购买
下载掌阅APP,畅读海量书库
立即打开
畅读海量书库
扫码下载掌阅APP

金融不稳定的一个政治经济学解释

林光彬 马陆

摘 要 明斯基对金融不稳定的分析集中在资本主义增长过程中投资决策的中心地位,对扩张和收缩的解释局限于金融市场,缺乏不稳定的实际来源。马克思认为危机的根源是资本主义再生产过程中的内在矛盾,金融问题只是生产过程的反映。本文基于清泷信宏信贷周期模型刻画的经济体系,在马克思经济学范式下对金融不稳定的机制以及金融发展与经济运行的关联问题进行研究,发现在不同金融发展程度下产出对冲击的响应是非线性的,原因在于金融发展过程中的资本集中和资本再分配机制,其所具有的动态、静态效应从时间和空间两个层面放大了经济系统的冲击波动。通过对金融不稳定这两种机制的二重性分析,指出金融不稳定是从资本积累或扩大再生产过程中获得内生动力,因此金融发展并不会消除资本主义的根本矛盾,反而会加速这一对抗过程。

关键词 金融不稳定 资本构成 资本集中 信贷机制

一、引言

周小川明确指出中国在未来要重点防止出现“明斯基时刻”所引发的剧烈调整,这是守住不发生系统性金融风险底线的关键所在。 由此,“明斯基时刻”和金融不稳定性假说引起了国内的广泛关注,尤其是在当前受外部环境明显恶化和疫情冲击等因素的影响,我国金融发展面临的困难和风险挑战越来越多,研究金融不稳定就成为考察中国金融体系脆弱性和系统性风险演进的重要理论视角。随着2023年国家金融监督管理总局的组建、首部专门的金融稳定法草案提请全国人大常委会会议审议,金融稳定问题再次成为焦点。明斯基的“金融不稳定假说”将投资支出看作经济的原动力 ,在其他条件不变的情况下,投资热潮最有可能在金融稳健的环境中启动,企业将更多地利用债务资本,银行将发放更多、风险更高的贷款,资金来源的成本和波动性将越来越高;为了快速致富,家庭将减少流动性。这种“繁荣快感”,将导致整个经济的流动性不足,为金融危机埋下了伏笔,即“稳定孕育了不稳定”。马克思主义同样持危机内生于资本主义经济体系的观点,但是反对将危机归咎于金融投机或个人的鲁莽,所有危机的最终根源在于生产和交换的实体经济。因此从马克思主义的角度来看,明斯基的金融不稳定理论存在一个主要问题:在他的模型中,不存在不稳定的实际来源。但是,马克思没有将他关于信用体系的论述纳入危机理论 ,也没有对金融(信用)产生不稳定的机制进行深入分析,未曾提出一个比较规范完整的金融周期理论 ,导致部分马克思主义学者认为马克思的货币理论在细节上和复杂性上是不完整、不透明的 。鉴于此,本文首先拓展包含金融发展参数的信贷周期模型来刻画技术冲击下金融发展与宏观经济之间的关联关系,然后在马克思经济学框架下对金融发展不稳定性的作用机制与内生性进行研究,最后得出伴随着扩大再生产,金融发展不可避免地会对经济结构和系统造成金融脆弱和不稳定的结论。

二、文献综述

金融不稳定的早期观点通常从银行挤兑开始,被认为是“mass hysteria”(集体歇斯底里)的结果,是一种外生冲击的观点。 这种冲击,一是通过银行和金融机构之间的相互联系传染。菲利普将金融不稳定的产生归因于单一金融机构的倒闭,通过一系列传染机制传播到整个金融系统。 班迪等将单一银行挤兑模型扩展到多银行系统,拓展了银行间风险传染的渠道。 二是通过金融市场的资产价格传染。安德鲁和罗博兹认为银行以支付系统和银行间市场的方式联系在一起,开发出基于支付系统位置的价格传染模型。 肯和沃德瓦尼研究金融市场传染,论证了一个市场的价格变化对其他市场的资产价值有影响。 凯勒等提出了由于财富效应的存在而导致金融市场传染的模型。

