



在1.3 节中所简述的方法,对指标值 Z =(1,2,…)的“离散”空间与力学系统的连续状态空间 Ω ( Ω 是一个 k 维空间,其中 k 是经典力学中的自由度的数量) 之间作了类比。为实现这一类比,在形式上和数学方面有所突破并不足为奇。实际上,空间 Z 与空间 Ω 之间是截然不同的,尝试在二者之间建立联系定会遭遇到极大的困难 [1] 。
但我们所需处理的并非
Z
与
Ω
之间的关系,而是定义在这两个空间中的函数之间的关系,即在
Z
中定义的函数序列
x
1
,
x
2
,…与在
Ω
中定义的波函数
(
q
1
,…,
q
k
)之间的关系。此外,这些函数是最实质性地进入量子力学问题的实体。
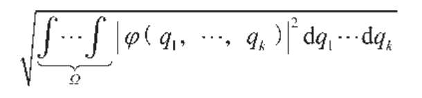
一方面,在薛定谔理论中,积分
起着重要作用——为使
具有物理意义
(见 1.2 节)
,该积分的值必须等于 1。而另一方面,在矩阵理论中
(见 1.3 节中的问题
E
1
)
,向量
x
1
,
x
2
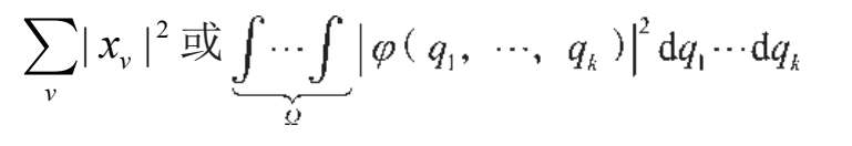
,…起着决定性作用。从希尔伯特理论层面上来说,这种本征值问题的有限条件∑
v
|
x
v
|
2
总是施加在该向量上的。排除平凡解
x
v
= 0,设正则化条件为∑
v
|
x
v
|
2
=1,也是一种习惯性做法。在
Z
或
Ω
中,这显然限制了可接受函数的集合必须具有有限的
因为只有通过这样的函数,才能使上述
或
在乘以一个常数因子后等于 1,即可在通常意义下标准化
[2]
。我们将这些函数的全体分别记作
F
z
和
F
Ω
。
现有以下定理成立:
F
z
与
F
Ω
是同构的[费歇尔(R. A. Fishcher)与里斯
[3]
]。更精确地讲,这意味着:可以在
F
z
和
F
Ω
之间建立一一对应关系,即把
有限的每个序列
x
1
,
x
2
,…与
的有限函数
(
q
1
,…,
q
k
)相对应,反之亦然。而且这种对应关系是线性与同构的。“线性”是指,若
x
1
,
x
2
,…与
(
q
1
,…,
q
k
)一一对应,且
y
1
,
y
2
,…与
(
q
1
,…,
q
k
)一一对应,则有
ax
1
,
ax
2
,…和
x
1
+
y
1
,
x
2
+
y
2
,…分别与
(
q
1
,…,
q
k
)和
(
q
1
,…,
q
k
)+
(
q
1
,…,
q
k
)一一对应;“同构”是指,若
x
1
,
x
2
,…与
(
q
1
,…,
q
k
)相互对应,那么
[“同构”一词的内涵在于,习惯性地把
x
1
,
x
2
,…和
(
q
1
,…,
q
k
)看作向量,并且认为
和
分别为它们的“长度”。]此外,若
x
1
,
x
2
,…和
y
1
,
y
2
,…分别与
(
q
1
,…,
q
k
)和
(
q
1
,…,
q
k
)相对应,则有
(且两边均为绝对收敛) 。就后者而言,结果表明:人们可能更喜欢比较一般的
或类似的东西,即加法与积分之间的完全类比。而进一步研究表明,在量子力学中,加法
