我们已经对无限多维的
(希尔伯特)
空间
中的几何关系进行了充分的探讨,现在我们将把注意力转向其线性算子——空间
在其自身上的线性映射。为此,我们需要引入一些概念,实际上前几个章节已经对这些概念做了一定程度的铺垫。
对该部分所涉及的算子,我们给出如下定义 (与前文定理 11 给出的陈述相一致) 。
定义 6
算子
R
是定义在
的子集上的函数,其值取自
,即在
中的某些元素
f
与
中的另一些元素
Rf
之间建立的对应关系。
除承认
以外,我们也承认
。需要注意的是,如果
是一个
F
Ω
,那么算子
R
是为
F
Ω
的元素而定义的,即普通的构型空间函数,其取值也是同样定义的。于是这些算子被称为“函数的函数”或“泛函”
(见 1.2 节,1.4 节中的例子)
。定义了
Rf
的
f
的类,即
R
的定义域,不必包含整个
,但若其定义域为
,则称
R
“处处有定义”。此外,所有
Rf
的集合,即
R
的值域(
R
作用在定义域上的全体映射),不一定必须包含在
R
的定义域之内。也就是说,如果
Rf
有意义,那么也不一定能得出
R
(
Rf
)=
R
2
f
。
[1]
在上一节中,我们已经对 R ± S , aR , RS , R m ( R , S 均为算子, a 为复数, m = 0,1,2,…) 的意义作了说明。
( R ± S ) f = Rf ± Sf ,( aR ) f = a · Rf ,( RS ) f = R ( Sf )
R 0 = 1, R 1 = R , R 2 = RR , R 3 = RRR ,…
在确定这些算子的定义域时,应注意,仅当右边有定义时,左边 (算子 R v S , aR , RS ) 才有定义。因此,例如 R ± S 仅在 R 与 S 定义域的公共部分才有定义,等等。如果 Rf 对于每个 f 是单值的,则 R 具有逆 R -1 :若 Rg = f 有一个解 g ,则 R -1 有定义,且其值为 g 。在前面几节中,我们已经对 R ± S , aR , RS 的相关计算定律的有效性进行了讨论,在这里我们只对它们的定义域问题加以探讨。那些被定义为相等的算子,其定义域相同,而算子方程在这些定义域中并不适用,诸如:0· R = 0。0 f 恒有意义,但根据定义,仅当 Rf 有定义时,(0· R ) f 才有意义 (但如果两者都有定义,则两者都 = 0) 。此外, I · R = R · I = R 成立,且 R m · R l = R m+l 也成立,则对于其定义域也同样成立。
若
R
,
S
均有逆,则
RS
也有逆,那么显而易见有(
RS
)
-1
=
S
-1
R
-1
。此外,若
a
≠0,则
,若存在
R
-1
,我们也可以形成
R
