



采样是模/数转换中的第一步,也是最为重要的转换环节。本节将详细介绍采样原理,同时对调制及噪声采样进行相关讨论。
采样技术在我们的日常生活中随处可见。例如,一部电影实际上是由一帧帧采样后的画面构成的;广播信号可以分解为单音节的采样语音信号。采样过程决定了预定时刻的信号值,而采样的确切时间则是由采样频率 f s 决定的,即
我们将每两个采样时刻的时间间隔定义为采样周期 T s 。采样过程可以应用于不同的信号中。其中,最常见的是采样过程应用于模拟的连续时间信号中。
在数学上,我们用狄拉克函数来表示采样过程。狄拉克函数的结构比较特殊,因此狄拉克函数仅仅在整数的范围内可定义。由狄拉克函数提供的积分变量在某点的积分值为
在通常情况下,当 ε→ 0时,我们认为狄拉克函数的积分值近似为1,即
一个狄拉克脉冲序列可以定义为
此时,这个具有时间间隔为 T s 的脉冲序列等效为一个离散傅里叶序列。因此,这个离散傅里叶序列除 f s =1/ T s 的基波以外,还具有其他谐波分量。设每个谐波分量 kf s 的倍乘系数为 C k ,我们可以得到该序列的表达式为
只考虑单边带的情况时,根据傅里叶反变换,可以得到系数 C k 为
在可积分范围内,当 t =0时仅存在一个狄拉克脉冲,所以式(1.6)可以简化为
在时域中,我们将 C k 的计算结果代入狄拉克脉冲序列的离散傅里叶变换(Discrete Fourier Transform,DFT)表达式中,可得
式(1.8)中的最后一项是对频率和的标准反傅里叶变换。因此,对于离散傅里叶序列,狄拉克函数之和在时域内和频域内的关系为
从式(1.9)中可以看出,无限短时脉冲序列会在采样频率的倍频处产生无限频率序列分量。快速傅里叶变换(Fast Fourier Transform,FFT)是计算DFT的有效方法。该方法可以以 f bin =1/ T means 的频率对信号进行网格状量化。因此,我们使用DFT或FFT可以精确地分析一个离散时间重复信号。但如果我们用FFT算法来处理连续时间信号,就会发生频率量化或离散化现象,从而产生误差。
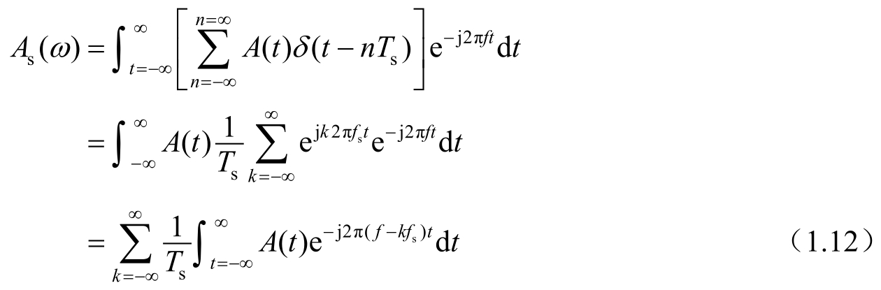
在带宽BW之内,连续时间信号 A ( t )对应的响应为 A ( ω )= A (2π f )。信号的采样过程如图1.1所示,同时有
从数学角度考虑,采样过程可以理解为将连续时间信号 A ( t )乘以狄拉克脉冲序列,从而得到离散时间信号。因此,在采样周期 T s 成倍的时间点上,我们定义连续时间信号与狄拉克脉冲序列作用的结果为
继续采用频域中对采样信号的描述方法,将连续时间信号 A ( t )在频域内的时间序列采样值 A s ( t )定义为 A s ( ω ),即
图1.1 信号的采样过程
与之前 A ( ω )的转换结果相比,式(1.12)的最终积分结果等价于将傅里叶变换结果进行了 k ω s 的频移,因此完整的 A s ( ω )为
这时原始的连续时间信号 A ( t )只与频域信号 A ( ω )中的一个频带相关联。我们再利用狄拉克脉冲序列对该信号进行采样,就可以在采样频率 f s 倍频的两侧产生原始频谱信号 A ( ω )的复制。
在连续时间域中,即使信号频率不同,当采用同样的频率对其进行采样时,也可能得到同样的采样数据。例如,采用2MHz采样时钟信号对100kHz、1.9MHz、3.9MHz连续时间信号的采样结果如图1.2所示。虽然连续时间域中的信号完全不同,当采用2MHz采样时钟信号对100kHz、1.9MHz、3.9MHz连续时间信号采样时,仍可能得到同样的结果。
图1.2 采用2MHz采样时钟信号对100kHz、1.9MHz、3.9MHz连续时间信号的采样结果
