



多项式
此多项式可以由如下微分定义
若-1≤ x ≤+1,勒让德多项式是勒让德方程
的解。勒让德多项式的归一化因子为
勒让德多项式有两个性质:
a)正交完备性
b)递推关系
l 阶多项式可以由如下递推关系得出
由此我们可以得到勒让德多项式的前几项为
勒让德多项式的另一个定义式为
等式左边被称为“母函数”,右边的多项式为母函数按 r 的级数展开得到的,其限制条件为 0< r <1,勒让德多项式就是右边多项式的展开系数。
我们可以用勒让德多项式来构造球函数 (又称为“球谐函数”或“球 面调和函数”) 。其定义式为
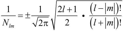
其中
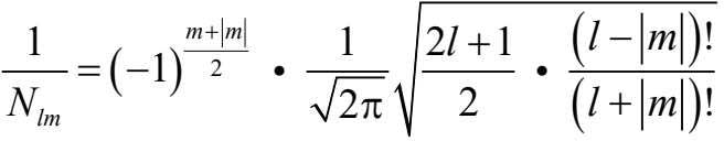
对于 m ≤0,上式符号取+;对于 m > 0,上式符号取(− 1) m 。或者我们可以把它统一写成
球函数的归一化方程为
这也体现了球函数的正交性。
球函数的微分方程为
其中,∧为拉普拉斯算符的角向部分。
球函数具有如下性质
球坐标
下完整的拉普拉斯算符为
注意: 任意函数都可以按球函数展开为
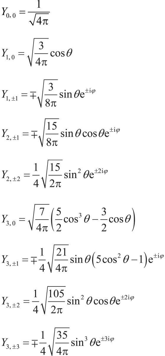
下面给出球函数的一些特殊值