



我们已经知道相速度的表达式为
这个方程描述的是一个单色波,其满足方程
此方程的解为 [1]
由于单色性的要求,我们需要固定 ω 为常数。
把解代入波动方程,可以得到
将表达式(2.1)代入(2.2)式,得到
由方程的解我们知道有如下的代换关系
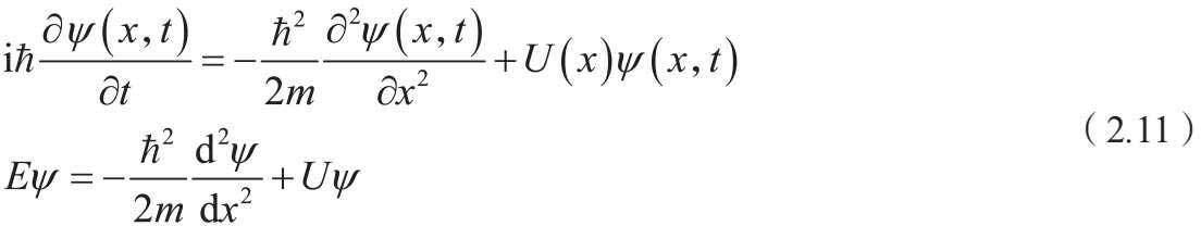
于是得到了含时薛定谔方程
整理后,可以得到
其中,要注意
是一个复数。
若方程的解是式(2.2),则我们得到的方程就叫作“定态薛定谔方程”
只有能量为定值
E
=
ω
的态才满足此方程。
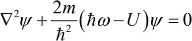
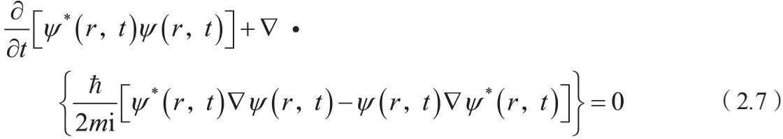
薛定谔方程(2.4),存在连续性方程。我们首先写出薛定谔方程的共轭方程,对方程两边取复共轭,得到
将方程(2.4)左右两边同时乘以
,方程(2.6)左右两边同时乘以
后,将得到的两个新方程相减,可以得到
对于方程(2.7)中的物理量,我们给出一种非常有前瞻性的解释
(2.8)式的这种解释决定了
应该满足
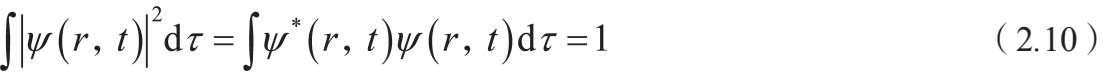
其中,d τ 为空间的体积元。上式表示,体系在空间各处出现的概率相加应该是 1。
若要方程(2.10)成立,则需要满足以下条件:
a)在奇点附近,
的增长速度要比
慢;
b)在无限远处,
趋于 0 的速度比
快。
违反条件b)的情况将在后面提到。
下面我们举一些特殊的例子。
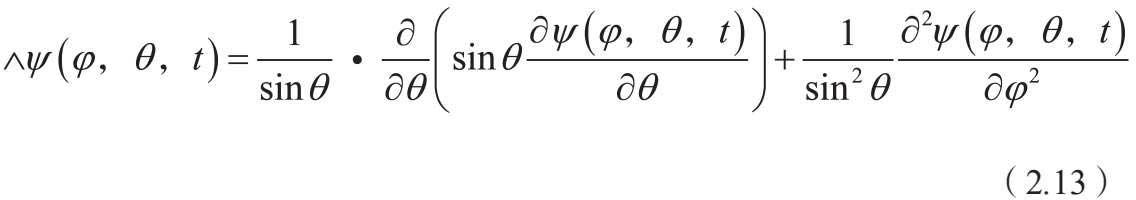
我们先定义记号
∧表示球坐标系中拉普拉斯
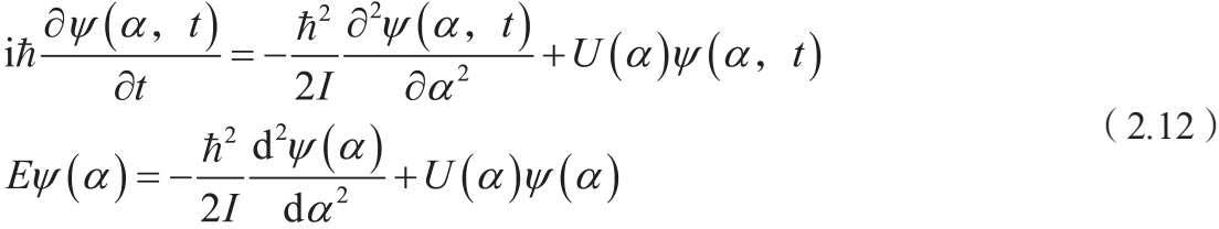
算符的角向部分。这种情况下的薛定谔方程为
