



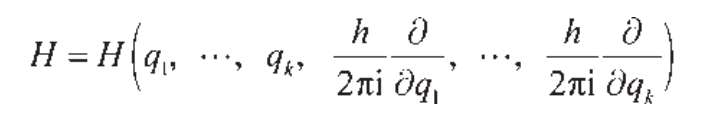
矩阵理论的基本问题在于,首先要找到矩阵 Q 1 ,…, Q k , P 1 ,…, P k ,以满足 1.2 节 (见第 7 页) 中的提到的交换法则;其次,这些矩阵的特定函数 H ( Q 1 ,…, Q k , P 1 ,…, P k )可化为对角矩阵。在玻恩和若当所发表的第一篇论文中,该问题被分为两个部分:
首先,找出仅需满足交换法则的矩阵
。这一步很容易实现,但是通常来说
不是对角矩阵。于是,正解则由以下形式表达
其中, S 可以是一任意矩阵 (但 S 必须具有逆 S -1 ,且满足 S -1 S = SS -1 = 1) 。由于
满足交换法则,因此 Q 1 ,…, Q k , P 1 ,…, P k 也满足交换法则 (与 S 关系等同) 。且因为
通过
转化为
H = H ( Q 1 ,…, Q k , P 1 ,…, P k ) [1]
对于
S
唯一的要求是:
把给定的
转化为对角矩阵。
(当然,还需注意到
正如
等一样,都是埃尔米特矩阵。但经过仔细研究后发现,后续总能满足对
S
的这个附加条件,因此在这些初始的观察中可以不予考虑。)
总之,需要利用
,将给定的
转化为对角阵形式。下面我们将详细地说明如何操作:
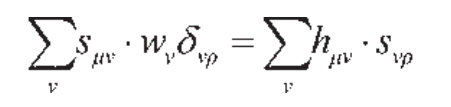
令矩阵
有元素
h
μν
,待求矩阵
S
有元素
s
μν
,
(未知的)
对角矩阵
H
有对角元素
w
μ
和一般元素
w
μ
δ
μν
[2]
。现有
等同,这表明
(若将等式两边的相应元素相等同,根据我们所熟知的矩阵乘法法则)
则:
即
因此,矩阵 S ( ρ =1,2,…)的各列 s 1 ρ , s 2 ρ ,…与矩阵 H 的相应对角线元素 w ρ 是所谓的“本征值问题”的解,其运算如下
(平凡解
x
1
=
x
2
= …= 0 自然排除在外。)
事实上,
x
v
=
s
vρ
,
=
w
ρ
是一组解
(虽然
S
有逆
S
−1
,但对所有
v
而言,
x
v
≡ 0,即
s
v ρ
≡ 0 是不可接受的,因为这会导致
S
的第
ρ
列全部为零从而消失)
。值得一提的是,
x
v
=
s
vρ
,
=
w
ρ
其实是唯一的解。
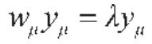
实际上,上述等式表明:矩阵
对向量
x
={
x
1
,
x
2
,…}的变换等于将该向量乘以常数
。我们用矩阵
S
−1
变换向量
x
={
x
1
,
x
2
,…},从而得到向量
y
={
y
1
,
y
2
,…}。如果通过
H
转换
y
,则它等同于通过
转换
x
。故通过
S
−1
转换
,其结果为
。现
H y
有分量
而
有分量
。因此,要求对所有
μ
=1,2,…,
均成立,即当
时,
y
μ
= 0。若用
η
ρ
记一个向量,其第
ρ
个分量为 1,其他分量为 0,则表明:
y
是对应
w
ρ
=
λ
的那些
η
ρ
的线性组合;否则
y
= 0 。将
S
作用于
y
可得
x
值,因此它是被
S
作用过的
η
ρ
的线性组合。
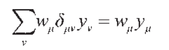
(由于
η
ρ
的第
v
个分量是
δ
νρ
)
Sη
ρ
的第
μ
个分量是:
若把
S
的第
ρ
列,
s
1
ρ
,
s
2
ρ
,…视为一个向量,那么
x
是所有
w
ρ
=
列的线性组合——否则视
x
=0。总之,我们的原始论断得以证实:
w
1
,
w
2
,…是唯一的本征值,并且
x
ν
=
s
ν
ρ
,
=
w
ρ
是唯一的解。
这点至关重要,不仅是因为 S , H 的相关知识决定了本征值问题的所有解,而且反过来,我们在解出本征值问题后,就可以即刻确定 S , H 。例如对 H 而言: w μ 显然就是所有的解 λ ,并且只要有线性无关解 x 1 , x 2 ,…出现时,每个这样的 λ 就会出现在序列 w 1 , w 2 ,…中 [3] ——故此,除 w 1 , w 2 ,…的排列顺序尚未确定外,其余均已确定 [4] 。
借此,矩阵理论的基本问题就是本征值方程的求解问题。
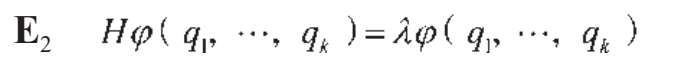
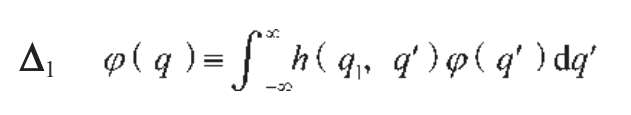
接下来,让我们继续探讨波动理论。该理论的基本方程是波动方程。
其中,
H
是已经讨论过的微分算子——我们寻求所有的解
与
λ
,但不考虑平凡解
(
q
1
,…,
q
k
)≡0,
λ
任意。这与
E
1
的要求相类似:我们可将序列
x
1
,
x
2
,…看作有“离散”变量
v
(其变量值为 1,2,…)
的函数
x
v
,使之与具有“连续”变量
q
1
,…,
q
k
的函数
相对应;
λ
在两种情况下的作用相同。然而,线性变化
与
几乎没有相似之处,如何将两者作类比呢?
我们将指标
v
视为变量,并将其与
k
个变量
q
1
,…,
q
k
相对应起来,即将该指标视为在
k
维构型空间
(以下记为
Ω
)
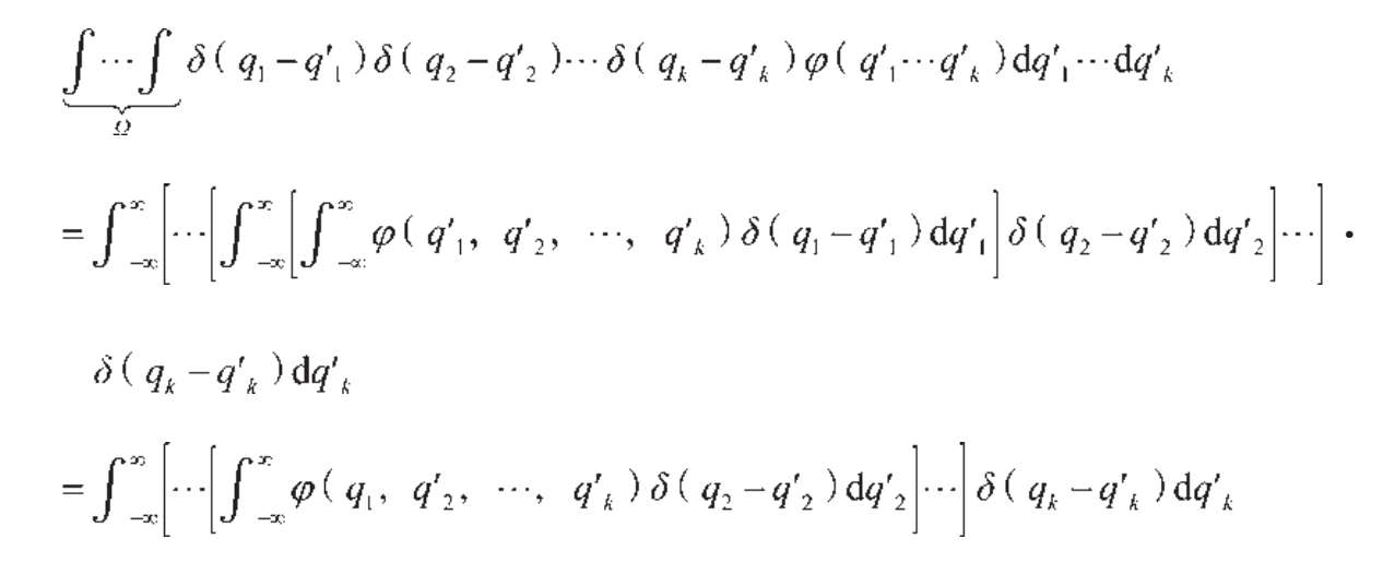
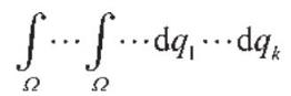
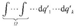
中由正整数确定的一般的点。因此,我们不应该指望
能够转化为
Ω
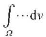
中的一个和,反而更应该期望积分
(更简洁地表示为
,其中 d
v
是
Ω
中的体积元素 d
q
1
…d
q
k
)
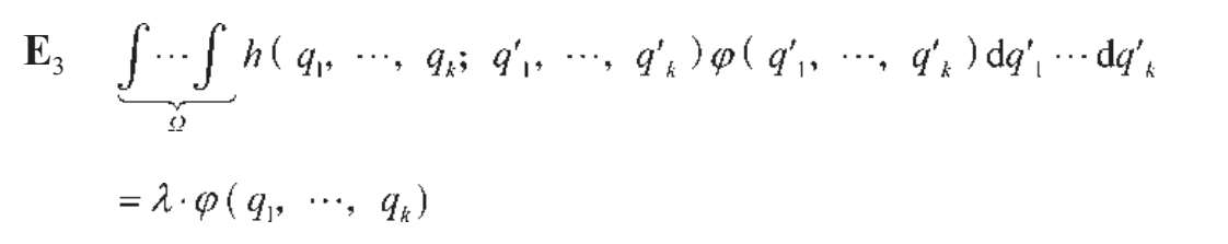
是一种正确的类比。矩阵元素
h
μν
是由指标ν类型的两个变量决定的,其对应的函数为
h
(
q
1
,…,