因此,我们可以得出两个结论:连续时间域中的每个信号都被映射为基带信号的一个样品组;连续时间域中的不同信号在离散时间域中可能具有相同的表示形式。
1.混叠
从前面的讨论中,我们知道如果信号在连续时间域内增加带宽,那么在采样频率倍频处的镜像信号频带也会随之加宽。当信号带宽大于采样频率1/2时,采样结束后的信号通带会发生交叠现象,这种现象称为混叠现象。与原始信号通带最接近的镜像信号上边带称为混叠带。混叠现象如图1.3所示。
图1.3 混叠现象
因此,在离散时间域中,最大可用的信号带宽必须满足:BW≤ f s /2。
2.欠采样
在前面的讨论中,我们都假设输入信号为一个从0Hz开始,带宽为BW的基带信号。混叠带出现在采样频率及其谐波附近。这种有用频带的选择对于大多数设计都是必需的。然而在实际情况中,当信号带宽上限频率较高甚至超过采样频率时,我们依然可以对其进行采样。这时,可以通过与其频率最为接近的采样信号谐波进行采样。同样地,此时信号频带也会出现在0Hz及所有采样频率的倍频处,这个采样过程称为欠采样或亚采样。
此时,如果有信号分量位于采样频率附近,那么它们会被采样到相同的频带中,这就会导致混叠现象的产生。在一些通信系统中,工程师们会使用这种欠采样技术来进行信号解调,中频调频信号的解调和欠采样过程(信号带宽为10.7MHz,采样频率为5.35MHz)如图1.4所示。在以下3种情况中,当不必要的信号出现在信号通带内,我们会采用欠采样技术对其进行消除。
图1.4 中频调频信号的解调和欠采样过程(信号带宽为10.7MHz,采样频率为5.35MHz)
(1)基带信号出现谐波失真。
(2)在输入信号频带内出现热噪声。
(3)其他电路或天线产生了干扰信号。
3.采样、调制和斩波
在实际中,信号的采样过程与信号的调制过程类似。在这两个过程中,都产生了原始信号的频带移动。信号的调制和采样如图1.5所示。在调制过程中,正弦信号乘以基带信号后,在载波频率附近产生上边带和下边带的调制信号。在理想情况下,调制和采样频率信号并不会出现在最终的频谱中,这里保留它们作为参考频率信号。
图1.5 信号的调制和采样
从数学角度考虑,信号的调制过程就是信号与角频率为 ω local 的正弦信号相乘的过程,即
从式(1.15)的结果可以看出,在输入频率处不存在任何频率分量,而在调制频率附近出现了两个不同频率的信号。式(1.15)体现了幅度调制的基本原理。如果输入信号 A ( t )是一个频带信号,那么调制的结果则会产生两个频带信号,即
调制后的频带信号会出现在 ω local 的两侧。通常,我们只要其中一个频带信号,而另一个频带信号称为镜像信号。
如果我们继续对此时的信号进行调制,那么可以恢复原始的正弦信号为
从式(1.18)中可以看出,在原始信号两侧2 ω local 上出现了两个信号。在电路中,我们可以通过低通滤波器滤除这两个信号。
与信号的调制过程相比,信号的采样过程主要在采样频率倍频的上边带产生频率分量。这时,狄拉克脉冲序列等效于采样频率倍频处正弦波的和,即
因此,信号的采样过程可以视为信号调制结果的求和过程。两者内在的相似性可以在射频信号下的变频过程中得以体现。
一种特殊的采样和混频形式称为自混频。从数学角度考虑,我们可以将混频器看成一个具有两个等效端口的器件。假设当一个端口中的信号泄漏到另一个端口中,就会发生自混频现象。在一些实际电路中,由于本振频率信号的幅度较大,本振信号往往会泄漏到幅度较小的输入端口中。如果我们定义该泄漏信号为 α sin( ω local t ),那么输出信号就会变为 α /2+sin(2 ω local t )/2。注意:这个结果中存在一个直流分量,而这个直流分量常常会被误以为电路的失调电压。