金融不稳定的现代观点是一种对金融不稳定的内生性解释。明斯基认为最初稳健的金融系统会内生地转变成脆弱的系统,原因在于过于乐观的预期会驱使经济代理人的融资方式从对冲向投机、庞氏类型转移,一旦市场过程“不能保证有效需求始终足以产生足够大的利润流,使‘银行家’和‘商人’能够履行债务承诺……” ,经济系统就会从繁荣走向崩溃。明斯基的金融不稳定假说对资本主义经济周期波动给出了一种内生解释,并认为企业对投资进行外部融资是资本主义经济的根本特征,长期的信贷扩张最终会造成金融的不稳定。在此基础上,很多学者通过构建各种指标比如利息负担情况、债务资本比来拓展分析对冲型融资、投机型融资和庞氏型融资过程。达弗莫斯和尼古拉迪布等通过对企业资产负债表和银行信贷的相互作用关系的讨论,进而刻画金融不稳定和经济周期的特征。 在此基础之上,达弗莫斯构建包含三部门的宏观动力学模型,综合了戈德利和明斯基的框架,分析私人部门支出倾向与债务比率之间的关系,表明当私人债务比率通过明斯基机制内生变化时,原本稳定的宏观体系可能会转变为不稳定的宏观体系。

从马克思经济学角度看,明斯基的不稳定假说中对扩张和收缩的解释局限于收益预期和外部融资,缺乏一个真正的生产部门不稳定来源,是一种脱离生产限制的金融自洽。尽管马克思的著作中没有出现“金融不稳定”这一术语,也没有直接的对等物,但遵循马克思对生息资本的论述以及对资本主义生产方式的动态演化分析可知,金融发展是资本主义生产方式一直存在的内在趋势,但无论金融体系如何膨胀,都不能脱离其在实体生产经济中的根基,货币资本和虚拟资本自身的积累及其与物质资本积累之间的背离是有一定限度的,超出这一限度的直接表现就是资本主义进程中时常出现的投机性泡沫。之后其他马克思主义学者对金融发展、金融自由化的分析大多从权力分配和阶级不平等关系的角度展开,强调金融资本的支配性质及其负面影响,即最终不可避免地引发金融危机,加深资本主义矛盾的积累和资本主义经济系统脆弱性的恶化。比如佛斯特在巴兰·斯威齐的垄断资本分析模式上发展了垄断金融资本理论,他认为金融资本爆炸式的增长虽然有助于吸收剩余,但也加深了经济的停滞趋势。 迈克池尼分析了近30年工资停滞和收入不平等加剧的现象,指出危机的深层根源在于实体经济。

始于美国的2008年金融危机,让国内学术界也开始重新审视金融系统的不稳定性及其与宏观经济之间的关联影响。有构建金融不稳定的指标体系来度量中国是否存在金融系统性风险的 ;有从发展经济学、制度经济学角度分析金融不稳定的,例如林光彬指出预算软约束的外部性是金融危机和经济危机的主要内在原因 ,王曙光对中国金融抑制的内在逻辑与传统金融体制形成的根源进行了解释等 ;还有从马克思经济学角度进行分析阐述的,例如杨慧玲认为金融不稳定的根源在于资本主义积累的无政府性 ,任瑞敏认为资本的金融化并不能彻底解决流通中的限制,但可以从形式上调和生产资料私有制与社会化大生产之间的矛盾。

综上所述,金融不稳定理论驳斥了具有发达金融市场的成熟经济体可以自然地实现自我均衡的观点。目前西方经济学关于金融不稳定性以及其与宏观经济之间关联的研究,一方面是从理论的角度揭示二者之间复杂的交互影响关系,另一方面从实证的角度检验金融不稳定指标对宏观经济的影响。但是在马克思经济学研究领域中,对金融不稳定的根源、机制、结果的研究不够聚焦,一些相关的研究未吸收理性预期、动态优化等经济学方法,需要从马克思政治经济学角度对金融不稳定作出现代的、系统的解释。本文的贡献就在于通过对清泷信宏的经典信贷周期模型进行拓展、模拟和比较分析,在马克思经济学框架内对金融不稳定的内生性根源以及金融发展导致经济不稳定的机制作出解释,既吸收了现代经济学中的理性预期和动态分析的观点,也发展了马克思经济学对货币信用和金融发展的研究。