的其他负幂
R -2 = R -1 R -1 , R -3 = R -1 R -1 R -1 ,…
基于前文的一般论述,我们将继续对那些特殊类别的算子进行更为详细的研究。这些特殊类别的算子在应用中极为重要。
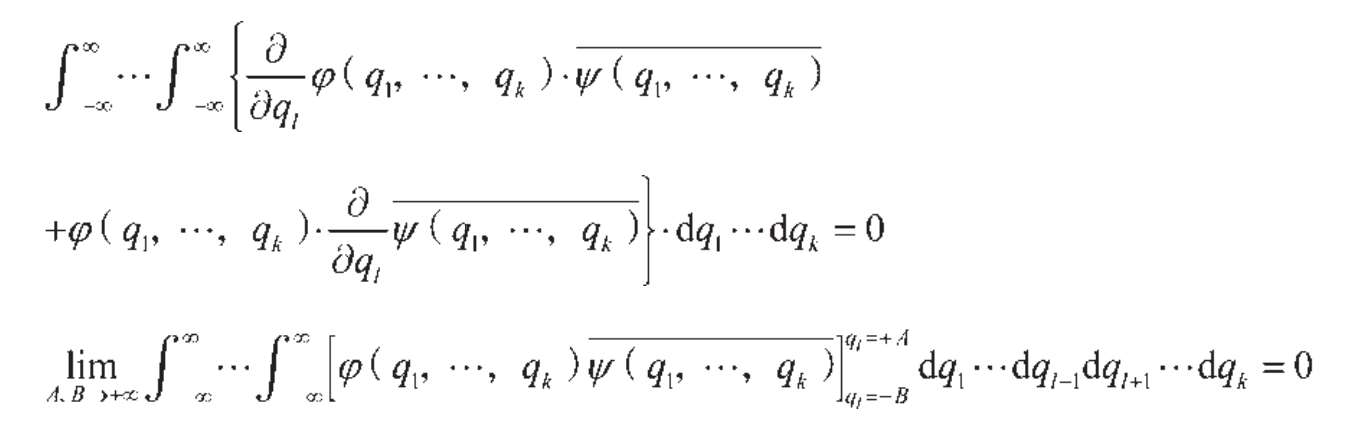
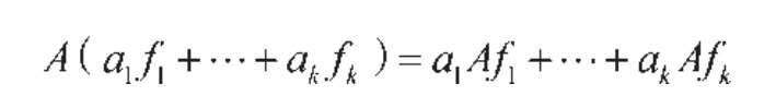
定义 7 若算子 A 的定义域是线性流形,则称“算子 A 为线性的”,即若 A 包含 a 1 f 1 +…+ a k f k 以及 f 1 ,…, f k ,并且使以下等式成立
在以下讨论中,我们将只考虑线性算子,或更确切地说,只考虑那些定义域处处稠密的线性算子。
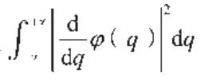
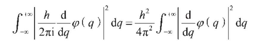
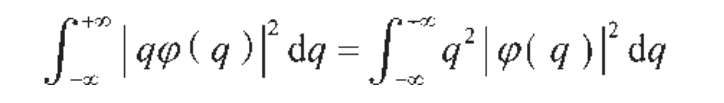
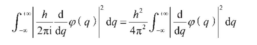
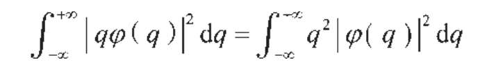
出于多种目的,在量子力学中我们必须放弃算子处处有意义的这项要求。而上述后一种仅要求定义域处处稠密的说法,为我们提供了一个充分的替代条件,可用来取代算子需处处有意义的这项要求。这种情况至关重要,我们有必要予以更为详细的探讨。例如:让我们对薛定谔波动力学中的构型空间予以探讨,为简单起见,取一维空间:-∞
<q<
∞。波函数为
(
q
),且
有界。这些波函数就构成了一个希尔伯特空间
(见 2.3 节)
。我们还考虑了算子
q
…和
…,它们显然是线性算子,但它们的定义域不是整个希尔伯特空间。算子
q
…有所不同,因为即便
是有限的,积分
也很有可能变成无限的。因此
(
q
)不再位于希尔伯特空间中。对于
而言,也有所不同,因为存在不可微函数,对它们而言,即便
有限,
也不是有限的
(例如:
或
)
。但其定义域是处处稠密的。当然这两个算子都适用于每个
(
q
),其中
(
q
)≠0,处于有限区间-
c
≤
q
≤
c
中,且处处可连续微分;该函数集合是处处稠密的。
[2]
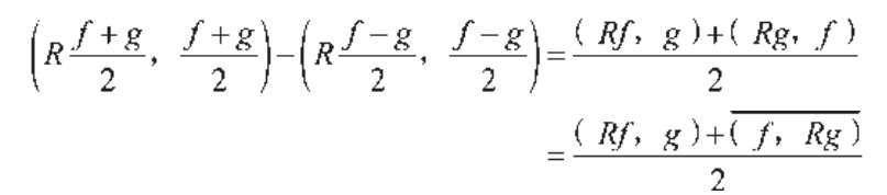
我们作出进一步的定义:
定义 8 如果两个算子 A 和 A * 具有相同的定义域,并且在该定义域内有
则称这两个算子为“伴随算子”。
(通过交换 f , g ,并对等式两边取复共轭,便可从一个关系式推导出另外一个。此外, A , A * 明显是对称关系,即 A , A * 之间也是相互伴随的,所以有 A ** = A 。)
