



为了对该问题有一个初步认识,我们先简要概述一下海森堡-玻恩-若尔当的“矩阵力学”和薛定谔的“波动力学”的基本结构。
上述两种理论均首次提出了一个经典的力学系统,那就是哈密顿函数
表征的力学系统。
(这意味着以下内容可以在力学教科书中找到更为详细的描述:设系统有
k
个自由度,即其存在状态由所给出的
k
个坐标
q
1
,…,
q
k
的数值来确定。能量是坐标及其时间导数的给定函数
并且通常是导数
平方的函数。坐标
q
1
,…,
q
k
的“共轭矩阵”
p
1
,…,
p
k
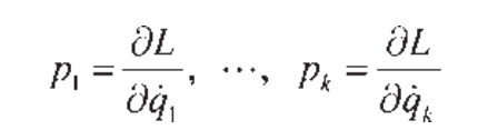
由关系式
确定。在上述步骤对
L
所作的假设下,它们线性地取决于
q
1
,…,
q
k
。如果有需要,我们可以用
p
1
,…,
p
k
消去
L
中的
,
从而得到:
这里的
H
就是哈密顿函数。)
在这两种理论中,我们现在必须尽可能地从哈密顿函数中了解系统的真实行为,即量子力学性态尽可能多的信息。因此,我们必须先确定
[1]
可能的能量水平,然后找出相应的“定态”,并计算“转移概率”,等等
。
针对这一问题,矩阵理论给出的解决方向如下:寻求一个由 2
k
个矩阵
Q
1
,…,
Q
k
,
P
1
,…,
P
k
组成的系统
,它首先要满足以下关系:
其次,矩阵
W
=
H
(
Q
1
,…,
Q
k
,
P
1
,…,
P
k
)为对角矩阵。
(我们不在这里详细介绍这些方程的起源,尤其是被称作“可对易法则”的第一组方程,它支配着该理论下整个非可对易矩阵的演算。量值
h
是普朗克常数。)
W
的对角线元素,记为
w
1
,
w
2
,…,是系统允许的不同能量水平。矩阵
Q
1
,…,
Q
k
的元素记为
,这些矩阵的元素在一定程度上决定了系统的转移概率
(由能量为
w
m
的第
m
个状态转变到能量为
w
n
的第
n
个状态,
w
m
>
w
n
的概率)
和由此在转变过程中发出的辐射。
□ 普朗克常数
普朗克常量记为 h ,数值为 6.62607015×10 -34 m 2 k g/ s,它是一个物理常量,用以描述量子大小。普朗克在 1900 年研究物体热辐射规律时发现,只有假定电磁波的发射和吸收不是连续的,而是一份一份地进行,计算的结果才能和实验结果相符。这样的一份能量叫作能量子,每一份能量子等于普朗克常量乘以电磁辐射的频率。普朗克从纯数学上考虑,得出每个量子携带的能量为 E =h v 。在几乎一个世纪中,普朗克常量在原子物理学的计算中占支配地位,却无法对它给予解释,它是自然界中一个基本的和不变的事实。
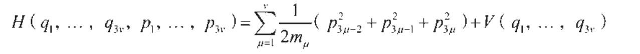
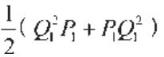
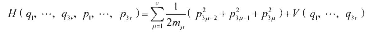
此外,需要注意的是,矩阵
W = H ( Q 1 ,…, Q k , P 1 ,…, P k )
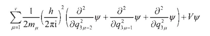
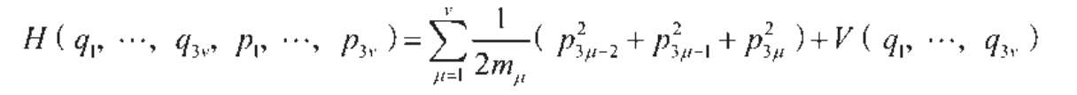
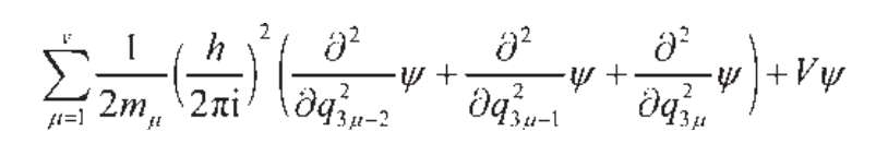