三、模型构建

发展中国家基本都经历了一个从金融抑制到金融自由化的阶段。金融的深化发展,促进了生产与流通过程之间的连续,推动了整个资本生产过程的循环,还扩大了市场空间,加深了经济金融的全球化,借助金融衍生工具甚至突破了资金的时空限制。当然,现实中金融过度的深化发展还带来了种种问题,比如流通中的矛盾被转移到金融体系、导致经济的虚拟化、脱离实体经济自我循环、播下了金融危机的种子。这些问题是伴随生产力进步和信用发展而出现的,有其存在的必然性和合理性。正如马克思所指出的,信用制度是“生产过剩和商业过度投机的主要杠杆……它事实上为生产造成了一种内在的但不断被信用制度打破的束缚和限制” 。因此,信用制度和信贷机制是研究金融不稳定的起点。在清泷信宏对信贷周期的研究中,固定资产同时可以作为抵押品,并引入资产价格,如果有负面冲击导致价格大幅下跌,抵押资产缩水会放大企业减少投资的幅度,最终会放大周期波动。

本文以清泷信宏提出的信贷周期模型为基准模型,在提出具有不同生产效率的异质性生产部门和内生信贷约束的基础上,引入代表金融发展的参数θ,这个因素代表了非价格因素对金融市场的干预和深化,表现为对信用扩张行为的约束程度,以此刻画金融发展与宏观经济的关联影响。

(一)模型设定

为了考察信贷系统如何影响资本分配和经济系统,参照清泷信宏文中的设定,固定资产发挥着双重作用,既是生产要素,也是贷款抵押物。经济体系中存在两个部门,高效率部门和低效率部门,每个部门都有无数个连续的代表性个体,所有主体每一个时期都从事生产,代表性个体的偏好采取对数效用的形式,即 ,且有w t i ≡y t i +q t k t -1 i -b t i ,其中β为折现因子,c t 为当期消费,w t 为当期财富,y t 为当期产出,q t 为固定资产价格,k t 为固定资产投入,b t 为债务金额。两个部门的代表性个体都投入生产,模型具体设定如下:

1. 高效率部门

代表性个体或企业被赋予一个类似尼科洛夫设定的生产函数,使用厂房、原材料等固定资产投入和劳动力投入进行生产。

其中:α为劳动生产率,x t 为劳动力投入,t-1代表了投入必须在生产进行的前一期就完成;σ为投入中固定资本所占份额。

高效率企业预算约束:

c t + x t + q t (k t -k t -1 )=y t + b t +1 /r t -b t (2)

其中:r t 为利率水平。方程左侧为支出项,q t (k t -k t -1 )为新增固定资产支出,方程右侧为收入项,即产出加上获得贷款的现值减去当期的债务偿还。

高效率企业信贷约束:

b t +1 ≤θq t +1 k t ,θ∈[0,∞)    (3)

由于无法承诺还款,投资者面临抵押限额的限制,债务额b t +1 不得大于其资产的市场价值q t +1 k t 。本文引入θ,解释为金融发展的程度,取值越大代表金融发展程度越高,金融市场越发达,由信息不对称等带来的金融摩擦也就越小,授信额度越高。

通过求解一阶最优条件可得:

其中:λ t 为预算约束下的拉格朗日乘数,μ t 为信贷约束下的拉格朗日乘数,h t t为高效率企业的收益率;u t 表示的是资本所有者t期提前收取的租金,即资产持有的机会成本。公式(6)说明了高效率企业的固定资产投入与劳动力投入之比等于固定资产投入份额乘以资产持有的机会成本加上自有资本相对价值变化与收益率变化之积的倒数。

2. 低效率部门

作为具有不同生产力的异质性代表,低效率部门中的代表性个体生产函数为:

其中:γ为低效率企业的劳动生产率,α>γ。同时个体企业的生产遵循马尔科夫过程。由于收益率低于高效率部门,且为借款者角色,故不存在信贷约束。

低效率企业的现金流约束为:

(二)均衡条件

经济系统中的代表性个体在生产技术和预算约束下最大化其预期效用。均衡条件包括商品市场出清、资本市场出清、信贷市场出清(B=B'即借出资金等于借入资金):