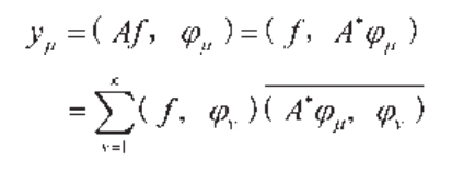
我们进一步注意到,对于每个 A 只能给出一个伴随的 A * ,即若 A 与 A 1 * 伴随,且 A 与 A 2 * 伴随,则有 A 1 * = A 2 * 。事实上,对于所有 Ag 中有定义的 g ,有
并且由于 g 为处处稠密,所以有 A 1 * f = A 2 * f 。由于上式通常成立,所以有 A 1 * = A 2 * 。因此,正如 A * 唯一地确定 A 那样, A 唯一地确定了 A * 。
可以随即得出以下结论:一般来说,0,1 以及所有的投影算子
E
都是自伴的
(见定理 12)
,即 0
*
,1
*
,
E
*
存在,且分别等于 0,1,
E
。此外,
。一般只要可以构成
A
±
B
(即它们的定义域处处稠密)
,就有(
A
±
B
)
*
=
A
*
±
B
*
。最后,对定义域的限制易于确定,可得(
AB
)
*
=
B
*
A
*
[因为(
ABf
,
g
)=(
Bf
,
A
*
g
)=(
f
,
BA
*
g
)],以及(
A
-1
)
*
=(
A
*
)
-1
[由(
A
-1
f
,
g
)=[
A
-1
f
,
A
*
(
A
*
)
-1
g
]=[
AA
-1
f
,(
A
*
)
-1
g
]=(
f
,(
A
*
)
-1
g
)而得]
。
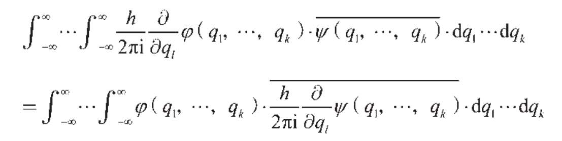
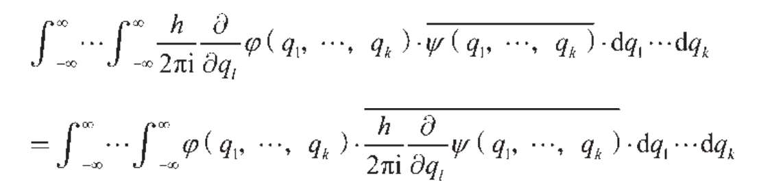
□ 薛定谔方程
如果知道某一时刻的波函数,就能利用薛定谔方程计算在过去或将来任一时刻的波函数。由于微积分的诞生,物理学中涉及运动与变化的计算变得容易。
特别是在薛定谔提出的波动力学里
(我们在前面考虑过,但在这里我们将假设一个
k
维的构型空间)
,希尔伯特空间是由波函数
(
q
1
,…,
q
k
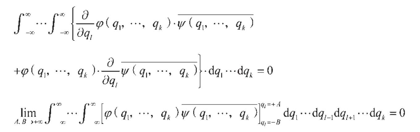
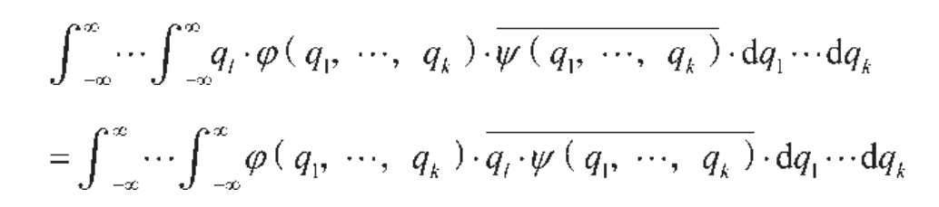
)组成的,且积分
是有限的。对算子
q
l
和
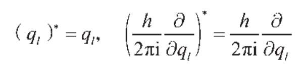
而言,恒有以下关系式成立
因为
所以前面的关系式是明显成立的。
而后面的关系式则意味着
即
极限必定存在,因为所有积分
的收敛性是确定的
(因为
,
,
属于希尔伯特空间)
,所以只有它为零的情况才是最重要的。若它不等于 0,则
(肯定存在)
极限
在 q l →+∞或 q l →-∞时≠0,该积分与下列积分
的绝对收敛性
(
,
属于希尔伯特空间!)
