购买
下载掌阅APP,畅读海量书库
立即打开
畅读海量书库
扫码下载掌阅APP

1.3 青少年特发性脊柱侧凸X线成像医学评估方法及其存在问题

根据X线图像可以对侧凸的弯度、椎体旋转程度、骨骼发育程度进行评估。

1.Cobb角

Cobb角测量法 [5] 是诊断评估青少年特发性脊柱侧凸最主要的方法,它于1948年由柯布(Cobb)提出。Cobb角测量如图1.10所示。首先在脊柱X线图像上确定侧弯的上下端椎,即侧弯头侧和尾侧倾斜角度最大的椎体,然后沿上端椎的上终板和下端椎的下终板各画一条直线,两条直线之间的夹角或其垂直线的交角即为该侧弯的Cobb角。

图1.10 Cobb角测量

临床上将正位相中测量的Cobb角是否大于10°作为是否为脊柱侧凸的评判标准 [1] 。当Cobb角小于10°时,属于正常范围,不需要治疗。当患者的Cobb角大于10°但小于20°时,属于轻度脊柱侧凸,在青少年时期应该每隔6个月通过X线成像检查来观察畸形的进展,如果Cobb角无明显增长,则继续跟踪观察,直到骨骼发育成熟。当Cobb角大于20°但小于40°时,则应该每隔3个月跟踪观察畸形的进展,如果发现Cobb角增长在5°以上,应考虑采用支具治疗。而对初诊即首次X线成像诊断时Cobb角为30°~40°的患者,应及时考虑使用支具进行干预,一方面阻止畸形进展,另一方面在骨骼生长期间,合适的支具作用能够在一定程度上减轻畸形。当Cobb角小于40°且无增长时,如果患者已经骨骼发育成熟,并且没有进一步出现椎体旋转,则脊柱畸形不会影响患者成年后的生活。如果经过跟踪观察发现Cobb角超过40°,则今后患者的脊柱畸形存在持续加重的风险,轻则出现腰酸背痛等症状,重则影响患者的日常活动,甚至对患者的心肺造成压迫,影响患者的心肺功能。在这种情况下,就需要进行外科矫形手术。

此外,根据Cobb角可以确定主弯和次弯、结构性弯和非结构性弯 [1] 。主弯是指Cobb角最大的弯,通常被认为是结构性弯,次弯可以是结构性弯也可以是非结构性弯。结构性弯伴有椎体旋转且固定,即不能经过平卧或侧屈身体来自行矫正侧弯角度。非结构性弯在侧屈位片或牵引位片上可看到畸形被矫正。通常侧屈位Cobb角小于25°的弯被定义为非结构性弯,大于25°的弯被定义为结构性弯。Cobb角以及据Cobb角确定的这些属性是后续青少年脊柱侧凸的分型依据。

站立位和侧屈位X线图像上测量的Cobb角还可以用来计算柔软指数 [1] ,以评估患者脊柱的柔韧性:

当柔软指数小于25%时,说明脊柱的柔韧性差,脊柱比较僵硬。脊柱柔韧性评估除了对预测侧凸进展有重要意义,还对决定手术入路、制定融合策略至关重要。

因此,Cobb角测量对于脊柱侧凸的评估以及治疗方式的选择非常关键。然而,Cobb角测量较依赖骨科医生的经验,且存在操作者误差。有研究表明,在Cobb角的手工测量中,观察者内(即同一观察者)的误差一般为3°~5°,而观察者之间的误差为5°~7°,这已超出了脊柱侧凸进展评估中5°的阈值 [6] ,这样的操作者误差将影响对脊柱侧凸的评估以及治疗方式的选择。

2.椎体旋转度

虽然Cobb角作为首要评估指标已经广泛应用于青少年脊柱侧凸的诊断评估,但Cobb角不能反映椎体的旋转。近年来有研究表明,评估椎体的旋转对脊柱侧凸的预后和治疗具有关键的意义 [7] 。在青少年脊柱侧凸的矫正手术中,椎体旋转的错误估计可能导致椎弓根螺钉错位,从而导致脊髓损伤或可能发生手术并发症 [8] 。研究者们相继提出了多种基于X线成像的椎体旋转程度评估方法。