其中 I 为转动惯量,若是一个质点,则 I = mr 2 。
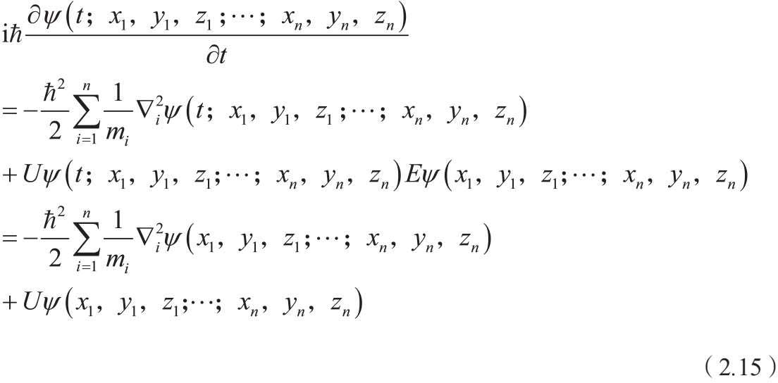
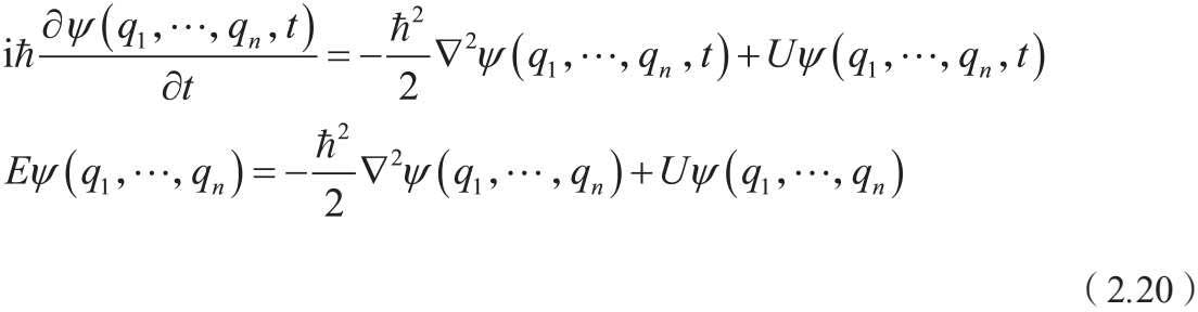
我们可以把波函数写成 n 个质点坐标的函数,即
此时薛定谔方程为
我们可以用广义坐标写出动能的普遍形式
这里使用了“爱因斯坦求和” [3] 规则,即对相同的上下标进行求和。
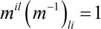
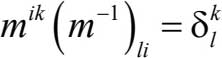
由求和规则,我们可以定义
右边为δ,这表示:只有当
k
=
l
时,
=1;当
k
≠
l
时,
=0。所以当
k
=
l
时,我们得到
由逆矩阵的性质,我们知道
其中,adj( m li )表示矩阵元 m li 的代数余子式,分母为矩阵的行列式 [4] ,我们将其记为
最后得到方程
此时体积元可以写成
体系的薛定谔方程为
[1]
原书采用
u
表示空间部分的波函数,现多用
ψ
(
r
)表示,简写为
ψ
。(
r
)完整的波函数会写明自变量,即
。后面的推导都使用此套记号,不再做特殊说明。
[2] 原文使用 A 作为转动惯量,按照现代习惯,改用 I 表示转动惯量。
[3] “爱因斯坦求和”指的是同一代数项中若有两项指标相同,且一个是上指标,一个是下指标,那我们就把它们自动求和。比如我们把一个矢量 A 写成分量形式 A = A 1 e 1 + A 2 e 2 + A 3 e 3 ,使用“爱因斯坦求和”规则就可以将其简写为 A = A i e i 。求和指标 i 被称为“哑指标”,因为它只表示求和,没有实际意义,我们也可以把矢量写成 A = A j e j 。
[4] 严格来说,这里应该写成det( m ),因为是矩阵行列式,而不是矩阵元的行列式。