接下来我们介绍斩波技术。斩波技术是将误差敏感信号调制到其他频带的技术,从而使其免于受到误差干扰并提高了精度。首先,我们将输入信号乘以斩波信号
f
chop
(
t
),将其调制到其他频带。经过信号处理后,再将该信号乘以斩波信号
f
chop
(
t
),将其调制回原来的频段。当以正弦信号作为调制信号时,调制分量
包含一个直流分量和一个两倍于斩波频率的频率分量。因此,斩波技术可以用来移除频带内不需要的干扰信号。当对一个直流电流源信号进行斩波时,我们可以将失配噪声和1/
f
噪声搬移到更高的频带中,不会影响所需的有用信号。
在差分电路中,斩波技术主要是通过输入信号交替乘以差分信号来实现的。从数学角度考虑,该操作等价于输入信号交替乘以幅度为+1和-1的方波信号。这个方波信号可以分解为一系列正弦信号的组合,即
此时
,且经过两次斩波后,输入信号可以完美地恢复到初始状态。需要注意的是,
f
chop
(
t
)在包含有+1、-1序列或确定的频率信号时,都可以作为斩波信号。具有确定频率的斩波信号的频谱可以分解为一系列位于调制频率奇次倍频上的调制频谱,即
例如,用10MHz的方波信号去斩波0~1MHz的输入信号,则会移除频谱中的直流信号,并在9~11MHz、29~31MHz、49~51MHz等处产生镜像信号。
在斩波过程中,被斩波的上边带信号不能被滤除,否则会使输入信号在斩波回原频带时产生误差。因为任何移除信号分量的操作都会被认为是对理想斩波频谱的抵消,所以这些信号分量都被视为斩波回原频带时新的输入信号。
4.奈奎斯特准则
输入信号带宽超过采样频率的一半时出现的混叠现象如图1.6所示。从图1.6中可以看出,输入信号因带宽较大(超过了采样频率的一半),在经过采样后会产生信号混叠到基带中的现象。在ADC设计中,通过采用“抗混叠滤波器”来限制输入信号,可以防止混叠现象的产生。
这种对输入信号带宽的限制称为奈奎斯特准则。该准则最早由奈奎斯特提出。1949年,针对通信中的噪声,香农拓展了该准则的数学理论。完整的奈奎斯特准则为:如果一个函数没有包含高于带宽BW的频率,那么我们就可以在坐标轴上以一系列间隔为1/2 BW的点描述出这个函数。
图1.6 输入信号超过采样信号频率的一半时出现的混叠现象
奈奎斯特准则针对信号的带宽和采样频率,阐述了一个简单的数学关系,即
奈奎斯特准则成立的前提条件是假设用理想滤波器和无限时间周期来重构输入信号。然而,这个前提条件在实际情况中却无法达成。以压缩的音乐数据格式为例,被采样信号带宽为20kHz,为了避免混叠现象,过渡带限制在20~24.1kHz之间,且要有90dB的衰减。要完成该指标,滤波器要具有11~13个极点,“开销”巨大。此外,滤波器还会在较高的基带频率上产生非线性相位。相位失真可以导致时域上的信号失真。幸运的是,如果采用过采样技术,我们就可以有效地将基带和混叠带区分开来。这种技术我们会在过采样ADC中详细讨论。
奈奎斯特准则表明可处理的信号带宽主要受限于采样频率。而该准则中的另一个隐含假设是有效带宽内填满了相关的信号。但在一些系统中,这个假设也不成立。以视频信号为例,它们由一系列点或线的图像组成,本身就是采样信号。频谱能量集中在单个视频信号频率的倍频处。而它们之间的中间频带并没有信号。我们可以很容易地用梳状滤波器来分离这些信号分量。而这些离散的采样信号带宽都满足奈奎斯特频率。
另一种更为先进的采样技术称为非归一化采样。在通信系统中,通常只有一些有限的载波信号同时在工作。有用信号分散在相对较宽的带宽之内,而且可以通过非归一化采样序列来进行重构。我们可以通过高频随机发生器来产生这个非归一化采样序列。这些载波携带的信号扩散到整个频带中。理论上,我们可以通过设计一些算法来恢复这些信号。在高度一致采样类型的前提下,我们只要一些输入信号就可以实现信号重构。这时完整的信号带宽仍然小于有效采样频率的一半,即满足奈奎斯特准则。