C+C'+X+X'=Y+Y'    (12)

B+B'=0    (14)

(三)数值模拟

1.参数设置

为模拟该经济系统运行情况,本文主要沿用Kiyotaki-moore模型相关研究文献的参数设置:将生产中的固定资产份额σ设定为0.5 ;根据尼科洛夫的设定,代表性个体变得低效率的可能δ=0.7,且n=0.03 ;依据拉比奇的设定将折现因子设为β=0.99,高效率个体的生产率设置为α=2,低效率个体生产率γ=1.5

2.稳态分析

下图显示了产出、消费、价格等变量的稳态水平是如何随着金融深化水平发展而变化的:

图1 产出

图1,产出水平随着金融发展而增加。金融深化发展的提高可以有效降低金融市场的交易成本,通过提高生产主体信贷供给水平来改变生产过程中的资源比例,提高资源的配置效率,从而提高产出。

图2 资产价格

图2,资产价格随着金融发展而提高。金融深化发展减少了信贷配给和信贷约束,信贷约束的弱化,使企业拥有更多的货币资金购买固定资产,扩大了固定资产的需求,推高了固定资产的价格。

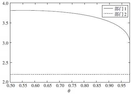
图3 劳动力投入与固定资产投入之比

图3,高效率部门的劳动力投入与固定资产投入之比大于低效率部门,不过随着金融发展,高效率企业的劳动力投入与固定资产投入之比不断下降,原因在于金融发展促使购买资产所需的预付资本减少,高效率企业购买固定资产的规模不断扩大。

3.脉冲响应分析

为考察外生冲击对经济系统的动态影响,本文考察了产出、消费、投资等主要变量对负面冲击的脉冲响应情况。下图具体显示了在总体生产率受到1%的意外和暂时的负面冲击后,主要变量的动态响应情况:

图4 产出的冲击响应

图5 消费的冲击响应

图4中显示了生产率冲击后,在不同金融发展取值下产出相对于稳态的偏差百分比。金融发展为0.5时,一个标准差单位的负向技术冲击导致产出当期同幅度下降后逐步回升到稳态水平,图5中消费当期同幅度下降后逐步回升到稳态水平。随着金融发展的取值增大,产出偏离的程度也在提高。当θ为0.97时,产出当期大幅度下降,之后逐步回升到稳态水平,消费当期同样大幅度下降后逐步回升到稳态水平,总产出、总消费以及总财富的偏离路径模式几乎是相同的。可见,金融发展程度越高,经济体受到的冲击最大,波动幅度也越大。

图6 高效率部门借款规模的冲击响应

图6,其他变量比如高效率部门借款规模的偏离路径也处于类似的模式,金融发展程度越高,冲击效应越显著。负向冲击降低了企业投资需求,融资规模相应减小,冲击效应随着时间的变化而逐渐衰减。这种脉冲响应动态体现了技术冲击的特性:技术冲击主要影响生产函数,负的技术冲击降低了要素的边际生产率,导致同期产出、投资和信贷流量的下降,表现为投资的大幅度降低以及信贷存量和产出的下降。

四、理论分析

(一)两种机制

1.资本集中

在这个经济系统中,分别对高效率部门和低效率部门的生产函数求偏导,可以得到两个部门的收益率分别为αu t 和γu t ,可知高效率部门的收益率高于低效率部门,在利润最大化的引导下,收益率的差异引致货币资本的流动。由于现代经济是依托信用制度发展起来的经济形式,投资与融资相当程度通过银行系统得以实现,因此对低效率部门而言,更乐于将货币资金通过金融中介借贷给高效率部门,以获得货币租金,而不是用于实现自身的扩大再生产和资本集聚。对于高效率部门而言,根据产业资本之间相互提供的商业信用以及广泛的银行信用,高效率企业可以通过抵押贷款机制取得扩大再生产所必需的初始货币资金,用以购买生产资料,其中购得的固定资产部分比如厂房、设备又可以进行二次抵押,获得更多的货币资金。可见,高效率部门的企业通过信用和竞争手段实现了整个经济系统的货币资金和生产资料在本部门的集中,这种通过金融中介手段吸收低效率部门的货币资金达成的资本集中,提高了高效率部门乃至整个经济系统的资本积累水平。

