



1894年,20岁的马可尼在杂志上看到了赫兹发现电磁波的论文,他敏感地意识到电磁波可用来通信,他在赫兹实验的基础上对实验仪器进行了改造。他将赫兹的火花放电释放高频电磁波改为由自感线圈和天线组成的开放电路,将随机性的电磁波传播变成“同频共振”的可调可换的多频道模式,还将信号发射器安装在高大的塔上,诸多的设备、技术的改良让马可尼的无线电报信号传播距离逐渐扩大,室内短距、室外2.8公里、跨海通信均一一实验成功。经过马可尼及其追随者的大力宣传,他的无线电报技术开始应用于远洋航海、紧急救援、军事指挥、新闻媒体……
至于无线电报信号能在空中直接传播,是不是“以太”的作用,马可尼本人也不知道。
经历近300年的持续争论,直到20世纪20年代科学家才最终确定光具有波粒二象性。光有对应的波长和频率,光子有确定的动量和能量,是“经典力学”与“量子力学”双重身份的矛盾统一体;光在传播过程中波动现象显著,光在与物质发生作用时粒子现象显著;光子数量多时更易显示波动性,光子数量少时粒子性表现更强一些;跟水波一样,波长越长的光,其干涉、衍射现象越显著。
与此同时,电磁理论也迅速崛起。
1820年奥斯特发现电流的磁效应揭开了电磁学发展的序幕。奥斯特认为:通电导线可以让小磁针的指向发生偏转,说明通电导线周围存在磁场。安培对奥斯特的发现表现出异乎寻常的敏感,他用一周的时间系统地将通电直导线、通电环形导线、通电螺线管产生的磁场进行对比和分类,提出了描述电流方向与小磁针偏转方向之间关系的“安培右手螺旋定则”。在此基础上,安培得出了“两根平行导线,电流方向相反时相互排斥,电流方向相同时相互吸引”的结论。
安培还提出了“分子电流”假说:铁棒内有大量原子,每个原子都是电子绕着原子核转动,电子绕核运动可形成环形电流——分子电流,而分子电流可以看成小磁体。未磁化的铁棒内大量分子电流的电流方向是杂乱无章的,互相抵消,所以整体对外无磁性。当铁棒受外磁场作用时,分子电流的取向和排列趋于一致,分子电流两端显现的磁极排布也趋向一致,所以整体对外显磁性。磁体在高温或猛烈撞击情况下会失去磁性,是因为外界的干扰会破坏分子电流的取向和排列,导致铁棒的磁性消失。
毕奥和萨伐尔发现通电电流产生的磁场强弱与电流的强弱成正比,与电流到场点的距离平方成反比。法拉第电磁感应定律、楞次定律、亨利自感现象、麦克斯韦方程组、赫兹发现电磁波……短短的六十多年时间,电磁理论得到极大的发展和完善。
