



让我们把时间再拉回第一年初,此时公司的资产负债表如表4-1所示。假设我们手持现金要买下这家公司的一部分股权,我们有两种思考方式:
第一,公司的价值等于其净资产(或打一定的折扣),预定假设是“公司价值等于其清算价格”。这是格雷厄姆(也是早期巴菲特)的思想,其背后的逻辑是,未来是不确定的,现在是确定的,购买养鸡场买的就是它现在的清算价格。在这派投资者眼中,小鸡等于其肉身的价格,这与在“钱大妈”买菜的大妈大爷的思路并无二致。予以买入价一定的折扣,是为了让这笔投资具备一定的安全边际。在这种思考方式下,养鸡场的价值等于100元打个折扣,比如80元。
第二,公司的价值等于其能产生的自由现金流的折现(或打一定的折扣),预定假设是“公司价值等于其提供的资本回报水平”。这是后期巴菲特和芒格的思想,其背后的逻辑是,认为买公司就是买未来,买的是养鸡场源源不断为股东创造自由现金流的能力。而之所以要打折,也是与上述第一点相同,为了形成一定的安全边际。
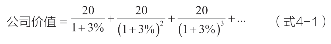
在这种思考模式下,养鸡场的价值等于其未来自由现金流折现。已知养鸡场每期自由现金流皆为20元,折现率可以采用无风险利率(十年期国债利率,假设为3%),由此我们可以得到其公司价值等于:
在第3章的“谁决定了价格”一节,我们已经辨析了“价值决定价格”从有用性角度,更能帮我们从复杂性灾难中脱离。而“价值决定价格”中对“价值”的定义,是可以给资本带来回报的水平。由此可见,第二种理解更适配于价值决定论。
要强调的是,理解市场先生(什么决定价格)的结论,即“价值决定价格”是认知再评估的一种结果。它与其他诸多结果,如供需决定价格,甚至消息决定价格、内幕交易决定价格等,都可以成为认识市场先生的一个角度。同样地,正是基于“价值决定价格”,我们才选择将“自由现金流折现”作为“价值”的定义。这一选择让我们的体系得以自洽,仅此而已。对市场先生的理解是对价值定义选择的前提,它们的关系可以用图4-2进行表达。
图4-2 “价值决定价格”与“价值等于自由现金流折现”相匹配
与自由现金流一脉相承,自由现金流折现法虽然是一种计算方法,但它不是精确的科学,而是一种模糊的思想。它更像是在茫茫大海为我们指明方向的北极星,而非精密制造、矗立岸边的灯。因此,在使用时,大可不必在过度计算中浪费精力。