



我们知道线性谐振子的势能为
于是可以写出薛定谔方程
为了方便求解,我们定义两个参数
代入后,原方程变为
假设薛定谔方程的解有如下形式
将该形式的解代入方程,得到
“薛定谔的猫”是由奥地利物理学家埃尔温·薛定谔提出的思想实验。实验假设一只猫被放在一个装有少量镭和氰化物的密闭容器里。如果镭衰变,氰化物会被释放,猫就会死亡。根据量子力学理论,由于镭处于衰变和没有衰变两种状态的叠加,猫也理应处于无法观测到的生与死的叠加态。这个实验不是为了描述实际情况,而是用来说明量子力学在理论和实践中的一些难题,特别是与测量和观察者效应相关的问题。图为“薛定谔的猫”实验示意图。
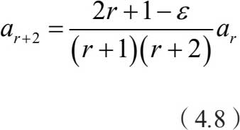
我们猜测方程的解是一个关于 ξ 的级数,即
将猜测级数的解代入方程后,我们得到系数的递推关系
这表明存在两组独立的解,分别是为奇数的情况和为偶数的情况。只有当条件
满足时,才会得到
在这种情况下,无论是奇数还是偶数,方程的解都可以表示成厄米
多项式的形式
厄米多项式的一般表达式为
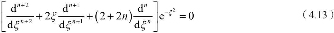
证明: 将表达式代入方程,可以得到
此方程和如下方程是等价的
对于 n =0,我们验证它是满足上述条件的,然后由归纳法,我们发现对于 n =1,2,…,方程都是满足的。这证明厄米多项式就是方程的解。
下面我们给出几个厄米多项式的性质:
a)递推性质
证明: 把方程中的最低幂次改为 n −1,则与上式等价。
b)归一化性质
证明: 利用归纳法。当 n =0 时,等式是成立的,利用式(4.11)和式(4.14),可以得到递推公式
由此递推公式,利用归纳法,便可以得到归一化性质。
c)可积性
证明: 对于 n =0 的情况,证明是非常直接的;而对于 n >0 的情况,考虑到并使用归纳法,也很容易证明以上性质。
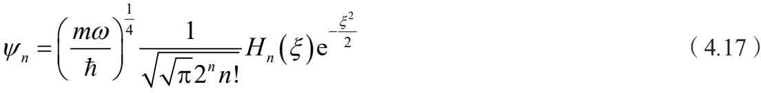
综上所述,我们可以得到:线性谐振子的归一化本征函数为
其中
解得本征能量为