



在本章中,我们将求解氢原子的波函数。由于核外电子质量相对于原子核来说很小,所以可以忽略原子核的运动。同时,经简单计算后我们发现,可以使用电子质量 m 代替折合质量。
在氢原子问题中,电子只受原子核的库仑
力,其库仑势能为
对于氢原子,原子序数 Z =1,径向波函数所满足的方程此处可以写为
引入变量
代入(8.2)后得到
对于 E > 0的情况,方程中取“+”号;对于 E < 0情况,则方程中取“-”号。令
我们用图像的方式来分析一下 g ( x )的性质,见图 7。
图 7 函数 g ( x )的图像
当 E < 0时,若 x →∞,方程的解有一个渐进趋势
由于波函数在
x
→∞时应该为有限值,所以我们需要舍去
的解。由于这一附加条件的要求,我们要调整对系统的限制,此时系统的能量
E
只能取分立的值。
氢原子即氢元素的原子。其模型是电中性的,原子含有一个正价的质子与一个负价的电子,皆遵守库仑定律而被束缚于原子内。1913年,尼尔斯·玻尔(Niels Bohr,1885—1962年)成功计算出氢原子的光谱频率,但由于它保留了过多的经典物理理论(牛顿第二定律、向心力、库仑力等),故无法运用在其他原子光谱的解释上,直到薛定谔方程的出现,才以严谨的量子力学分析,清楚地解释了玻尔模型正确的原因。图为氢原子的结构示意图。
当 E > 0时,若 x →∞,我们可以得到方程的解
或
当 x →∞,时没有任何边界条件的限制,所以所有满足 E >0 的能量都是允许的。
下面我们考虑能量为分立值的情况。假设 E < 0,这时方程为
我们猜测方程有如下形式的解
其中, y ( x )表示一待定的函数。将其代入(8.5),得到
这个方程在 x →0时有两个解,分别为
其中,第二个解 y = x - l 对应的波函数为 ψ ( x ) ∼ r − l − 1 ,当 l ≥ 1 时,它在原点处的归一化是发散的,因此我们舍去这个解。当 l =0时,我们也要舍弃这个解,因为此时
并且
此解在原点有奇异性,但是在势能中没有这样的奇点!
因此,我们只能取 y ( x →0)= x l + 1 。所以我们猜测,被允许的解应该满足如下形式
将其代入方程(8.7)后,我们发现级数的系数满足一个递推公式
一般情况下,表达式(8.8)应该是一个无穷级数,因为当
x
→∞时,
y
(
x
) →e
x
,此时波函数
,它在无限远处非常大,是发散的。而只有当
A
取一些特殊的整数值时,即
我们才能得到可以接受的解 (其中 n' 为非负整数) 。此时,无穷级数退化为多项式。由式(8.10)和(8.3)我们得到
我们把 n 称为“主量子数”,把 l 称为“角量子数”。
对于氢原子来说,我们可以把能量写成 [1]
其中
我们将其称为“里德伯
常量”(Rydberg constant),它的下标之所以是∞,是因为我们此时考虑的是原子核不动的情况,而只有当原子核质量为∞时,它才可能不动。
由公式(8.9),我们可以把级数解用拉盖尔
多项式表示。首先介绍一下拉盖尔多项式,
k
阶拉盖尔多项式的微分表达式为
我们可以计算它的一些低阶项
现在我们令
则拉盖尔多项式可以写成
容易证明关系式
是成立的。对它进行 k +1 次微分,可以得到
由拉盖尔多项式的定义,我们知道
代入方程(8.16),得到
这就是拉盖尔微分方程。
对方程(8.12)做 j 次微分,得到
再对式(8.18)做 j 次微分,可以得到
于是可以得到拉盖尔多项式的归一化条件
这就是径向方程(7.5)的解。
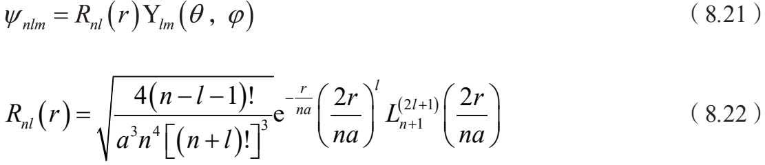