这种根源于生产力异质性的资本集中机制,在生产日益社会化的条件下,借助信用机制和金融体系逐渐成为加速资本积累和扩大生产流通的关键环节。在这个资本集中的环节中,伴随着金融深化发展,θ取值不断增大,信贷约束也持续软化,企业预付资本减少,固定资产通过抵押可以获得更多的信贷资金。这种借助信贷资金实现的资产规模扩张,必然也是债务不断积累的过程,一旦集中起来的信用成为资本积累的手段,如达利欧所述的“债务增长被用来支撑那些可使收入快速增长的经济活动” ,金融体系就开始对产业资本进行渗透和结合。当经济系统中的主要生产关系转化为债务债权关系时,为了攫取更大的利润分配份额,金融资本不仅仅会通过推动技术革命等手段进行生产积累,而且会尝试通过资本寻租、金融投机、资产证券化、资本虚拟化等途径实现自身的积累。也就是说,伴随生产资本的集中,在利益最大化的驱动下,信用制度会从支持生产向支持虚拟资本交易偏移,金融资本从“生产性积累”向“寄生性积累”偏移,最终发展成为金融不稳定的一个重要根源。

根据以上论述,高效率部门在资本集中机制下,通过金融中介积累了规模庞大的资产和负债,这必然会引起资产价格的波动。现代金融制度下,资产的交易是以预期现有资产的某种变化为前提的,完全可以与现实的生产无关,它们的市场价格如马克思所言“不是由现实的收入决定的,而是由预期得到的、预先计算的收入决定的”。由于高效率部门资本构成不断提高,企业利润水平降低,投资减少,资本品投资减少加剧供需矛盾,导致资本品的预期价格或租金降低。这种逻辑会延伸至未来各期,形成一种包含预期的动态机制,这种动态机制使得产业资本再生产领域积累的大量债务面临巨大的清偿压力。企业会尝试抛售资产,一方面减少因价格下跌带来的资本贬值损失,另一方面抛售的资金可以缓解清偿压力,如此导致了产业规模和生产投资的进一步萎缩。相对繁荣时期的债务膨胀,资产价格的崩盘使得整个产业体系进入了大规模的清偿阶段,原本加速推动资本集中的θ,就成为推动债务通缩的放大器。资本集中之所以具有这种预期自我实现的动态效应,既取决于企业的净值、投资需求、租金和价格的互动关系,更在于单个部门集聚了大量社会资本、具备了一个庞大的资产规模。高效率部门的净值一旦缩水,就会触发整个经济系统的资产价格下跌预期。这种跨期动态效应包含预期的自我实现机制,可以累积并放大未来各期的冲击,是一种纵向的动态效应,决定了经济波动的持续性。

2.资本再分配

通过对模型一阶最优条件进行整理,可得到两个部门的资本构成比,即k t /x t 。首先分析高效率部门,可求得生产企业固定资产投入与劳动力投入构成之比为:

u t 表示的是资本所有者t期提前收取的租金,就是说ut也可以理解为持有固定资产的机会成本,因为在模型运行中固定资产持续流向高收益的部门,其机会成本可以视为不变。在资本集中的过程中,利率水平r t 不断上升,h t 作为高效率企业的收益率不断下降。在金融发展水平θ值不断变大的情况下,为了保证方程恒等,方程左侧资本构成k t /x t 也必须不断增大。其次,低效率部门的资本构成比例为: ,低效率部门将资金投入高效率部门,原因在于再生产循环完成后并不会扩大生产规模,甚至会缩小生产规模,即技术不变的情况下k t '和x t '同比例减少,其比值不变。可见金融深化发展下,1-θ的值不断减小,进而高效率部门的k t /x t 值不断变大,由此带动整个经济系统的资本构成不断变大。即由于抵押贷款机制的存在,它会减少购买资产的预付资本,并驱使企业在获得贷款后更倾向于购买固定资产,从而在技术不变的条件下,调整k与x的投入比例,改变生产资料在两个部门的分配情况,形成资本的再分配机制。

