



这节我们要求解本征值问题。我们可以把这个问题描述为如下方程的求解
其中,
是线性算符,
a
是一个数,
ψ
是函数。即我们需要寻找一类函数,当算符与其作用后,得到的只是这类函数与一个数的乘积。我们把这类函数称为这个算符的“本征函数”。
我们通常认为这类函数应该满足正交性和单值性。对于函数
ψ
有标准限制,我们要求
ψ
在任何地方
(包括无限远点)
都是有限值。在有界区域中
(如一条线段)
,边界条件要求
ψ
在边界处为零值。一般而言,方程仅对
a
的某些特殊值有解。我们把
a
称为算符
的“本征值”,写成方程形式就是
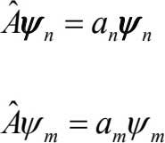
其中, a n 表示第 n 个本征值, ψ n 表示第 n 个本征函数。
举个例子,与时间无关的薛定谔方程为
我们可以把
看成一个算符,
E
就是这个算符的本征值,而
ψ
就是对应的本征函数。
首先,我们要考虑简并的情况。若每个本征值只对应于一个本征函数 (除了常数因子情况外) ,则我们称之为“非简并系统”。相反,若每个本征值对应于两个、三个甚至多个本征函数,我们称这个本征值是“简并的” (二重简并、三重简并等) 。
下面探讨一下本征函数的正交性。假设方程中所有的本征值为
(本征值彼此重合的个数我们称之为“简并度”)
,相对应的本征函数为
。若选取算符
为系统的能量算符,根据第 9 讲的内容,则我们知道方程中的
ψ
n
组成了一个正交函数系。
我们定义函数 f 和 g 的标量积
其中,积分号根据函数 g , f 的性质来确定:若函数是一维的,则积分号表示一维积分∫d x ;若函数是三维的,则积分号表示三维积分∫∫∫d x d y d z ;若函数是离散的,则积分号表示对所有的离散点求和,即∫=∑。需要注意的是
接着我们定义正交关系:当
时,函数 g 和 f 是正交的。
下面给出一个思考题:在什么情况下,对应于不同本征值的本征函数是彼此正交的?
答:它的充要条件是:算符
是一个厄米算符。
什么是厄米算符?满足以下关系
的算符
可称为“厄米算符”,或称为“厄米的”。
下面举几个厄米算符的例子
这些算符只有在满足相应的边界条件后才会变成厄米算符。
引理一
若算符
是厄米的,则
是一个实数。
证明 由厄米算符的定义我们知道
得证。
定理一
若算符
是厄米的,则它的本征值都是实数。
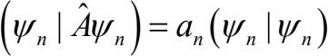
证明 我们已知
等式两边同时和 ψ n 进行左标量积运算,得到
利用引理一,得出
得证。
定理二
若算符
是厄米的,且
a
n
≠
a
m
,则相应的本征函数
ψ
n
和
ψ
m
是正交的。
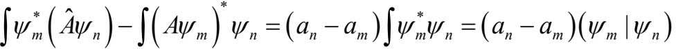
证明 对两个本征函数,易知有
由于 a m 是实数,对式子取复共轭后得到
两个本征函数分别左乘
,然后把得到的两个方程相加,得到
由于
是厄米算符,等式左边等于 0,因此
当 a n ≠ a m 时
得证。
准定理一
如果对所有的函数
f
,标量积
都是实数,则算符
是厄米算符。这个准定理也可以看成引理一的逆过程。
准定理二 如果对所有的 a n ≠ a m ,其相应的本征函数的标量积
则算符
是厄米算符。这个准定理可以看成定理二的逆定理。
对于正交归一化的本征函数,若算符
为厄米算符,其本征值为
相应的本征函数为
当 a r ≠ a s 时, ψ r 和 ψ s 是正交的。
如果是简并的情况,则按照第 9 讲的内容处理。
现在考虑归一化的问题。要把函数归一化,只需要把每个
ψ
n
除以
即可。得到的所有新的函数依然满足正交关系
准定理三 任意的函数 f 可以按本征函数 ψ n 展开
其中
或者我们可以等价地写为
若展开式对所有函数都成立,则我们称之为“正交完备归一基”。
定义
算符
对于函数
ψ
的平均值
为
举个例子,如果算符为
=
x
,函数
ψ
已经归一化,那么
因此,计算
x
平均值的统计权重为
。
定理三 厄米算符的平均值是实数。
这可以由引理一和公式(11.16)推导出。
准定理四 若一个算符对所有函数的平均值都是实数,则该算符是厄米算符。这个准定理可以很容易通过公式(11.15)得到证明。
我们将在后面证明这些准定理的可靠性。
下面我们要介绍一个非常重要的内容:狄拉克δ( x )函数。
δ函数是一类特殊的函数,当积分区域包含 x =0 的点时 (见图9) ,有
若积分区域不包括零点,则
我们可以通过极限来构造一些δ函数
图 9 δ函数示意图
或
还有很多别的定义方法。
δ函数有如下基本性质
将(11.21)两边对 a 求导,得到
注意!使用这个性质的时候要谨慎一些!
我们现在考虑δ函数的傅里叶变换
我们也可以做和表达式(11.15)类似的操作,把δ函数按照本征函数展开
考虑到δ函数的性质(11.21),我们可以得到