



笔者十多年前在《科学悖论集》一书中,就开始关注芝诺关于“运动不可能”的四个论证,因为芝诺的推理过程完全合乎逻辑,却以出乎意料的方式挑战了思维逻辑和生活常识。
在芝诺所处的时代,人们对时间和空间的认知少之又少,当时普遍认为“时间和空间彼此独立互不关联”。作为一个大哲学家,芝诺是非常之人,具有非常之才。因此,我们不能用常识和直观意识去反驳芝诺悖论。
芝诺的两分法运用了归谬技法,利用抽象思维和逻辑推理,将“在到达目的地之前必须先抵达距离目的地一半的位置”的想法加以延伸后再不断延伸,直到得出了逻辑上的离谱结论,挑战了日常生活常识与认知公理,来论证运动不可能发生。芝诺是在偷换概念。有限的距离和有限的时间都是无限可分的,但总长仍是有限的,总时间是有限的;无限可分的有限距离和有限时间并不意味着它们会变成无限,所以在有限时间内是可以通过有限长度的。芝诺认为无限多个步骤不可能在有限时间内完成,有限的时间无法完成无穷个步骤。事实上,空间和时间是两个概念,无穷多个步骤并不等于无限长的时间,有限的时间内完全能完成无穷多个步骤,无穷多个步骤加起来得到的时间是有限的。
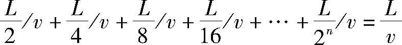
现在,我们知道,两分法可以用数列求和解决,即
已知当 n →∞ 时,有:
即数列的总和是有限的,并且趋近于 1。
如果将距离转换成时间,假设是等速前进,前进的距离除以所耗费的时间就是一个常量,这个常量等于等速前进的速度,全程的总时间
。则有:
当 n →∞ 时,
出发后,与目的地的距离只会越来越短,所需时间只会越来越短,最后就可以在有限的时间内到达目的地。
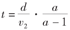
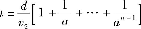
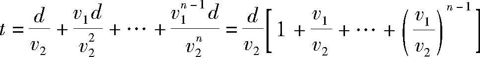
对于“阿喀琉斯”,设乌龟的速度为 v 1 、阿喀琉斯的速度为 v 2 ,用数列求和,有:
用 a 表示阿喀琉斯的速度与乌龟速度的比值,即有:
当 n →∞ 时,有:
则追上乌龟所需的时间为:
将
代入上式,即可得追上乌龟所需的时间为:
即阿喀琉斯在有限的时间内可以赶上乌龟。亚里士多德认为,在运动中领先的东西不能被追上这个想法是错误的,因为在它领先的时间内是不能被追上的,但是,如果芝诺允许它能超过所规定的有限的距离的话,那么它也是可以被追上的。
在“飞矢不动”中,芝诺刻意忽略了时间空间的连续性,所强调的是不能忽略运动中的静止。物理学上是这样定义“瞬间”的:两个时刻无限地靠近,直到用仪器无法测量这两个时刻的间隔时,这就是“瞬间”。因此,“瞬间”是一段想象中有多短就有多短的时间。我们可以将一段时间看成是由一系列相邻的无穷短的瞬间组成的,并且将这些瞬间想象成不可分割的最小时间单位。因此,这些不可分割的瞬间其时间间隔并不是真正意义的零。正因如此,箭在每一个瞬间的开始与结束时就会位于略为不同的位置上,这样箭就不可能看作是静止不动的。相反,如果这些瞬间的历时真的为零,那么不论经历多少个连续相邻的瞬间,加起来的总时长等于零。这是不可能的,反过来说明瞬间的时间间隔不为零。
在四个悖论中,“运动场问题”悖论相对最容易解决。初中物理已经学了参照物,高中物理将参照物进阶到参考系,并提出了相对运动。设第 2 列火车和第 3 列火车的速度大小为 v ,则在 2 个单位时间内,第 2 列火车头相对第 1 列火车移动了2 节车厢的距离,第 3 列火车头相对第 2 列火车头移动了 4 节车厢的距离,它们的相对速度为 2 v ,所以火车是移动了的。