与积分
仅分别用于
或
·
之类的表达式中。
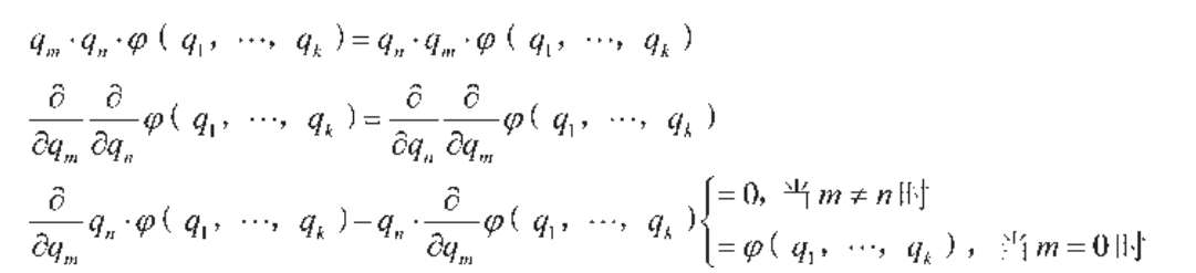
我们无意探究这种对应关系是如何确立的,这将是我们在下一章中予以关注的问题。我们所要强调的是这种对应关系的存在意味着: Z 与 Ω 是很不相同的,在二者之间建立直接关系必定会导致数学上的巨大困难。另一方面, F z 与 F Ω 同构,即它们内在结构相同 (它们以不同的数学形式实现了相同的抽象性质) ,并且由于它们 (并非 Z 和 Ω 本身) 是矩阵和波动理论的真实分析基础,这种同构就意味着这两种理论所产生的数值势必始终相同。也就是说,只要这种同构使矩阵
与算子
相互对应,就会出现这种情况。由于二者均是由矩阵
与泛函算子
通过相同的代数运算分别得出的,因此仅需说明
q
l
与矩阵
相互对应,且
与矩阵
相对应就足够了。现在
,
只需满足在 1.2 节中所提到的交换法则即可
但与
相对应的矩阵均可满足这一点,因为泛函算子
具备上述性质
[4]
,且这些性质在同构变换至
F
z
时仍不会丢失。
因为系统 F z 与 F Ω 同构,且据此构建的量子力学理论在数学上是等价的,故可预期,若我们对这些函数系统 ( F z 与 F Ω 所共有) 的内在属性进行探究,并以此作为出发点,将有望获得一套统一的理论。该理论与当时偶然选取的形式框架无关,仅展示量子力学真正重要的元素。
系统 F z 通常被称为“希尔伯特空间”。因此,我们的首要问题是研究希尔伯特空间的基本属性,该属性与 F z 和 F Ω 的特殊形式无关。由这些性质 (在任何特定的情况下,这些性质均等效地通过在 F z 和 F Ω 内进行的计算来表示,但相对一般目的的计算而言,通过直接计算要比通过此类计算更为容易) 所描述的数学结构被称为“抽象希尔伯特空间”。
下面我们将描述希尔伯特空间,并严格证明以下结果:
a抽象希尔伯特空间可用它的指定属性唯一地表征,即它只承认本质上相同的认识。
b这些属性既属于 F z 也属于 F Ω (在这种情况下,我将对 1.4 节中仅做了定性讨论的属性严格分析) 。
完成上述工作后,我们将利用由此所得的数学框架来构建量子力学。
[1] 早在量子力学出现以前,E . H.穆尔(E. H. Moore)就进行过这样的统一。穆尔正是所谓的“一般分析”的创始人。
[2]
这是薛定谔理论反复观察到的事实,在波函数
的情况下,仅对
的有限性有要求。例如:只要上述积分保持是有限的,
或许可为奇异函数,也可能是无限的。针对这种情况,有一个极具启发性的例子,那就是狄拉克相对论理论中的氢原子。
[3] 在讨论希尔伯特空间的过程中,我们将给出对该定理的证明(参见 2.2节和 2.3 节,尤其是 2.2 节中的定理 5)。值得一提的是,该定理足以满足多种目的,并且极易被证实的那部分,就是 F z 和 F Ω 的适当部分之间的同构;这要归功于希尔伯特。因此,薛定谔的原始等价证明只对应于定理的这一部分。
[4] 我们有
由此,可直接从中获得所需的算子间的关系。