电场、磁场可分别用电场线、磁感线来描述,虽然电场线和磁感线并非真实存在,但它们用于描述场的强弱和方向,却非常形象生动,也方便人们理解,越来越多的科学家将场线这种理想化的模型纳入各种正式场合进行深入论述和使用。其中,电场线是单向线,有起有终,而磁感线是闭合线,无起无终,两种不同的线型其实表明了静电场是一个有源场,静磁场是一个无源场。
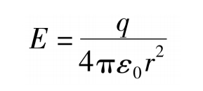
想象一个场景:孤立正电荷 q 产生的电场中,以该电荷为球心,以半径 r 在空间建立一个球面,球面上任一点的电场强度为
其中 ε 0 为真空介电常数,电场强度的方向由圆心沿半径向外。电场强度 E 与垂直通过电场线的面积 S 的乘,称为穿过此平面的电通量,用符号“ Φ e ”表示。
该正电荷在球面上的电通量为
d Φ e = E ·d S
两边取积分,可得整个球面的电通量
公式的结果告诉我们:闭合曲面的电通量与曲面包含的电荷量成正比。
从孤立点电荷模型入手,我们得到以它为球心的球面上电通量与球内包含的电荷量成正比。
用一种简单且规则的模型证明一个结论,是不严谨的。但取场强与面积乘积来引入“通量”的做法,对电场中“点电荷的任意闭合曲面”“点电荷在任意曲面外”“多个点电荷的系统”均适用,所得结论均经得住实验现象和实践延伸的考验。
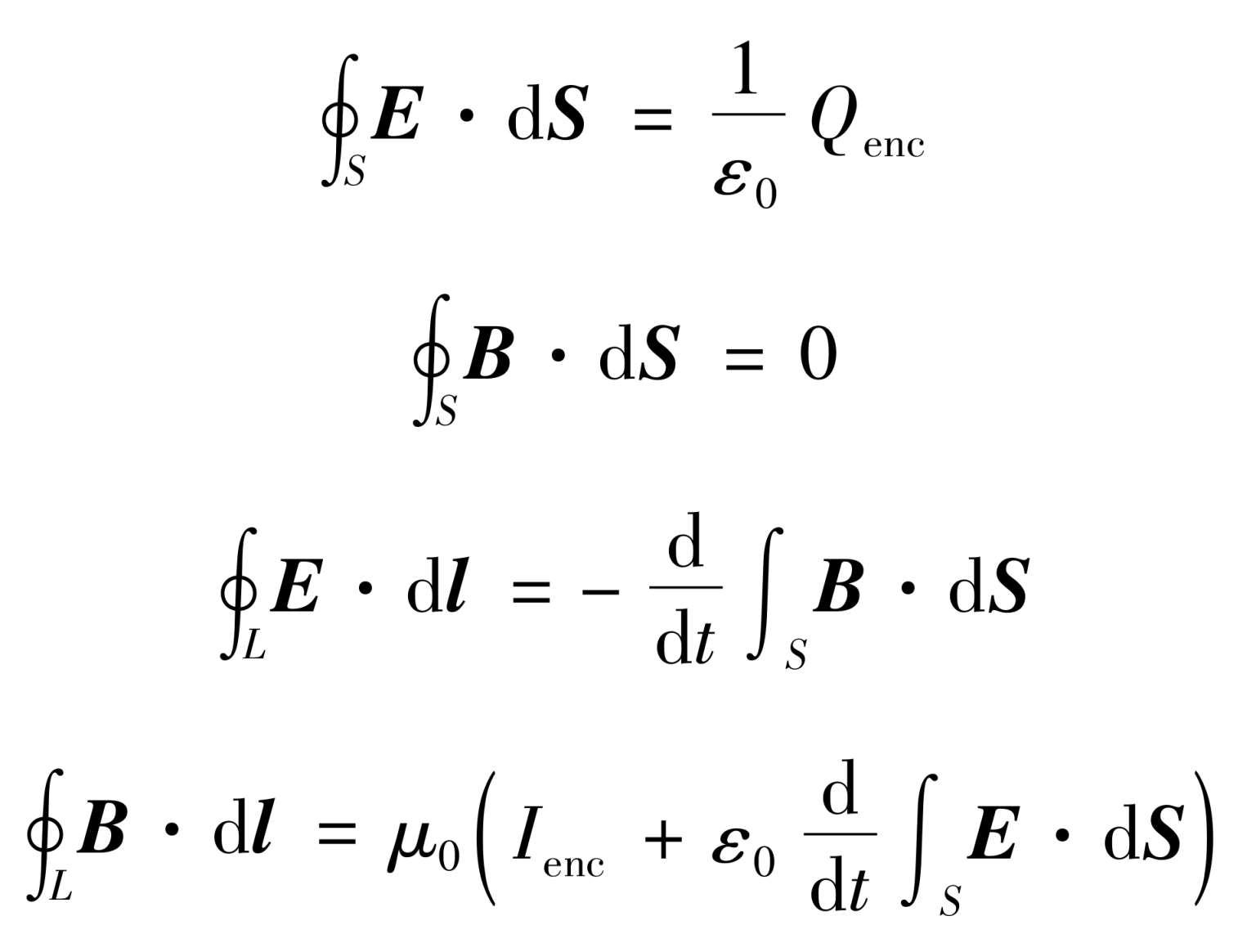
麦克斯韦方程组系统阐述了电场、磁场的基本性质,将电场和磁场归为一个整体,是对电磁场统一、简明、完美的描述。
麦克斯韦方程组积分形式
以上四个积分形式的方程暂时看不太懂也不要紧,以下是它们的大致意思:
第一个方程是描述电场,核心有两点,一是电场是有源场,有起有止;二是场源的电场通量(电场线条数)正比于场源的电荷量。
第二个方程是描述磁场,核心也有两点,一是磁场是无源场,无头无尾;二是磁源N极、S极总同时存在,封闭曲面内的磁感线有出必有进,磁通量始终为零。
第三个方程是法拉第电磁感应定律的数学表达式,即变化磁场产生电场,“负号”表示楞次定律中的“阻碍作用”。
第四个方程是安培-麦克斯韦定律的数学表达式,即通电导线和变化电场产生磁场。
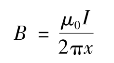
