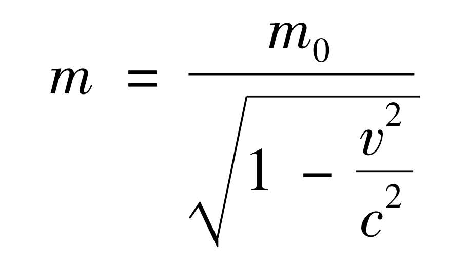
由狭义相对论可知,质量、长度、时间均与速度相关,当物体运动的速度低时,相对论理论可转化为经典物理学,而物体运动的速度高时则对应相对论所描述的现象。有
m 0 是物体静止时的质量, v 为物体运动速度。物体速度越大,其质量将随之增大,若物体速度接近光速,由公式可知,它的质量将趋于无穷大。
在相对论中,光速,不是被测量的,而是被定义的。