



量化是模/数转换过程中的一个主要步骤。量化过程会产生积分非线性、微分非线性及单调性等问题。同时,信噪比也受量化过程的严重影响。数字采样信号通常包含一组比特数据,在二进制中,这些比特数据表示为0或1。一个模拟信号的二进制表示受限于数字码的宽度及数字处理过程。模/数转换就要将模拟信号表示为最接近的数字码的过程,这个具体的转换过程称为量化。在模/数转换过程中,绝大多数的连续时间信号都要经历量化的过程。
量化最开始是在电话传输技术中产生的。在这个应用中,语音信号的幅度由一连串脉冲信号表示,这种技术称为脉冲调制编码(Pulse Code Modulation,PCM)。如今,该技术已经普及到多种技术应用中,作为描述量化后模拟采样信号的数字格式。
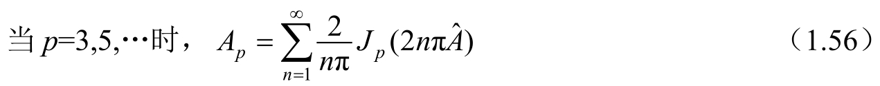
如图1.37所示,信号电压和一系列的参考值进行比较;这些参考值为一系列离散的电压值;连续信号的幅度与最接近的参考值进行比较,生成数字码。因此,在每一个模/数转换过程中都会产生误差信号。从模拟域到数字域的转换也就很自然地受到这些误差信号的影响,这些误差信号称为量化误差。量化误差产生的功率也限制了模/数转换过程的质量。
图1.37 量化过程
在采样时刻后,将连续信号用最接近的离散值进行表示,大多数的离散值表示都是基于二进制码得到的,即都用2的 N 次方来表示。其中,指数 N 称为ADC的分辨率;它表示将连续信号划分为2 N 个幅度步长。 N out 表示ADC输出的 N 位数字码。一个ADC的精度取决于量化的质量。许多工程师经常混淆“精度”和“分辨率”的概念。举个例子,我们将0~0.8V的连续信号量化为8个步长,理想值为0V,0.1V,0.2V,…,0.7V,分辨率为3位。但在实际中,这些量化步长会受到失调误差、增益误差和随机误差的影响。如果量化后的电压漂移到0.04V,0.14V,…,0.74V,虽然它们之间的相对误差为0,即分辨率非常精确,但当考虑外部的绝对电压值时,绝对精度便少了0.04V。
在二进制中,通常用“直接二进制”来表示信号,即
系数2 N -1 称为最高有效位(Most Significant Bit,MSB),相邻两个量化步长的间隔称为最低有效位(Least Significant Bit,LSB)。LSB的物理含义为
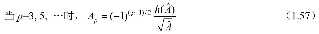
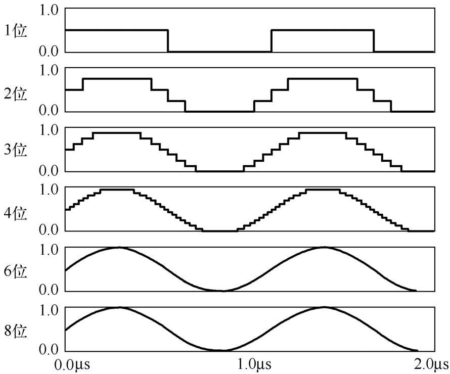
式中, A LSB 表示电压、电流、电荷或其他物理量;物理参考量为模拟物理量的范围。从式(1.49)中可以看出,不会对超出范围的信号进行转换。所以,在许多ADC中要定义“过载”范围。随着量化位数的增加,输入ADC的正弦信号1~8位的量化结果如图1.38所示。
图1.38 输入ADC的正弦信号1~8位的量化结果
理想ADC仅仅展现出量化误差,但实际上因为转换方法、电路结构、分辨率、采样频率及工程师的设计水平,还存在其他方面的误差。这里我们主要针对ADC的线性度问题进行讨论。
1.积分非线性
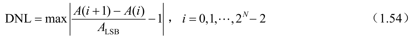
在图1.39中,设 A ( i )为模拟信号,数字码依次从 i 变化到 i +1。那么理想ADC的输入信号可以表示为 A ( i )= iA LSB 。这时,ADC的积分非线性(Integral Non Linearity,INL)表示为实际转换值与理想转换值的偏差,即
积分非线性如图1.39所示。
图1.39 积分非线性
为了方便说明,更普遍的表示方法是用整个量化范围内的最大偏差与最低有效位数的比值来表示积分非线性:
从图1.39中可以看出,实际转换曲线发生了偏移,甚至与实际转换曲线产生了1个LSB的偏差。因此,我们就可以说该ADC的积分非线性为1个LSB。
以上表明,ADC的转换过程始于输入信号为零时,终止于输入信号达到最大幅度时,这一点在许多工业及测量仪器中具有十分重要的意义。在另一些系统中,由于采用了交流耦合技术,输入信号的绝对失调误差是可以接受的。但是,因为一些系统也会对转换曲线斜率中的偏移进行处理,这就会导致误差被放大。在这些情况中,我们对积分非线性具有较为宽松的定义:积分非线性是指实际转换曲线与最佳转换拟合曲线的对比结果。采用这个定义,图1.39中的积分非线性就不是1个LSB,而是0.5个LSB。当然这只是数值上的表示方法,而不是真将积分非线性进行了降低,但这是我们表示ADC积分非线性更为通用的表示方法。
ADC的积分非线性与其谐波失真性能紧密相关。这是因为积分非线性的特性曲线决定了谐波分量的幅度。在频域中,我们通常用总谐波失真来表示ADC的线性偏差,总谐波失真(Total Harmonic Distortion,THD)可以表示为谐波功率与基波功率的比值,通常用对数形式表示,即
由于高次谐波功率逐渐减小,所以在计算时通常只计算到5次或10次谐波功率。更高次谐波功率仅用于计算信纳比时使用。
2.微分非线性
除了积分非线性,微分非线性(Differential Non Linearity,DNL)是另一个表征ADC和DAC直流转换曲线的重要参数。微分非线性定义为实际转换步长和理想转换步长(1个LSB)之间的差值,数学上可以表示为
与积分非线性类似,微分非线性也可以用其中的最大值表示为
有限的微分非线性如图1.40所示。在一些二进制结构的模/数转换器中,输入信号幅度的增加反而会产生更小的数字码,即ADC出现了非单调性。当ADC处于一个控制环路中时,这种非单调性会产生灾难性的后果。所以,许多系统要求ADC必须具有单调的转换特性,即输入信号幅度增加时,ADC输出数字码产生正向增加或零增加。
在图1.40的高位段,输入信号的增加导致一次产生两个LSB,跳过了一个数字码,这种错误称为失码。需要注意的是,一个失码等效的微分非线性为-1。8位ADC的积分非线性和微分非线性如图1.41所示。微分非线性在0.7和-0.4之间变化,这时我们就可以认为该ADC的最大微分非线性为0.7。同样,积分非线性在1.2和-1.1之间变化,那么此时该ADC的最大积分非线性就为1.2。
图1.40 有限的微分非线性
图1.41 8位ADC的积分非线性和微分非线性
我们知道,量化的能量限制了ADC的性能。我们用一个100MHz的采样信号对1MHz信号进行采样,1~8位量化的结果如图1.42所示。量化和采样是两个相互独立的过程。采样可以看成量化信号的独立预处理。在1位量化中,ADC实际上是一个简单的单阈值比较器,将正弦输入信号转换为简单的方波。量化误差等于正弦信号傅里叶级数展开的高阶部分,即
此时,基波功率与谐波功率的理论比值为6.31dB。
当量化分辨率增加时,由于逼近正弦信号的多级离散信号功率增加,信号的谐波功率相应减少。量化实际上是一个失真的过程。布拉赫曼推导了量化信号 A ˆsin(2π ft )第 p 次谐波的表达式:
当
p
=1时,
式中,
A
p
为谐波项的系数;
J
p
为一阶贝塞尔函数。对于幅度较大的信号
,式(1.56)最后两个表达式可以近似为
当
p
=1时,
图1.42 1~8位量化的结果
对于
的值近似为常数。基波分量
A
1
和奇次谐波分量的比值近似为
,用dB值来表示。理论上,每增加1位的量化,奇次谐波的功率降低9dB,但经过研究发现,实际上近似降低8dB。