对于无限长通电直导线周围的磁场:
其中 x 为空间某位置到直导线的垂直距离, I 为直导线内电流大小。
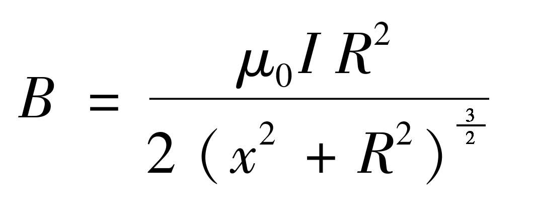
对于圆形通电导线中轴上的磁场:
其中 x 为圆形电流中轴线上某位置与导线圆心间距离, I 为电流大小, R 为圆形电流半径。
对于无限长通电螺旋管内的磁场:
B = μ 0 nI
其中 n 为螺旋管上通电导线的匝数, I 为电流大小。
其他类型电流周围的磁场分布均可通过毕奥-萨伐尔定律进行推导。
不难看出,以上公式中均出现了两个常量——真空磁导率 μ 0 和真空介电常数 ε 0 。
真空磁导率 μ 0 是计算两根无限长通电导线之间相互作用力时为建立力与电流、距离之间的等式关系所需要的“填补项”,其数值为 μ 0 =4π×10 -7 N·A -2 。
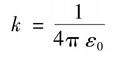
真空介电常数 ε 0 是计算电荷之间相互作用力时为建立力与电荷量、距离平方之间的等式关系所需要的“填补项”,其数值为 ε 0 =8.85×10 -12 F·m -1 ,其与静电力常量 k 有如下关系:
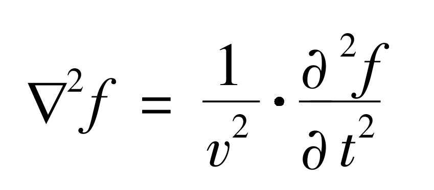
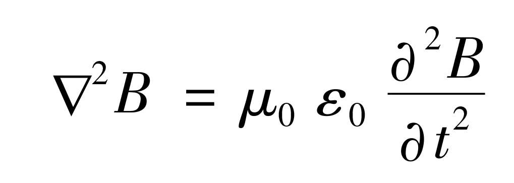
麦克斯韦利用数学变换将变化磁场产生电场和变化电场产生磁场的方程改写成三维空间的微分形式为:
这与经典波动方程三维空间的微分形式一模一样:
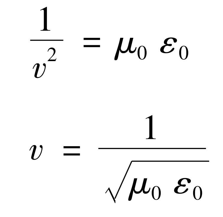
根据对应关系可得
将 μ 0 =4π×10 -7 N·A -2 、 ε 0 =8.85×10 -12 F·m -1 代入式中求得
v =2.9979×10 8 m/s
由此得到的电磁波传播速度与当时已知的光速数值非常接近,麦克斯韦大胆地预测:光是一种电磁波。
1887年,赫兹在实验室里发现了电磁波的真实存在,也验证了麦克斯韦这一预测。
由波长、频率、波速之间的关系,电磁波满足
λ · ν = c
电磁波的传播速度与光速相等,如果光速是不变的,则电磁波传播速度也是不变的。既然不变,那么就与空间介质没有关系,电磁波就不需“以太”进行传播,或者说“以太”根本就不存在!