



亚里士多德认为,光是从眼睛中发射出来的,我们只要睁开眼就能立刻看到身前景物,那么光速一定是无限大的。
伽利略不认为光速是无限的。他选择两座山峰、两盏油灯和两个钟摆试图测量光速。测量原理和过程并不复杂,即利用两座山峰间的距离和灯开启与关闭的时间差测算光的速度,但伽利略并没有成功获得灯光在两座山峰之间传递的时间差,因为他没有想到光速的数值大到肉眼无法觉察到灯开启与关闭的时间差,毕竟以1英里(约1.61千米)的距离来测算,光的传播只需用时11微秒。
1676年,罗默测量光速的方法就高级很多,他是天文学家,知晓诸多天体运行的规律,所以观测范围尺度比一般人要大得多。
地球轨道在太阳与木星之间,木卫一绕木星公转,当木卫一绕到木星背后时,从地球上观测会出现木卫一的“星食”现象。
根据行星运行规律,地球距离木星最近(地球处于太阳与木星之间)和最远(太阳在地球与木星之间)时均能见到木卫一“星食”现象。地球距离木星最近时木卫一“星食”现象比用公转周期预测的“规定时间”提前约11分钟出现,而当地球距离木星最远时木卫一“星食”现象又比“规定时间”晚11分钟出现。
罗默认为这两个“11分钟”是太阳光到达地球所需的时间,由地球与太阳间距离 r ,即可求得光速大小:
虽然罗默的测量结果与目前已知的光速数值相差较大,但能首次明确光速不是无限大的,显然具有特殊而重要的意义。
1849年,斐索在实验室里面设计出“旋转齿轮法”来测定光速,测量原理如下图所示。
图1-1 “旋转齿轮法”测光速原理图
实验中用到了半透明镜,它既可将光源的光传播到镜子,又能让眼睛看到从前面镜子反射回来的光。整个实验中最关键的仪器是齿轮盘,齿轮盘上的缝隙刚好在光线行进的路径上。齿轮旋转时,镜子反射的光可能从齿轮缝隙传到观察者眼中,也有可能被齿轮上的齿挡住。在实际操作时,镜子的位置距离齿轮、半透明镜和观察者非常远,斐索当年设置的距离为8千米,齿轮盘的齿数为720个。
光在齿轮与镜子之间的传播时间是
t
=
;若齿数为
N
,则每个齿对应的弧度值
。光在齿轮与镜子之间往返一次的时间内,如果齿轮盘转过了
n
个齿,返回的光可以从缝隙间穿过,即观察者可以看到返回的光;如果齿轮盘转过了
个齿,光会反射到齿上,观察者就看不到返回的光。
假设观察者某次完全看不到反光时齿轮盘转动的角速度为 ω 1 ,则有以下关系:
缓慢调大齿轮盘的转速,当观察者再次看不到反光现象时,齿轮盘转动的角速度为 ω 2 ,此时有
两式相减,得到
代入距离 L 、角速度差Δ ω 及齿轮数 N ,即可求得光速 c =3.13×10 8 m/s。
1923年,在斐索实验原理的基础上,迈克耳孙设计了“旋转棱镜法”对光速进行重新测量。
图1-2 “旋转棱镜法”测光速原理图
他的实验设计和伽利略的实验很像,用到了两座山峰,强光源、正八面棱镜在其中一座山峰,反射镜在另一座山峰。
正八面棱镜第“1”“3”“5”“7”面镜与平直光线间夹角为45°,反射光与入射光互相垂直。当棱镜静止不动,光从棱镜第“1”面镜传至远方后可又平行传回到第“3”面镜,从而进入观测者的眼中。
若缓慢转动棱镜,光与镜面间的夹角会发生变化。如果调节棱镜转动的速度,使光线从镜面“1”到远方反射镜再传回棱镜的时间内,棱镜刚好转过八分之一圈,即第“2”面镜转到第“3”面镜的原位置,则可使光线恰好传到观察者处。
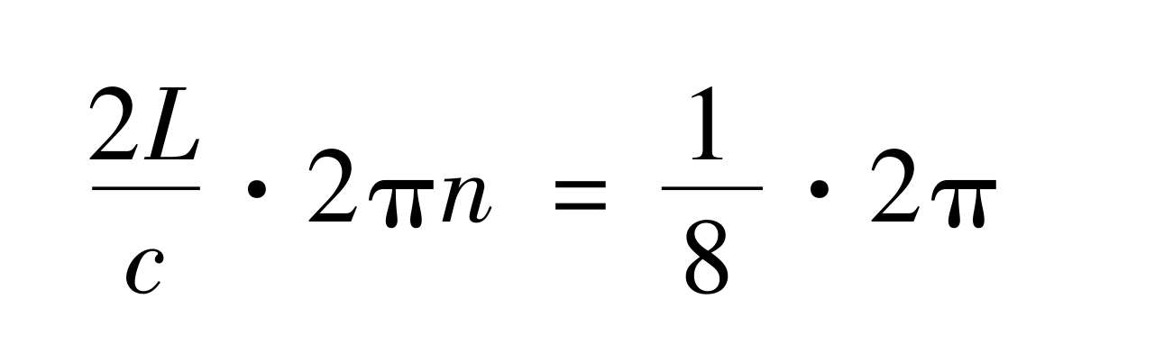
设两座山峰间的距离为 L ,棱镜转动的转速为 n ,则有
得到
c =16 nL
迈克耳孙通过旋转棱镜法测算出的光速 c 数值为299796000 m/s,与1973年国际科技数据委员会规定的光速数值299792458 m/s已经非常接近了。