



〔1〕原稿使用 W 表示能量,本书按现代习惯多用 E 表示能量。
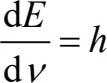
在光学系统中,频率和能量的关系为
我们将在后面对其进行证明。
我们首先考虑这个类比:物体的运动轨迹=光线的路径。
物体的运动轨迹可以由莫培督原理(Maupertuis’s principle)确定。莫培督原理
(又称为“最小作用量原理”)
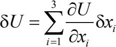
告诉我们:对于一个满足能量守恒的力学系统,其能量为
E
,势能为
U
,它将沿着作用量取极小值
的轨迹演化。举个例子,如果有一个质量为
m
,速度为
v
,势能为
U
的质点,它想从空间中任意一点
A
运动到任意一点
B
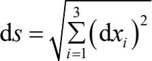
,在这两点间,质点有无数条路径可以选择。我们把作用量定义为
其中,d s 表示无限小位移。计算每一条路径的作用量后,我们发现,真实情况下质点所选择的那条路径的作用量,是所有路径中最小的,即物理定律要求
其中min表示取极小值。
而光线的路径是由费马原理(Fermat’s principle)确定的。费马原理指的是空间中有任意两点 A 和 B ,我们从 A 点发射一束光,这束光经过一系列介质,不断被折射、反射后到达了 B 点。从 A 到 B ,光可以选择无数条路径,真实情况下光所选择的路径,是所有路径中长度最短 (或 者说消耗的时间最少) 的那条,即
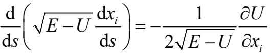
对作用量做变分,我们得到
d s 表示三维空间中任意小的一段位移,容易知道
所以其变分为
同样可以求得势能的变分为
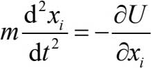
代入方程,做一次分部积分后,我们就可以得到极值方程
利用等式
代入可以得到
这正是物体的运动方程,即我们可以从莫培督原理得到物体的运动轨迹。
皮埃尔·德·费马(Pieme de Fermat,1601—1665年),法国律师,业余数学家。他一生中从未受过专门的数学教育,却在解析几何、微积分、数论等多个数学领域有重大贡献,例如费马定理、解析几何的基本原理等,堪称“17世纪法国最伟大的数学家”,并享有“业余数学家之王”的美誉。
从费马原理出发,我们可以得到
这表明,光线会走波长数量为极小值的路径。从波动光学的角度来看,这时光波是不动的,对应于干涉加强。
由公式(1.1)和(1.2)我们可以知道,如果等式
成立 [其中 f ( ν ) 和 E ( ν ) 暂时被认为是频率的函数] ,那么我们就可以推出“物体的运动轨迹=光线的路径”这个结论。
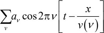
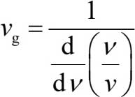
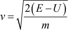
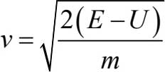
我们可以从下面的等价关系中推出 f ( ν ) 和 E ( ν ) 的具体函数形式,即质点的速度
等价于波包的群速度
波包可以写成一系列频率相差很小的简谐波的叠加
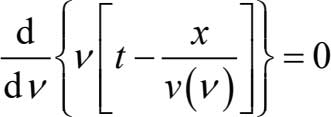
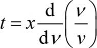
如果所有的 a ν > 0,叠加波在 x =0和 t =0时为主极大。现在若要确定任意 t ≠0时波包的位置,只需要确定其极大值的坐标即可。波包处于极大值处要求
解得
我们可以把它看成
,故得到群速度的表达式
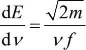
由之前质点速度 v 等于波包群速度 v g ,我们得到
再把等价条件(1.4)代入,得到
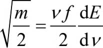
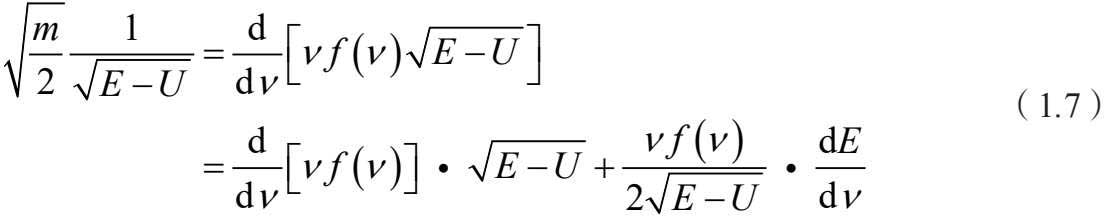
其中 U ( x )随着位置的变化而变化,是一个与频率 ν 无关的量。用量纲分析法比较上式两边的量纲,我们发现等式成立的条件为
解得 ν f 为一常数。
将等式成立的条件代入(1.7)式后得到
由此推出
这是一个常量,我们令
解得
其中 C 是“常数”的意思,即单词“constant”的首字母。因为能量都是相对值,所以我们可以恰当地选择能量的零点,使得 C =0,最终得到
计算得到相速度的表达式为
它决定了各处的折射率和色散关系。
若改用角频率,我们知道
同时引入
最终结果为
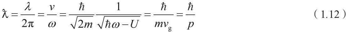
再引入一个新的物理量
我们称
为“德布罗意
波长”(de Broglie wavelength)。
德布罗意提出了波粒二象性的观点,他告诉我们,任何物体既可以从粒子的角度来描述,也可以从波的角度来描述。故我们可以通过物质粒子的衍射实验来确定物质波的长度
λ
,进而得到
h
或
的数值
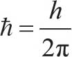
我们把
h
称为“普朗克常数”,
称为“约化普朗克常数”。