这种资本再分配机制,形式上表现为各部门k t /x t 的比值变化,其中“k t ”为固定资产的实物数量,“x t ”为包含劳动力的投入数量,尽管与马克思定义的资本技术构成在物质构成上有差异,但是k t /x t 比值的提高符合马克思所定义的劳动生产率的提高总是表现为工人劳动的具体方面加工了更多的生产资料。模型中通过调整生产资料在全社会各部门的配置,优化生产过程中的技术比例,使得资本构成随着金融发展水平的加深而不断提高,表现出金融发展对经济、技术的促进作用。同时,这种由金融发展驱动的资本构成提高,部分产生于信用所创造的虚假需求上,并不是完全取决于社会实际需求。也就是说生产资料向高效率部门的流动导致高效率部门资本构成不断提高,除了由于生产所需的资本品数量外,还会在信用关系创造的虚假市场信号条件下,不断提高投资水平,突破正常的生产资料比例要求,最终会出现类似资本相对过度积累的问题,进而可能破坏再生产平衡的实现条件。换言之,在信用机制下实现的kt/xt比值的增加,容易表现为“诱人的高额利润,使人们远远超出拥有的流动资金所许可的范围来进行过度的扩充活动”,而这种活动落入了马克思所批判的“生产的扩大或缩小,不是取决于生产和社会需要即社会地发展了的人的需要”。

该经济系统中的高生产率企业在面临利率不断上升、利润率不断下降的情况下,资产价格的下跌预期会引致资产净值下降,由于其财务杠杆较高,现金流下降更快,从而面临的信贷约束更紧,企业被迫削减对资本品的投资。为保证市场出清,当期资本品供给缺口必须由低效率企业的资本品投资需求增加来弥补,反映在公式中就是负向冲击时,k t 不断减少,而低效率企业的k t '反而会增加。由于资本品的价格是资本化的租金,低效率企业持有的资本品越多,会相应要求资本品价格(持有的机会成本)进一步下调。价格的降低导致高效率部门的资产贬值,进一步减少持有的固定资产,形成了逆向的资本再分配循环。这种低效率的逆向再分配,还会波及经济系统各个组成部分:金融机构清理资产负债表可能会触发中小企业的破产清算;实际工资的停滞、失业的增加会将福利损失转移至工人阶级;国家的干预、最后贷款人角色的履行比如注入流动资金、接管金融机构等等,这些举措实际上代表了冲击已经扩大到整个社会层面,表现为“损失的社会化”。也就是说,资本在空间上的再分配会产生一种静态效应,对冲击起到了横向放大作用,决定了经济波动的规模。

(二)金融不稳定框架

根据金融发展两种机制的二重性,以及在冲击下的不同效应和表现形式,可以构成金融不稳定的运动过程和分析框架,如图7所示:

图7 金融不稳定框架

金融的深化发展,通过构建和完善金融市场、降低信贷市场信息不对称程度、减少金融摩擦,放松生产部门的信贷约束。抵押贷款机制的存在,既解决了生产循环中预付资本的问题,又在扩大再生产的冲动下,加速了生产资料在高效率部门的集中,这个过程既是资本在不同部门的再分配,同时也是资本向高效率部门的集中。资本再分配机制使得所有经济部门都进入到资产数量和价格的调整中,不断优化资本投入比例直到经济系统形成新的稳态为止;资本集中机制所具备的动态效应,又使得资产价格处于上升通道,乐观的预期形成了经济发展的正反馈。但是在资本积累、经济发展的背后,由于资本集中和资本再分配的二重性,以及对信用手段和金融中介的依赖,一方面导致产业资本和金融资本的联合,金融资本的逐利性会使得资本从生产性积累向寄生性积累偏移,进而产生过度金融化甚至垄断金融资本等问题;另一方面导致生产比例的失衡,由信用所创造的虚假需求推高了生产过程中的资本构成,不仅带来了效率损失,也埋下了再生产循环实现的矛盾和危机。