是不相容的。
如果 A 是积分算子,则有
那么可以直接得到以下内容: A * 也是一个积分算子,但 A * 的核不是
而是
现在让我们对矩阵理论中的情况加以考虑,其中的希尔伯特空间是由使得
有限的所有序列
x
1
,
x
2
,…组成的,且线性算子
A
将{
x
1
,
x
2
,…}转换为{
y
1
,
y
2
,…},即
A { x 1 , x 2 ,…}= { y 1 , y 2 ,…}
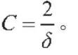
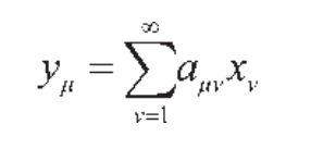
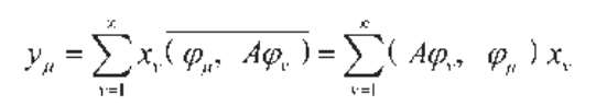
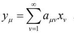
由于 A 是线性的, y 1 , y 2 ,…必定与 x 1 , x 2 ,…线性相关
因此,
A
由矩阵
a
µν
表征。我们即刻可见矩阵
(复共轭转置矩阵!)
属于
A
*
。
[3]
与刚刚发展起来的矩阵理论中的情况相类似,我们用下文方式引入埃尔米特算子的概念。同时,我们还将介绍另外两个概念,这两个概念对我们以后的研究至关重要。
定义 9 若 A * = A ,则称算子 A 为“埃尔米特算子”。若( Af , f )≥ 0恒成立 [4] ,则 A 也可称为“定号算子”。若 UU * = U * U = I 则称算子 U 为“幺正算子”。
对于幺正算子,我们有 U * = U -1 。根据定义
( Uf , Ug )=( U * Uf , g )=( f , g )
因此,特别(对
f
=
g
)有
成立。相反,若
U
处处有定义,并且遍历取值,则从后一个属性中可以推导出幺正属性。兹证明如下:
首先,假设
成立,即(
Uf
,
Uf
)=(
f
,
f
),(
U
*
Uf
,
f
)=(
f
,
f
)。若我们用
代替
f
,再用
代替
f
,并把得到的结果相减,则通过计算,我们可以很容易得到 Re(
Uf
,
Ug
)= Re(
f
,
g
)。若我们用 i·
f
代替
f
,则代替 Re 我们得到 Im。因此一般而言,下列等式
恒成立。对于固定的 f ,上述公式对所有 g 成立,因此有 U * Uf = f 。由于该公式对所有 f 均成立,那么 U * U = 1。我们还需要证明 UU * = 1。对于每个 f 都有一个 g ,且 g 满足 Ug = f ,则有 UU * f = UU * · Ug = U · U * Ug = Ug = f ,因此 UU * = 1。
因为线性性质
每个幺正算子均为连续的,而这对于埃尔米特算子来说是完全没有必要的。例如,对量子力学至关重要的算子
q
和
,都是不连续的
[5]
。
根据前面所述的有关
A
*
的计算规则,我们随即可知,若
U
,
V
是幺正算子,则
U
-1
,
UV
也是幺正算子。因此
U
的所有乘幂也是幺正算子。一方面,如果
A
,
B
是埃尔米特算子,则
A
±
B
也是埃尔米特算子。另一方面,仅当
a
为实数时,
aA
是埃尔米特算子
(
A
= 0 除外)
,且仅当
A
,
B
可对易,即
AB
=
BA
时,
AB
才是埃尔米特算子。此外,我们知道的所有投影算子
(特别是 0,1)
