



经过几百年的探索,人们终于明确,光速可测,它不是无限的。
根据伽利略的相对性原理,确定速度方向和大小要选定参照系,并遵循矢量法则。例如:假设高铁列车相对于地面的速度是85m/s,当人在列车上以相对车厢5 m/s的速度与列车同向行进时,人相对于地面的速度就是90m/s。那么光呢?在行驶的列车上,沿着列车行驶方向向前发出一束光,从地面上看,这束光的速度是否等于车速和光速的代数和?
用麦克斯韦方程组能推导出光速不变,因为光速是由真空介电常数 ε 0 和真空磁导率 μ 0 这两个常数决定的,当然也不会因为参考系的变化而变化,但这与作为牛顿力学理论支撑体系之一的伽利略相对性原理是矛盾的。
事情难办,人们又想到“以太”了,想用“以太”将解决不了的问题遮盖起来。有些科学家索性直接正面认为“以太”就是光传播的真正介质。
地球绕太阳公转的速度约30 km/s,达到光速的万分之一,不至于微弱到可以忽略的程度,地球在绝对静止的“以太”介质空间中穿行,必然会有迎面而来的一股“以太风”,可能人感知不到,但它一定存在。
因为有“以太风”,一束光“逆风”传播时速度会变慢,“顺风”传播时速度会变快,光在某一特定距离内的传播时间会发生改变,通过实验应能探测到这种改变。
好在迈克耳孙-莫雷实验让真相大白。
图1-3 迈克耳孙
图1-4 莫雷
迈克耳孙和莫雷让同一束光由分光镜分成两束光,假设一束平行于“以太风”,另一束垂直于“以太风”,两束光频率相同,相遇会产生干涉现象。
如图1-5,分光镜至反光镜
M
1
方位平行于地球公转运行方向,分光镜至反光镜
M
2
方位则与之垂直。反光镜
M
1
、
M
2
与分光镜距离均为
d
,以地球为参考系,“以太风”方向与地球公转运行速度
v
相反。沿着
M
1
方向的速度叠加为
c
+
v
、
c
-
v
,沿着
M
2
方向的速度为
。
图1-5 迈克耳孙-莫雷实验原理图
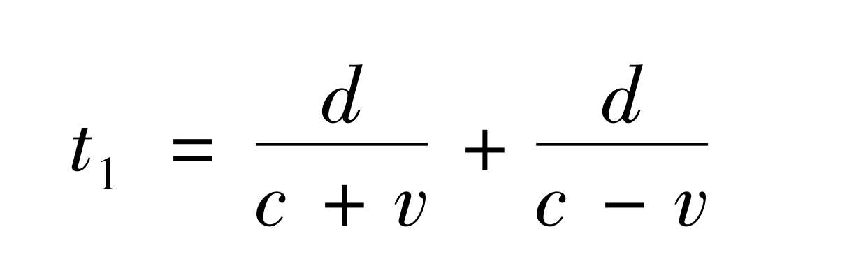
光束1往返于分光镜与 M 1 的时间为 t 1 ,则
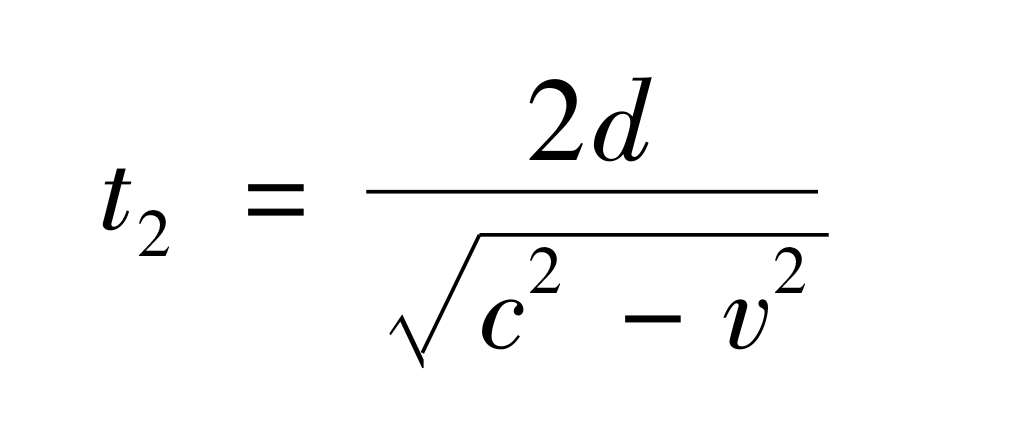
光束2往返于分光镜与 M 2 的时间为 t 2 ,则
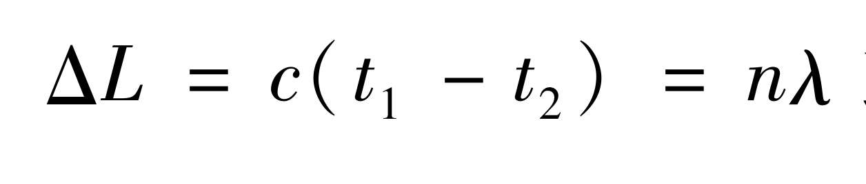
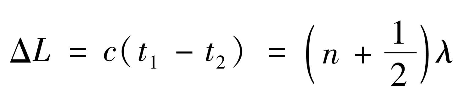
两束光到达的光程差Δ L 满足以下条件时就会出现明、暗条纹,即
或
在两束光相遇产生明、暗干涉条纹的情况下,将实验平台整体旋转90°,光束1和光束2分别到达观测屏的时间刚好互换,光程差变为-Δ L ,两次光程差的改变量为2Δ L ,观测屏上明、暗条纹位置将会移动。根据当时实验现场的各项测量数据,观测屏上明、暗条纹将会整体移动0.37个单位距离。
但实验结果显示,无论怎么调整角度和精度,干涉条纹都丝毫不动。不同的科学家,使用不同的实验方法、不同的处理模式,都没有出现明、暗条纹偏移的实验结果。
实验结论:光速不变,“以太”不存在。