柯布提出了最早的椎体旋转的评估方法,通过判定棘突和椎体的相对位置将旋转程度分为6个等级 [5] 。然而,通过棘突的位置来评估旋转程度忽略了脊柱侧凸患者可能出现椎体棘突畸形,从而导致评估结果不准确。目前评估椎体旋转程度常用Nash-Moe法 [9] 。在脊柱正位相X线图像中可观察到椎弓根投影显现为椎弓根影,如图1.10所示。Nash-Moe法通过观察测量椎弓根影相对于椎体凸侧和凹侧的位置来评估椎体的旋转程度,将椎体旋转程度分为5个等级,如图1.11所示。其中:0级的左、右椎弓根影对称且完全可见,椎体无旋转;1级凸侧椎弓根影开始向椎体中线偏移,凹侧椎弓根影与椎体凹侧边缘重叠;2级凸侧椎弓根影偏移至椎体中线与凸侧边缘之间的2/3处,凹侧椎弓根影大部分不可见;3级凸侧椎弓根影偏移至椎体中线,凹侧椎弓根影完全消失;4级凸侧椎弓根影偏移超过椎体中线,凹侧椎弓根影完全消失。由于脊柱X线图像中椎弓根影有很好的可见性,Nash-Moe法的评估比较直观。而经过手术矫正后,椎弓根影的位置也很容易看到,所以该方法也适用于术后评估。

图1.11 据正位相中的左右椎弓根影的相对位置将椎体旋转程度分为5个等级

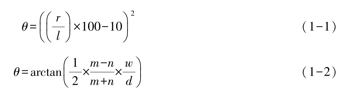
但是,Nash-Moe法仅对椎体旋转程度进行粗略分级,而不能精确测量。随后相继提出的Drerup法 [10] 和Stokes法 [11] 可对椎体旋转度进行精确的定量计算。Drerup法和Stokes法在Nash-Moe法的基础上也选用了椎弓根影作为测量的标志,利用椎弓根影中心到椎体边缘的距离或椎弓根影中心到椎体中心的距离来进行测量,其计算公式分别如式(1-1)和式(1-2)所示。

Drerup法的式(1-1)中, r 为凸侧椎弓根影中心到椎体凸侧边缘距离, l 为椎体宽度。Stokes法的式(1-2)中, m n 分别为凹侧和凸侧椎弓根影中心到椎体中心距离, img 为椎体宽深比系数,如图1.12所示。Stokes法已给出了各胸腰椎的宽深比系数的值 [11]

图1.12 Drerup法和Stokes法测量椎体旋转度

根据Drerup法和Stokes法从脊柱X线图像上手工测量椎体旋转度,需要确定椎弓根影中心、椎体边缘或椎体中心等标记点。由于X线图像中椎体影像重叠模糊,要测量所有胸腰椎,手工测量过程不仅烦琐而费时费力,还存在较大的操作者误差,因而也会影响对脊柱侧凸的评估以及治疗方式的选择。

3.Risser征

骨骼成熟度的评价在预测脊柱侧凸进展和决定治疗方案中非常重要。最常用的Risser征是根据骨盆髂嵴部位的骨化程度来评估骨骼成熟度 [1] ,即通过正位相X线图像中呈现的髂骨骨骺进行评估。如图1.13所示,可将髂前上棘到髂后上棘分为四等分。髂骨骨化的骨骺首先出现在髂前上棘处,然后逐步向髂后上棘延伸,最后与髂骨翼融合。Risser征等级划分标准见表1.1:没有骨骺出现为0级;前1/4有骨骺出现为1级;髂骨翼前1/2有骨骺出现为2级;髂骨翼前3/4有骨骺出现为3级;整个髂骨翼骨化,即骨骺到髂后上棘,但未与髂骨融合为4级;骨骺完全与髂骨翼融合为5级,此时骨骼发育完全成熟。此外,还可根据侧位相X线图像上椎骨的骨骺环与椎体融合程度判断脊柱生长发育的程度,骨骺环与椎体融合说明脊柱生长发育停止。通常脊柱侧凸发病时Risser征越低,说明脊柱生长潜力越大,脊柱侧凸进展风险也越大。

图1.13 Risser征分级示意

Risser征的评估需要准确识别髂骨骨骺,这需要一定的诊断经验,同时Risser征分级存在一定的操作者误差。因此,通过计算机自动评估Risser征,将有助于医生的诊断,尤其有助于减少经验不足的医生之间的评估误差。

综上所述,Cobb角、椎体旋转度和Risser征分级对脊柱侧凸的评估、畸形发展预测、脊柱分型,以及治疗方式的选择、矫治方案的规划都至关重要。而人工测量这些指标不仅耗费时间,还存在操作者误差。因此通过计算机自动测量这些指标,必将有助于对脊柱侧凸的诊断治疗。

表1.1 Risser征等级划分标准 ps8Ygn/cuN89/ZChFeDxtlRw71CgmOy3i7alXRSMgXJGWSUDZ3WNDR63LcI0kCp5

点击中间区域
呼出菜单
上一章
目录
下一章
×