均为埃尔米特算子。薛定谔理论中的算子
q
1
和
也都是埃尔米特算子。
A
的所有乘幂也是埃尔米特算子
(如若
A
-1
存在,亦然)
,且所有具有实系数的多项式也是埃尔米特算子。值得注意的是,对于埃尔米特算子
A
和任意算子
X
,
XAX
*
,也是埃尔米特算子
( XAX * ) * = X ** A * X * = XAX *
因此,例如,所有 XX * ( A = 1)与 X * X ( X * 代替 X ) 都是埃尔米特算子。幺正算子 U , UAU -1 是埃尔米特算子,因为 U -1 = U * 。
算子的连续性,就像分析中所处理的数值函数的连续性一样,是一个具有基本重要性的属性。因此,我们想对其在线性算子的情况下存在的几个特征进行说明。
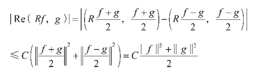
定理 18
若线性算子
R
在点
f
= 0 处是连续的,则其为处处连续。
R
在点
f
= 0 处连续的充分必要条件是:存在一个常数
C
,一般能够使
成立。反过来,这个条件等价于
仅当
f
=
g
时,埃尔米特算子
R
才需要满足:
,或者因(
Rf
,
f
)为实数:
注:算子的连续性概念起源于希尔伯特。他称连续性为“有界性”,并通过上述倒数第二个标准对其进行定义。若在最后一项标准中仅有一个“≤”通常有效,那么则称 R “半有界”:向上 (半有界) 或向下 (半有界) 。例如,每个定号的 R 是向下半有界的 (其中 C =0) 。
证明
算子
R
在
f
= 0 的连续性表明,对于每个
ε
> 0,都存在一个
δ
> 0,使得由
可以推出
。然后,由
可知,
,即对于
f
=
f
0
,
R
也是连续的,因此
R
为处处连续。
如果
(当然
C
>0)
,则我们可得出连续性,因为可取
。相反,如果
R
存在连续性,则我们可以确定
ε
=1 时的
δ
,并设
于是有
对于
f
≠0 恒成立;对于
f
≠0,我们有
,可以引入
在这种情况下有
,且因此
由
可以推出
相反,若我们设
g
=
Rf
,因此有
,则由
我们可得到
。对于埃尔米特算子
R
,仍需要证明
导致了
。用
和
代替
f
给出
[6]
我们现在用
代替
f
,
g
,正如在定理 1 中所证明的那样,右边项的极小化得到
。然后,把
f
替换为 e
i
αf
(
α
为实数)
,给出左边项的最大值
当然,该关系式仅在对 Rg 有定义的情况下才有效,但因为这些 g 是处处稠密的,并且 Rg 不再出现于最终结果中,这一点通常因为连续性而成立。
我们再证明另一个关于定号算子的定理。
定理 19 若 R 为埃尔米特算子,且为定号算子,那么则有
由( Rf , f )=0,然后得出 Rf =0。
证明 上述不等式可由( Rf , f )≥ 0 (定号性!) 的一般有效性推出,正如施瓦茨不等式
曾在定理 1 中对( f , f )≥ 0 的导出时得以证明。若现在( Rf , f )= 0,则由此不等式也可得出若 Rg 有定义,则也有( Rf , g )= 0。所以它适用于处处稠密的 g 集合。因此,由于连续性,其适用于所有 g ,那么则有 Rf =0。
最后,我们要考虑一个重要概念,那就是 R 与 S 两算子的可对易性概念,即关系式 RS = SR 。
由 RS = SR 可知