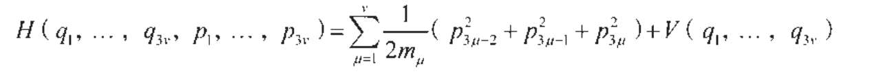
并非完全由 Q 1 ,…, Q k , P 1 ,…, P k 及经典力学中的哈密顿函数 H ( q 1 ,…, q k , p 1 ,…, p k )决定,因为 Q l 与 P l 在做乘法时并不是相互可换的。不过从经典力学的意义上考虑,在函数 H ( q 1 ,…, q k , p 1 ,…, p k )中区分 p 1 q 1 与 q 1 p 1 是没有任何意义的。因此,我们必须根据 H 来确定变量 q l 和 p l 的顺序,这超出了该表达式的经典含义。这一过程还没有被一般地实现,但对于特殊情况的适当排列是已知的。 (在最简单的情况下,只要所研究的系统由粒子组成,那么就有 k = 3 v 个坐标 q 1 ,…, q 3 v 使得例如 q 3 μ -2 , q 3 μ -1 , q 3 μ 是第 µ 个粒子的三个笛卡尔坐标, μ = 1,…, v 。其中,这些粒子的相互作用是由势能 V ( q 1 ,…, q 3 v )给出的,这是毋庸置疑的。那么经典的哈密顿函数就是
其中, m μ 是第 µ 个粒子的质量, p 3 μ -2 , p 3 μ -1 , p 3 μ 是其动量的分量。代入矩阵
Q 1 ,…, Q 3 v , P 1 ,…, P 3 v
后,其意义十分清晰。特别是,引入势能毫不困难,因为所有的
Q
1
,…,
Q
3
v
之间都能够进行相互交换。)
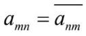
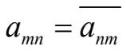
重要之处在于,允许的只有埃尔米特矩阵,即其元素满足关系
的矩阵
A
={
a
mn
}
(
a
mn
可能为复数)
。因此,当所有
Q
1
,…,
Q
k
,
P
1
,…,
P
k
均为埃尔米特矩阵时
H ( Q 1 ,…, Q k , P 1 ,…, P k )
必定是埃尔米特矩阵。这涉及上述问题中有关因子顺序的某些限制。但是,想要从经典的 H ( q 1 ,…, q k , p 1 ,…, p k )中唯一地确定出 H ( Q 1 ,…, Q k , P 1 ,…, P k ),这一限制还是不充分的 [2] 。
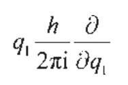
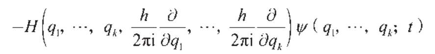
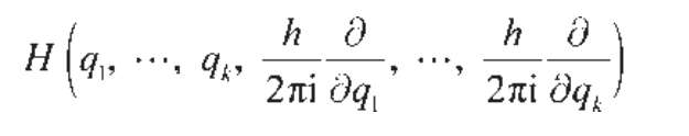
另一方面,波动力学的研究方向如下:我们首先构建哈密顿函数
H
(
q
1
,…,
q
k
,
p
1
,…,
p
k
),然后对系统构形空间(并非在相空间中,即
p
1
,…,
p
k
不会在
中出现)中的一个任意函数
(
q
1
,…,
q
k
)进行微积分方程
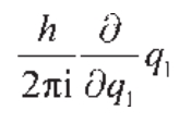
的构建。这样
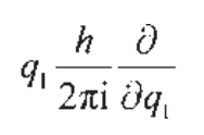
便被简单地看作一个泛函算子。例如,前面提到的算子
把函数
(
q
1
,…,
q
3
)变换为
(我们在
V
与
中忽略了变量
q
1
