



对于不含时的波函数 ψ ( x ),满足定态薛定谔方程,我们可以得到两个方程
第一个方程乘以 ψ k ,第二个方程乘以− ψ l ,然后两式相加,得到
等式两边从 a 到 b 积分,得到
当
x
→±∞时,一般情况下
。因为定态波函数在全空间需要满足归一化条件,若无穷远处波函数不为 0,会导致积分发散而不满足归一化条件。
现在我们令 a →−∞, b →+∞,即对一维的全区域进行积分,就会得到
说明: 我们也可以考虑其他类型的边界条件。如周期运动[周期性边界条件为 ψ ( x )= ψ ( x + T )]
受限制的区域运动 (在区域的两端 a 和 b 是无限高势垒)
一般情况下,方程可以写为
这表示对需要求解的全区域进行积分。
当 E k ≠ E l 时,为了使方程成立,我们得到
它的含义是两个波函数的内积为 0,即表明波动方程的两个独立的解是彼此正交的,这就是波函数的正交性。
在一维问题中,通常每个能量本征值都对应于一个解 (除了常数因 子情况) 。对于已经归一化的本征函数,有
这是波函数正交性的完整表达式。
任意一个连续函数可以按本征函数展开成级数形式,其展开式为
这种情况和一维情况的推导类似,我们先写出两个薛定谔方程
第一个方程乘以 ψ k ,第二个方程乘以− ψ l ,然后两式相加,得到
将方程(9.12)沿着封闭曲面
σ
所包围的三维空间
τ
进行积分,
n
为曲面的外法线矢量,应用高斯-奥斯特罗格拉茨基
定理,得到
一般来说,在积分区域 τ 的边界 (即曲面 σ )上,波函数 ψ k →0, ψ l →0,将其代入,我们得到
当 E k ≠ E l 时
如果每个能量本征值只有一个本征函数与之对应,我们称此时系统是非简并的。将本征函数归一化后,我们得到
这个关系式体现了非简并系统归一化本征函数的正交性。
在这种情况下,我们也可以选取希尔伯特
空间中的独立基矢使得关系式成立。
需要注意的是:薛定谔方程是波动方程,是一个线性微分方程,它的解满足叠加定理,即若一系列本征函数 ψ i 都对应于相同的本征值 E ,则由这些本征函数的线性组合所得到的函数依然是原方程的解,且对应于相同的本征值 E 。
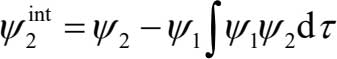
举个例子,设
波函数 ψ 1 本质上不等于 ψ 2 ,我们将 ψ 1 归一化为单位矢量,令
取一个中间函数,其满足
则函数
与
ψ
1
是正交的。下面给出证明过程
利用这些结果,我们令
等于归一化的
于是,得到了一套新的正交归一化的本征函数。
结论: 即使系统是简并的,我们依然可以且方便地以这种方式选取基矢,并满足本征函数的正交性。
类比公式(9.9),我们可以得到三维情况下的展开式
这里有几个需注意的要点:
a)一套本征函数需要满足完备性;
b)复数解在这里的作用非常关键;
c)依赖于时间的薛定谔方程的解。
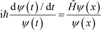
完整的薛定谔方程为
哈密顿
量一般只和位置有关。我们简单地认为波函数的空间分量和时间分量是可以分离的,即
实验证明,在大多数情况下,这样的分解都是对的。将其代入薛定谔方程后,我们得到
两边同时除以 ψ ( x ) ψ ( t ),得到
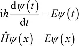
令它们都等于一个常数 (记为 E ),则我们得到
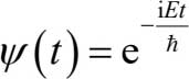
上式即为定态薛定谔方程。求解方程,我们得到
所以在求解一个系统时,我们只需要求解定态薛定谔方程,用得到的解乘以上面这个含时因子,就可得到含时薛定谔方程的解。
含时薛定谔方程也是线性微分方程,故它的通解可以表示为全体特解的线性叠加,即
其中,| c k | 2 的意义为波函数 ψ k 出现的概率。