在系统层面,量化误差是一种非线性现象。在高于6位的量化中,我们可以用近似的方法来处理这种非线性。在量化过程的一阶近似中,我们认为在转换范围内连续时间信号具有一致的概率分布密度。这种假设没有考虑信号的不同特性,其结果也不会因为信号特性的不同而发生变化。
当ADC的输入信号稳定增加时,产生的误差信号(锯齿波为误差信号)如图1.43所示。误差信号在-0.5LSB~0.5LSB转换值之间变化。我们可以用两个跳变点之间的平均值来重建输入信号。如果量化步长一致,我们就可以获得最优的量化质量和最低的误差功率。误差功率在ADC的分析和应用中具有重要的地位。对于小信号输入及低分辨率的ADC,量化误差取决于输入信号,并以失真的形式出现在信号中。然而,对于幅度足够大的输入信号,并且频率与采样频率无关时,大量失真信号及折叠返回的采样信号就可以用误差信号的统计值进行逼近。在0~ f s /2及更高的镜像频带内,这个确定的误差信号近似为白噪声,且仅具有一部分的噪声特性。
图1.43 产生的误差信号(锯齿波为误差信号)
我们假设在-0.5LSB~0.5LSB之间误差信号的概率密度为常数,且均匀分布,该范围内的功率是通过计算方差的估计值来确定的。误差信号幅度平方的积分乘以概率密度函数就可以得到等效的量化误差功率,即
在大多数应用中,由式(1.58)确定的量化误差功率具有足够高的精度。量化误差功率也可以用输入信号摆幅表示为
式中, N 为ADC的分辨率。
前面介绍过,当 N =7时,误差信号频谱已经可以近似看成白噪声。奇次谐波大致等于-54dB。在一些特定的系统中,我们必须特别注意量化误差的失真部分。如果量化误差的白噪声假设成立,那么量化误差噪声会将ADC的分辨率限制在14~16位。
许多系统的规格参数都是基于正弦输入信号进行定义的,这是由于我们可以比较容易地产生高精度的正弦信号。因此,在ADC中,我们也用正弦信号来表征电路的性能。作为ADC最重要的参数指标,信噪比(SNR)定义为输入信号功率与噪声功率的比值,即
ADC的量化误差都是非相关的,因此产生的噪声频谱都是白噪声频谱。这些噪声功率分布在 f =0、 f = f s /2及采样频率的倍频处。我们可以用量化误差功率来计算等效信噪比:
式(1.61)经常作为指导ADC信噪比的设计公式,因此一个8位ADC的信噪比就被限制在50dB以内。这些信噪比定义也存在其局限性。虽然可以用高斯白噪声来近似量化误差功率,但实际上量化误差功率还存在着其他的失真项。我们采用不同的 N 值对理想ADC进行信噪比仿真。当 N =1时,仿真结果接近于数学计算结果。但随着 N 值的增加,仿真结果会在一定程度上小于理想计算值。这种过估计的原因是我们假设信号在整个范围都是一致的,但实际上正弦信号波峰值和波谷值仍然存在着些许不同。
可以采用两种方式来降低量化误差功率,即增加分辨率和增加 f s ,将噪声在整个频带内压缩。在确定的带宽内,将采样频率加倍就可以将量化误差功率减半,从而获得更高的信噪比。因此,普遍采用的设计技术有奈奎斯特ADC和过采样ADC两种。
信噪失真比又称信纳比,可以表示为
无杂散动态范围(Spurious-Free Dynamic Range,SFDR)表示输入信号功率与最大失真信号功率的比值。
动态范围(Dynamic Range,DR)表示输入信号功率与噪声底极板功率的比值,它有时等于信噪比或信噪失真比。
为了清晰地表征ADC精度,我们通常用有效位数(Effective Number of Bits,ENoB)对其进行表示,即
利用有效位数,我们就可以很容易地对不同ADC进行比较。假设存在一个8位分辨率的ADC,如果测试结果为6.8位,那么我们就认为该ADC的有效位数为6.8位,其损失了相当一部分的动态性能。通常,对于8位ADC,损失的精度不能超过0.5位;对于12位ADC,损失的精度不能超过1位。