q
k
;
…,
,其中
q
1
,…,
q
k
和
…,
在整个
Ω
空间中独立取值。然后变换
就成为
并且对于本征值问题 E 1 ,我们也可以写为:
由此得到
数学领域曾经对
E
3
这类的本征值问题进行过广泛的研究,并且该类问题实际上可以通过类比问题
E
1
来处理。这就是“积分方程”
。
但遗憾的是, E 2 并不存在这种形式。或者更确切地说,只有当微分算子
能找到函数 h ( q 1 ,…, q k ; q' 1 ,…, q' k ),使得
对所有
恒成立时,才能将其代入这种形式。这个
q
1
,…,
q
k
;
q'
1
,…,
q'
k
如若存在,就称之为泛函算子
H
的“核”(kerenl),而
H
本身则称为“积分算子”。
上述变换一般不可能发生,即微分算子
H
绝非积分算子。即便是最简单的泛函算子
(该算子被称为 1,且它并不是数字 1)
,把每一个
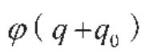
都变换成其本身,也不是这样的变换。让我们来说明以上论点。简单起见,取
k
= 1,并设
我们用
代替
(
q
),设
q
= 0,并引入积分变量
q"
=
q'
+
q
0
。那么
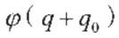
如若用 q , q ' 代替 q 0 , q" ,那么会看到 h (0, q' - q )和 h ( q , q' )解决了我们的问题。因此,我们可以假设 h ( q , q' )只取决于 q' - q 。于是上述要求变为
再次用
代替
,仅需考虑
q
= 0 的情况,即
把
(
q
)替换为
(-
q
),可见
h
(-
q
)与
h
(
q
)都是
的解,因此
也是一个解。因此, h ( q )可以被视为变量 q 的偶函数。
显然,这些条件是不可能同时满足的。如果我们选择
q
≠0,
及
(0)=0,则由
可知,对于
q
≠0,
h
(
q
)=0,这引发了矛盾
[5]
。但若我们选择
(
q
)≡1,则有
而由上可直接得到矛盾的结果
。
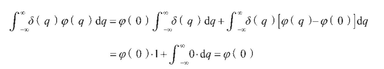
尽管如此,狄拉克假仍设存在这样一个函数
δ
(
q
)=0,对
q
≠0,
,
这意味着
可写作:
故
和
也成立。因此,我们应认为该函数在原点之外的任何地方均为 0,且在原点处具有强烈的无限性,使
δ
(
q
)在整条直线上的积分为 1
[6]
。
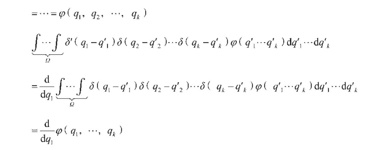
如果我们一旦接受了这个构想,就有可能把最多样化的微分算子表示为积分算子。前提是,除函数 δ ( q )以外,我们还引入其导数。则我们有
即
与
q
n
的核分别是
δ
(
n
)
(
q
-
q'
)与
δ
(
q
-
q'
)
q
n
。根据同样的方式,我们可以对相当复杂的微分算子的核进行研究。对于多变量
q
1
,…,
q
k
,