S … SSR = S … SRS = S … RSS =…= RS … SS
即 R , S n 可对易( n = 1,2,…)。由于 R 1 = 1 R = R 且 S 0 =1,因此对于 n = 0也成立。若 S -1 存在,则有 S -1 · SR · S -1 = S -1 · RSS -1 ,又因为
S -1 · SR·S -1 = S -1 S·RS -1 = RS -1
S -1 · RS · S -1 = S -1 R · SS -1 = S -1 R
且因此又有 RS -1 = S -1 R 。所以, n =-1 以及因此 n =-2,-3,…也都是容许的。也就是说, R 与 S 的所有乘幂可对易。对其反复应用可知, R 的每个乘幂均与 S 的每个乘幂可对易。若 R 与 S , T 可对易,那么它显然与所有的 aS 可对易,并且也与所有的 S ± T , ST 可对易。综上所述可知,若 R , S 可对易,那么 R 的所有多项式与 S 的所有多项式均可对易。特别是当 R = S 时, R 的所有多项式彼此可对易。
[1]
例如,设
是一个
F
Ω
,其中
Ω
是所有实数
x
,-∞
<x<
∞的空间。
是一个泛函,即一个算子,但从我们所说的意义上讲,只对满足如下条件的
f
(
x
)进行定义。首先,它是可以微分的;其次,
有限(参见2.8节中更为详细的探讨)。
一般来说
自然是不存在的,并且
也不一定是有限的。例如:
就是以这样的方式存在。
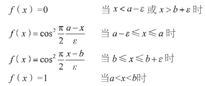
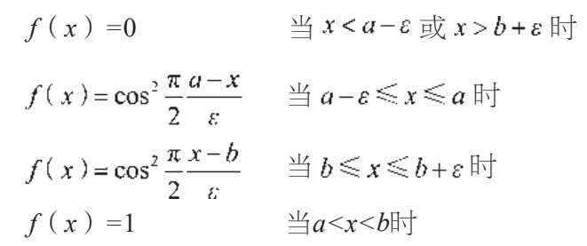
[2] 根据2.3节中的陈述(参见条件 E 部分的讨论),若我们可以任意近似以下函数的所有线性组合:在由有限个区间组成的集合中, f ( x )=1,在其他区间, f ( x )=0,则其为充分条件。若我们可以分别地近似这些函数中的每一个,则其为可能。若我们可以对那些具有单个单位区间(其他函数是此类函数的总和)的函数执行相同的操作,则这又是可能的。例如:设区间为 a<x<b 。函数
实际上满足了我们对正则性的要求,并且当 ε 足够小时,可以任意地近似于给定函数。
[3]
这种考虑并不严谨,因为它在无限和的情况下应用了线性性质等。但该情形可完善如下:设
,
,…为一个完全正交集,
A
,
A
*
为伴随算子。令
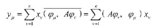
则有
根据定理7c
如果再设
,则我们将得到正文中的公式
并且其绝对收敛性是有保证的。
在序列
x
1
,
x
2
,…的希尔伯特空间中,序列
=1,0,0,…;
=0,1,0,…;…形成了一个完整的标准正交系(这很容易看出)。对
f
= {
x
1
,
x
2
,…},是
;对
Af
= {
y
1
,
y
2
,…},是
。这样就与正文部分完全一致。
若对 A * 构成 a * μv ,则我们可以看到
[4]
(
Af
,
f
)在任何情况下都是实数,因为
。
[5]
对于给定的
,
以及
都可以任意大。例如,取
,这三个积分都是有限的(
b
> 0 !),但是分别正比于
,
,
,因此,可以任意指定其中的两个值。
[6] R 的埃尔米特特性对于简化
是重要的(在第三步)。