,…,
q
3
v
)
。因为算式
不同于算式
这里也存在着不确定性,因为在 H ( q 1 ,…, q k , p 1 ,…, p k )中, q m 与 q n 项的顺序模糊不清。不过,薛定谔指出了如何消除这种不确定性的方法:通过约化到某个确定的变分原理,从而使微分方程成为“自伴随的”。
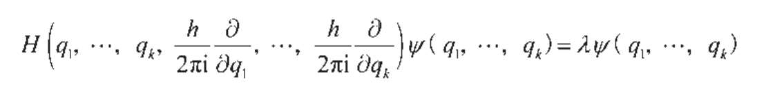
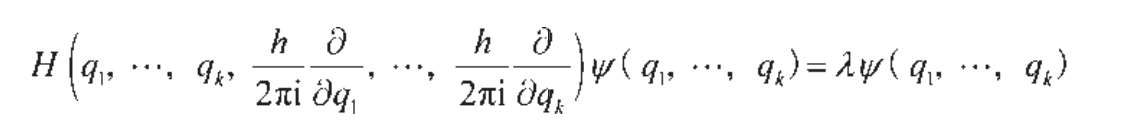
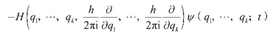
现在这个微分方程
(“波动方程”)
具有本征值问题的特征,其中
λ
被解释为本征值参数,而本征函数
(
q
1
,…,
q
k
)在构形空间
(也就是
q
1
,…,
q
k
的空间)
的边界上等于 0,并且要求本征函数具有正则性与单值性。从波动理论的意义上讲,本征值
(无论是离散谱还是连续谱
)
都是系统允许的能量水平。甚至对应的
(复)
本征值,也与对应的系统状态
(玻恩视角下的“定态”)
相联系。对一个有
v
个电子的系统
(
k
= 3
v
,如上,e 是电子的电荷)
,在
x
,
y
,
z
点对其第
μ
个电子的电荷密度进行测量,其表达式为
据薛定谔所述,该电子可以被看作是“污染”了整个
x
,
y
,
z
(=
q
3
µ
-2
,
q
3
µ
-1
,
q
3
µ
)所处的空间。
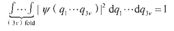
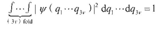
(为了使总电荷为 e,
必须通过以下条件归一化
本积分是针对所有 3 ν 个变量进行的。对每个 µ = 1,…, ν ,得到同样的方程。)
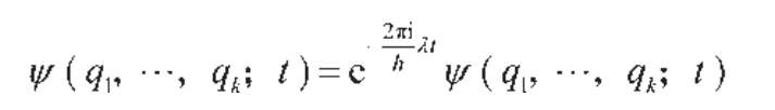
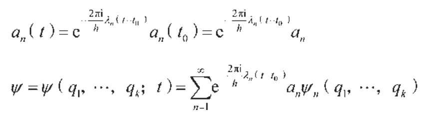
此外,波动力学还可以通过以下方式,对不处于玻尔定态
的系统进行观察:如果系统状态不是定态,即如果它随时间的变化而变化,那么波函数
(
q
1
,…,
q
k
;
t
)
中包含时间 t ,并且其变化由以下微分方程决定
也就是说,当
t
=
t
0
时,
可以任意给定,并对所有的
t
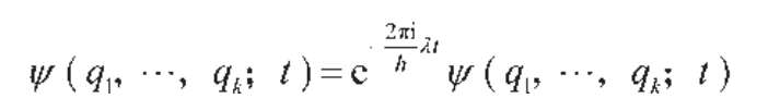
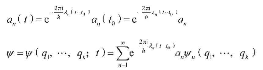
唯一确定。正如对两个薛定谔微分方程进行比较所显示的那样,即便是处于定态的
ψ
,实际上也是取决于时间的,但其对于时间
t
的依赖可以表示为
也就是说,
t
只出现在绝对值为 1 的因子中,而与
q
1
,…,
q
k
(构形空间中的常数)
无关。因此,诸如我们前面定义的“电荷密度分布”就并不会发生任何改变
(我们通常假定,对
而言,绝对值为 1且在构形空间中为常数的因子,在本质上是不可观察的。稍后我们将通过更为详细的考量来证实这一点)
。
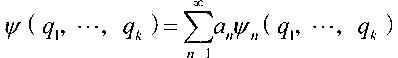
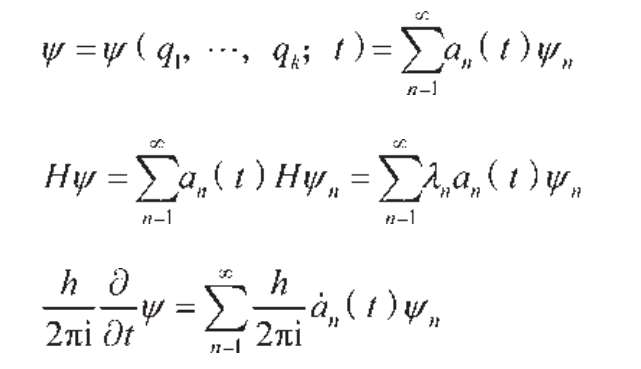