δ
函数导致结果
等等。
因此,在实践中,所有算子均可以通过积分表示 I。
只要我们有了这一表示,问题
E
1
与
E
3
的类比就完成了。我们仅需用
q
1
,…,
q
k
;
q'
1
,…
q'
k
;
来替换
v
;
v'
;
;
x
即可。就像向量
x
v
对应于函数
o
(
q
1
,…,
q
k
),核
h
(
q
1
,…,
q
k
;
q'
1
,…,
q'
k
)必然对应于矩阵
h
vv
'
。而更行之有效的方法是将核本身看作矩阵,继而可将
q
1
,…,
q
k
看作行指数,把
q'
1
,…,
q'
k
看作列指数,分别与
v
和
v'
相对应。除由数字 1,2,…编码的离散行域与列域的普通矩阵{
h
vv
'
}外,我们还需要处理{
h
(
q
1
,…,
q
k
;
q'
1
,…,
q'
k
)}
(积分核)
矩阵,其两个定义域均由
k
个变量表征,在整个
Ω
中连续变化。
上述类比看起来似乎完全是形式上的类比,但事实并非如此。指标 v 和 v' 也可被看作状态空间中的坐标,也就是将其视为量子数 (玻尔理论认为:由于量子条件的限制,相空间中可能存在的轨道数量是离散的) 。
至此,我们将不再追寻这一思路继续探究,狄拉克和若尔当已就此思路打造出一套统一的量子过程理论。“反常”函数 [诸如: δ ( x ), δ' ( x )] 在该发展过程中起着决定性作用。它们已经超出了通常使用的数学方法的范畴,而我们希望借助这些方法来描述量子力学。因此,我们转向统一了这两种理论的第三种 (薛定谔) 方法。
[1] 由于 S -1 ·1· S =1, S -1 · aA · S = a · S -1 AS , S -1 ·( A+B )· S = S -1 AS+S -1 BS , S -1 · AB · S = S -1 AS · S -1 BS ,因此 1,对于每个矩阵多项式 P ( A , B ,…)有
如若我们选择交换关系的左边为
P
,那么可以借此得到它们的不变性;如若我们选择
H
,那么我们将得到
。
[2] δ μν 是众所周知的克罗内克符号;当 μ=v 时, δ μv =1;当 μ ≠ v 时, δ μv =0。
[3] S 的第 ρ 列, s 1 ρ , s 2 ρ ,…连同 w ρ = λ 形成了一套完整的解集,并且作为具有逆矩阵的列,它们必须是线性无关的。
[4] 由于 S 各列的任意置换,以及 S −1 各行的相应排列, H 的对角线元素以相同的方式置换, w 1 , w 2 ,…的次序实际上是不确定的。
[5] 更确切地说,如果我们以勒贝格积分概念为基础,则对 q ≠0 ,除了一个测度为 0 的集合外, h ( q )=0,即除了这样的一个集合外, h ( q )=0 恒成立。
[6]
对于位于
q
=0的点,
δ
(
q
)曲线以下的面积被视为无限狭长且无限高的,其面积为一个单位。这或许可以被看作函数
在(
a
→∞)范围内的极限形态,但这仍是不可能的。