可见,金融发展具有天然的不稳定性。这种内生的不稳定性集中表现在金融发展的两种机制在推动资本积累和激化资本主义内在矛盾的交锋上:金融发展加速了整个经济系统的资本积累,表现为高涨的资产价格和不断扩大的生产规模,同时也掩盖了虚拟资本扩张、金融寄生性积累、金融资本驱动的生产比例失衡等问题。伴随金融经济的不断发展,资本主义生产过程中的内在矛盾也在不断激化:一是信用无序扩张导致生产过程中劳动力投入份额增速低于资产份额的增速,资本构成不断提高;二是为了追求利润,金融资本从生产性积累异化为寄生性积累,大规模的资本投资、虚拟资本交易使得货币资金游离于生产体系之外;三是由信用扩张导致的投资加速,掩盖了经济系统的真实需求,加剧了价值生产和价值实现之间的矛盾。因此,金融不稳定的后果并不是仅仅表现为明斯基所言的资产价格体系的无以为继,而是更深层次的由资本主义内在矛盾触发的经济危机。

更为重要的是,本文所论证的金融不稳定,是内生于生产过程中的。生产力异质性带来的效率高低,促使资本在部门和产业间的不断流动和调整,现代经济运行中扩大再生产需要的预付资本投入依赖于信用制度和信贷市场的存在。因此,生产资料从低效率部门流向高效率部门、货币资金追逐更高的收益构成了金融不稳定的动力,信用制度和金融发展则成为金融不稳定的放大器,即金融发展本身具备的资本集中和资本再分配机制是金融发展影响宏观经济的主要渠道,这两种机制所具备的动态和静态效应从时间和空间两个维度放大了金融与经济的关联影响。所以说,根源于生产因素的金融不稳定才是与明斯基金融不稳定假说的最大区别,生产力的发展既是金融不稳定的原因也是它的结果,投机狂热只是不稳定的外在表现。也正因为金融不稳定的这种客观存在性,对金融不稳定机制、效应的解构和控制才是克服金融深化发展所带来的弊端的有效措施。

五、结论

本文在清泷信宏的信贷周期模型之上,引入金融发展参数模拟了市场经济环境下信贷运行的理想状况。首先,通过对模型稳态和冲击下的脉冲响应分析,发现稳态下金融发展促进了产出、消费、投资增加的同时,又增大了产出对冲击的弹性,不同金融发展程度取值产生的冲击放大作用差异显著,说明了在经济金融系统中,实际产出和金融深化发展之间建立的是弹性关系,可见这种弹性关系才是金融发展在信贷机制下演进为系统性风险的重要因素。其次,在马克思经济学框架下对这种增长和冲击放大效应进行了机制分析,提出金融发展过程中的资本集中和资本再分配是金融发展与经济运行最基础的关联机制,两者分别具有的动态、静态效应,从时间和空间两个层面放大了经济系统的冲击。最后对金融不稳定内生性进行分析,发现在资本积累过程中,金融的自由发展会导致信用虚假信号下的资本过度集中以及资本构成比例的失衡,产生金融资本寄生性积累等问题,也就是说金融不稳定就是从资本积累或者扩大再生产过程中获得内生动力,也会在这个发展过程中不可避免地对经济结构和系统造成金融脆弱和不稳定,即金融发展并不会消除资本主义的根本矛盾,反而会加速这一过程。

现实的经济系统是一个多重、复杂的互动网络,生产过程中累积的不确定因素与信用的投机因子之间天然地相互吸引,其中的任何因素在任何环节的变化,都会触发不确定性和投机活动之间的相互作用。金融不稳定是内生的,其中一个政策含义就是新自由主义并不可取,自由放任的金融发展环境不仅增加了不确定性,也助长了普遍的不稳定性。党的二十大报告明确指出要“依法将各类金融活动全部纳入监管,守住不发生系统性风险底线”。因此只有提高金融业与实体部门的发展适配性,引导金融资本与实体经济的有机融合,通过调整社会资本的集中程度,优化经济系统的资本构成比例关系,才可能真正控制住金融的系统性风险。所以说,金融的深化发展,应该是通过放松和解除金融市场的一些行政管制措施,消除信贷资金配置扭曲,减少金融交易成本和金融摩擦,为金融交易提供一个宽松的管理环境,而不是一个自由环境。 ppeVUi+opOnArK8zPX6sWZFGxiPsnX5ef4duLVBYiiOC/nuOQ+SNMiKhE+beCoSo

点击中间区域
呼出菜单
上一章
目录
下一章
×