5.抗混叠滤波器
从奈奎斯特准则中我们可以看出,输入信号必须是频带信号。因此,模/数转换必须经过限带滤波器进行处理。该滤波器滤除有用信号之外的信号分量,避免它们与输入信号进行混叠。在实际中,我们通常要选择高于奈奎斯特频率的信号作为采样信号。
基带信号和混叠信号之间的频率间隔决定了所需抗混叠滤波器的极点数。抗混叠滤波器的信号如图1.7所示。其中,每个极点都会使抗混叠滤波器产生每频程6dB的信号衰减。但过渡带陡峭的限带滤波器通常需要许多精确可调的极点。同时,抗混叠滤波器还应该具有一定的信号放大功能。这时,抗混叠滤波器的设计“开销”巨大,而且很难在生产中加以控制。另外,不能随意选择较高的采样频率,这是因为存储数字数据所需的容量及后级数据处理电路功耗会随着采样频率的增加而线性增加。
图1.7 抗混叠滤波器的信号
抗混叠滤波器可以是有源或无源的连续时间滤波器,也可以是离散时间的开关电容滤波器。抗混叠滤波器另一个功能是滤除系统中的干扰信号及电源中的噪声。在实际中,一些系统自身就具有限带功能。例如,在射频中,超外差接收机的中频滤波器就可以作为抗混叠滤波器;在一些传感器系统中,传感器自身输出信号就具有限带特性。
6.采样噪声
包含开关和存储电容的采样等效电路如图1.8所示。与理想的情况相比,该电路增加了两个非理想元器件。开关电阻包含了输入源和电容之间的所有阻性元器件。由于电阻受到热噪声的影响,所以又增加了噪声源。此噪声源产生的噪声可以表示为
式中, k= 1.38 × 10 -23 m 2 kgs -2 K -1 ,为玻尔兹曼常数; T 为热力学温度。每个采样频率的倍频信号都会把邻近的噪声调制回基带,然后将这些噪声进行相加。
图1.8 包含开关和存储电容的采样等效电路
在图1.8中,当开关闭合时,开关电阻和电容构成一个低通滤波器。因此,电容的平均噪声实际上是经过滤波器处理的电阻噪声,经过 RC 网络传递函数的处理,该噪声可以表示为
这种电容上的采样噪声我们通常称为 kT / C 噪声。从式(1.24)中可以看出,电阻产生的热噪声幅度并没有体现在这个公式中。实际上,增加电阻确实会相应地增加噪声能量。同时,增加电阻也会等比例地降低相关的噪声带宽。
为了解释这个现象,我们可以从经典的热力学理论中加以分析。根据均分定理,在热平衡状态中,热能平均地分布在每个自由度中。对于电容来说,只存在电势这一个自由度。所以包含在载流子
热波动中的能量等于一个自由度中的热能,即
kT
/2。
当 RC 的截止频率超过采样频率时, kT /C噪声在0~ f s /2范围内为一个平坦的频谱。如果 RC 的截止频率较低时,我们就将噪声带宽作为一个普通的信号频带进行处理,即会发生频谱叠加及镜像现象。
kT / C 噪声表明了要选择最大采样电容。因此对于ADC来说,信噪比也受到该选择的影响。在室温下,当采样电容为1pF时,电容的噪声电压为65μV。但是,大电容会占据大的芯片面积,而且会直接增加电路的功耗。
在采样系统中, kT / C 噪声的功率谱密度等于整个采样带宽内 kT / C 噪声的一半,即
用同样的电阻和电容构成连续时间滤波网络,且通带的截止频率
f
RC
为
时,噪声密度为
从式(1.25)和式(1.26)中可以看出,在采样过程中,式(1.26)中的噪声密度增加了一个系数π f RC / f s 。该系数表明噪声会在基带内进行叠加,这对设计低频、高精度的ADC而言是一个巨大挑战。