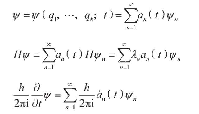
由于第一个微分方程的本征函数构成了一个完全标准的正交系
,我们可以根据这组函数来展开每个
=(
q
1
,…,
q
k
)。如果
,…是本征函数
(都不取决于时间
t
)
,且
,
,…分别为它们相对应的本征值,则其展开式为
若
ψ
仍与时间相关,则将
t
引入系数
a
n
中
(另外,本征函数集
,
,…在此处和在随后的所有内容中,都应被理解为与时间无关)
。因此,如果当前的
(
q
1
,…,
q
k
)实际上是
(
q
1
,…,
q
k
;
t
0
),那么可知,它遵循以下运算:
令上述第二个微分方程中两边的系数相等,可得
即
因此,如果
不是定态,即除一项外的所有
a
n
均不为 0,则
(对于变量
t
)
除了绝对值为 1 的空间常数,因子不再随
t
的变化而变化。因此,一般来说,上面定义的电荷密度也会发生变化,即在空间中发生的真实的电子振动
。
我们看到,这两种理论的初始概念和实践方法存在着很大的不同。尽管如此,它们从一开始就总是产生相同的结果,甚至两者还都提出了与量子理论的旧概念不同的一些细节。正如本书 1.1 节中所提及的那样,随着薛定谔证明了二者的数学等价性,这种奇特的情况很快得以解释清楚。现在我们将注意力转向对这个等价性的证明,同时解释狄拉克和若尔当的一般变换理论 (上述两种理论的综合) 。
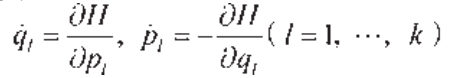
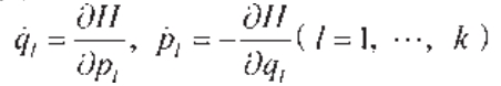
[1] 众所周知,根据经典力学,运动由哈密顿函数确定,因为它产生了运动方程
在发现量子力学之前,人们曾试图在保留这些方程的条件下,尝试通过使用补充附加量子条件的方程来解释量子现象。
当时间
t
= 0 时,根据
q
1
,…,
q
k
,
p
1
,…,
p
k
的每一组值,运动方程能确定该运动随时间的变化,即系统在 2
k
维“相空间”
q
1
,…,
q
k
,
p
1
,…,
p
k
中的“轨道”。因此,任何的附加条件都会造成可能的初始值或轨道被限制在某一特定的离散集合内的情况。(因此,对应于少数可能接受的轨道,只有少数可能的能量水平。)虽然量子力学已经完全打破了这种方法,但是哈密顿函数从一开始就起到了重要作用,这是显而易见的。事实上,大量的实验证明了玻尔对应原理的有效正确性。该原理断言,在所谓的大量子数的极限情况下,量子理论一定会得出与经典力学相一致的结果。
[2]
若
Q
1
与
P
1
是埃尔米特函数,则
Q
1
P
1
与
P
1
Q
1
都一定不是埃尔米特函数,但
恒为埃尔米特函数。对于
我们还应该考虑
和
Q
1
P
1
Q
1
(但是,由于
,两个表达式恰好相等)。对于
,我们还应该考虑
,
和
,等等(这些表达式在上述特殊情况下并不完全一致)。目前我们暂不深入探讨这一问题,因为稍后展开的算子微积分将清晰地呈现这些关系。
[3] 我们有:
因此
这里 1 为等同算子(把
ψ
变换为其本身),即
和
q
1
都满足与矩阵
P
1
和
Q
1
相同的交换法则。
[4] H ( q 1 ,…, q k , p 1 ,…, p k )也可以明确地包含时间 t 。当然,在那种情况下通常是绝不会出现定态的。