



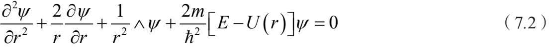
如果一个粒子的势能 U ( r )只依赖于原点到粒子的距离 r ,那么我们称“这个粒子处在中心力场 (或中心势场) 中”。在中心力场下,薛定谔方程为
取球坐标系,我们得到
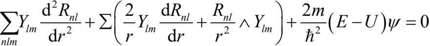
将
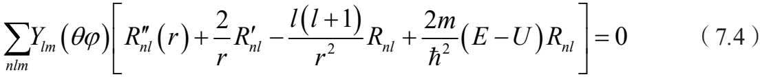
按球函数展开,得到
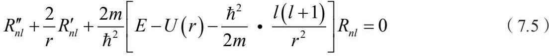
将展开式代入(7.2),可以得到
利用公式(6.10),方程变为
用
乘以上式并进行积分,由于波函数满足归一化方程,我们得到
注意: 此时方程中已经没有脚标 m 。
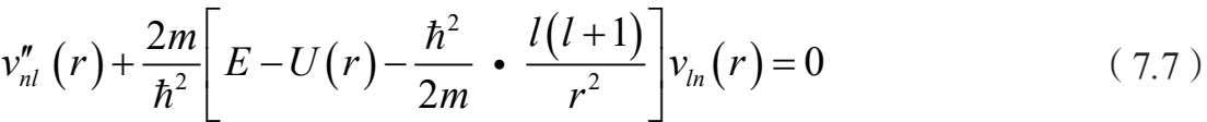
方程(7.5)的每一个解对应于方程的 2 l +1 个解。下面我们给出一个很有用的代换式
代入方程(7.5),我们得到
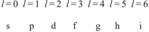
不同的 l 代表不同的状态,我们用不同的字母来表示这些不同的状态
我们将在后面证明
l
正比于角动量
M
。
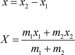
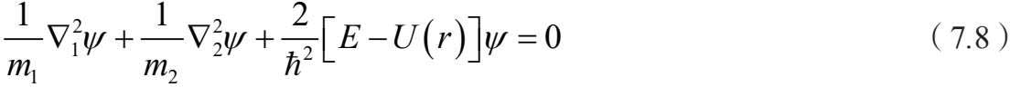
现在考虑中心力场中有两个有质量的粒子,它们的坐标分别为
r
1
和
r
2
,它们的相对位置为
,此时系统的薛定谔方程为
此时的波函数是两个粒子的坐标的函数,即
。
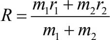
现在我们做一个坐标代换
x 表示两个粒子的相对坐标, X 表示质心的坐标,其他坐标轴类似。在新的坐标中,我们得到
于是我们可以推出
其中,
表示折合质量。
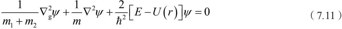
因此,方程(7.8)变为
令方程的解为
将其代入式(7.11)并做傅里叶变换
,我们得到
其中,
,我们称之为“折合能量”,而
表示质心的动能。现在,问题变成了一个单粒子的问题,就可以使用之前学过的知识求解了。
结论: 此处我们把粒子的坐标分解为质心坐标和相对坐标,使得两个粒子的复杂运动变为质心的运动和相对质心的运动,这和经典力学中的情况非常类似!