在电路中,开关的时序会影响整体噪声的累加。在开关电容电路中,每个开关周期都会增加一部分噪声。因为这些噪声都是不相关的,所以它们会以平方根的形式累加。此外,当开关泄放电容上的电荷达到一个固定电压时,该电容也会产生 kT / C 噪声(复位噪声)。
7.采样脉冲的抖动
在实际中,任何时刻的信号都具有有限的带宽,这意味着时钟信号不可能存在无限陡峭的上升沿。我们知道,振荡器、缓冲器和放大器都会在采样时产生噪声。如果噪声改变了缓冲器的导通电压,那么输出信号边沿与输入信号边沿的延时将不会是一个确定值,这种效应称为时钟抖动。时钟抖动导致采样时刻发生偏移,并采样到另一个信号值,如图1.9所示。与噪声分量类似,信号分量有时也会作用于时钟信号边沿。噪声源产生的时钟抖动会使信号产生噪声;输入信号源产生的时钟抖动则会导致信号产生谐波或失真(如果时钟抖动源和信号是相关的)。
图1.9 时钟抖动导致采样时刻发生偏移
在时序中,不均衡时钟信号路径产生的时钟信号偏移、子时钟模块的干扰、时钟信号导线产生的负载及边沿检测时产生的时钟倍频,都会导致系统失调。在噪声敏感的振荡器、锁相环及由有噪数字电源供电的长时钟缓冲器中,都会产生随机时钟抖动。在CMOS数字电路中,典型的时钟抖动信号边沿值为30~100ps。
如果一个角频率为 ω 的正弦信号由一个抖动的采样脉冲进行采样,则这个正弦信号的幅度误差可以表示为
从式(1.28)中可以看出,这个幅度误差正比于这个正弦信号的斜率及时间误差的幅度。如果我们用标准差 σ jit 代替时间误差,并表示为时序抖动信号,那么这个正弦信号幅度的标准差可以表示为
在整个时钟周期
T
内,将式(1.29)的结果与
做比值,就可以得到信噪比(Signal-to-Noise Ratio,SNR)公式,即
其单位通常为dB,即
对于采样信号,在一半的采样频带内,式(1.31)中信号功率与噪声功率的比值都是有效的。虽然式(1.31)是在假设没有信号相关性的情况下,描述了时钟抖动的效应,但式(1.31)仍然可以对时钟抖动信号进行有效的一阶近似估计。
对于不同的时钟抖动信号标准差,信噪比与输入信号频率的关系如图1.10所示。近年来,虽然ADC或数/模转换器(Digital-to-Analog Converter,DAC)设计技术不断进步,但要满足 σ jitter <1ps仍然是一个巨大挑战。
在离散时间域中,时钟抖动噪声与输入信号频率的线性关系可以使我们快速地提取时钟抖动信号。这里我们把时钟抖动描述成一种随机时间现象。在大多数情况下,时钟抖动信号都会展现出一定的频率幅度分量。在一个锁相环电路中,我们可以观测到以下这些分量。
图1.10 对于不同的时钟抖动信号标准差,信噪比与输入信号频率的关系
(1)输出信号中的白噪声(与频率无关)。
(2)振荡器的白噪声(从振荡频率开始,在功率谱中表现为下降的斜率1/ f 2 )。
(3)在锁相环产生参考信号的倍频信号时,杂散信号会出现在输出信号频率的两侧,且具有相等的频率间隔。
(4)一些杂散信号和噪声会通过衬底耦合及输出调制进入锁相环电路中。
从频谱的角度考虑,时钟抖动信号频谱会调制输入信号。采样频率附近的时钟抖动信号会在输入信号周围产生频谱,如图1.11所示。由于时钟抖动产生的时间误差被调制回低频后会产生更小幅度的误差值,所以这时载波噪声比也会相应增加。
图1.11 采样频率附近的时钟抖动信号在输入信号周围产生的频谱
数字缓冲器如图1.12所示。它会在理想采样信号中增加晶体管噪声。如果时钟抖动是由数字单元的延时时间变化产生的,那么时钟抖动信号也可能同时包含信号分量及较强的杂散分量。这种影响与图1.11中的现象相似,也会产生杂散分量和信号失真。此外,电源电压的波动会影响数字缓冲器的工作状态,从而在采样过程中产生时钟抖动信号及不确定的时钟沿。
图1.12 数字缓冲器