现在我们就可以完整地分析氢原子的问题,同时考虑其波函数的径向部分和角向部分。通过之前的求解,我们可以得到氢原子的薛定谔方程的解为
其中
当
Z
=1时,我们把
=0.529 177 210 903 80×10
−8
cm 称为“玻尔半径”。
(注意:这是原子核质量为
∞
的情况。)
我们具体计算几个本征波函数的值。原子态 1s表示量子数取 n =1, l =0, m =0, m 为磁量子数,它是角动量在 z 轴上的投影,只能取分立的整数值,即
此时的波函数为
态 2s表示量子数取 n =2, l =0, m =0,波函数为
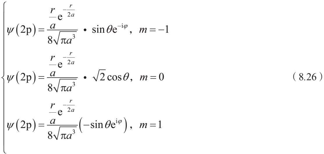
态 2p表示量子数取 n =2, l =1, m 可以取 3 个值,分别为 0,-1 和 1,所以此时有 3 个波函数
注意: 态s的波函数是唯一一个满足 ψ ( r =0 )≠0 的态,此时
此处我们可以定性地讨论一下氢原子和类氢原子的能谱图像:如图8,阴影部分表示连续谱,能级是连续的。我们还可以讨论它们的能级简并性质。
图 8 氢原子和类氢原子的分立能谱和连续能谱
由之前的分析我们知道,1 个波函数由 3 个量子数描述,分别为
n
、
l
、
m
。主量子数
n
唯一确定波函数的能量本征值,所以由
l
和
m
区分的不同的本征态是简并的。我们知道,当
n
确定后,
l
的取值为
l
=0,1,2,…,
n
-1,一共有
n
个不同的状态,即有
n
重简并,这种简并是由库仑场带来的。而当
l
确定后,我们知道磁量子数
m
的限制条件为
≤
l
l
,一共有 2
l
+1 个状态,即 2
l
+1 重简并。综上所述,我们可以计算出主量子数为
n
的系统的总简并度为
现在我们考虑将库仑势能稍加修正。当我们考虑介质中电子之间的相互作用时,电子受到的势能就不是严格和距离成反比了,而需要加上一个小的修正项,比如下面这种情况
这时径向的波函数变为
令
只要做代换 l ′→ l ,关于 v 的方程(8.29)就变为类似式(8.5)的形式。不同的是,方程(8.5)中的 l 是整数,而这里的 l ′是非整数。
容易求得此时方程的本征值为
其中 n ′为整数。这样算出的能量为
可以看出,由于库仑势能的修正,体系的简并度减小了一部分 (我们只 是考虑了一部分,此时能级的数量减少了,但是我们并不知道 l 的取值情况) 。
此时径向方程为
方程的形式解为
其中
。将其代入(8.33),得到关于
F
(
z
)的方程
其中
方程(8.35)的解为“合流超几何函数”(confl uential hypergeometric func tion)
(关于合流超几何函数的定义和性质,我们将在本章的最后作简单的介绍。)
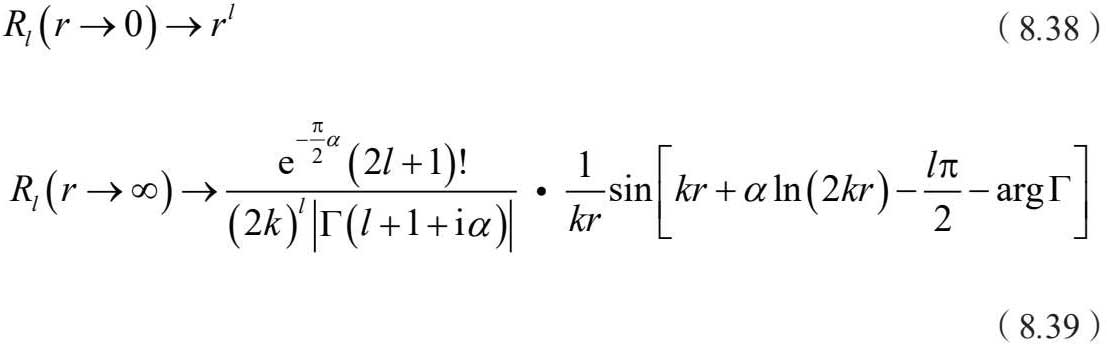
于是,我们可以得到 R l 的渐近表达式:
当 l =0 时
其中,Γ为伽马函数。它有如下性质
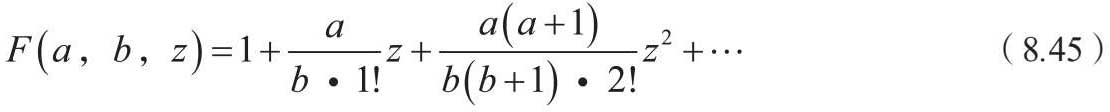
合流超几何函数的定义式为
它满足以下微分方程
假设 b 为整数, z 为纯虚数,则我们可以得到合流超几何函数的渐近方程
[1]
此处计算的能量实际应是波数:
。它与能量的关系为
,故
。由此计算出的能量为 13.605eV,并且这里的推导省略了一些常数项,电子能量的完整表达式为
。里德伯常量的完整表达式为
,所以计算出的值为 109 737.315 681 60(12)cm
-1
。——译者注