购买
下载掌阅APP,畅读海量书库
立即打开
畅读海量书库
扫码下载掌阅APP

2.4 闭线性流形

2.2 节对我们而言至关重要,不仅因为该节对同构的证明,还因为该节对关于正交系的几个定理也进行了证明。现在我们想对希尔伯特空间的几何分析进行深入探究,并对闭线性流形进行详细研究。闭线性流形在 中所起的作用,与直线、平面等在 (即 m n 中所起的作用相类似。

我们首先回顾一下在定义 2 与定义 5 中所引入的记法:若 中的任意子集,则 表示由 张成的线性流形, 表示由 张成的闭线性流形,即包含 在内的两种最小表示的类型。

现在我们对这种记法进行扩展,将{ …, f g ,…}或[ …, f g ,…]分别理解成由 ,…和 f g ,…组合形成的集合所张成的线性流形或闭线性流形 (假定 ,…为 中任意子集, f g ,…为 中元素)

特别地,当 ,… (数量有限或无限) 是闭线性流形时,那么我们将闭线性流形[ ,…]记为 + …。而线性流形{ ,…}显然是由所有 f + g + … f 中遍取值, g 中遍取值) 的和组成的。而[ ,…]= + …是通过添加极限点而获得的。若只存在集合 ,其元素数量有限,且两集合中的每个元素均相互正交,则随后可知,这两种表示法是相对等的,但在一般情况下未必如此。

如果 的子集,那么我们要考虑 中所有与 的全部元素正交的那些元素。这显然也是一个闭线性流形,记为 。定理 14 将解释为什么用减法表示的原因。集合 包含所有 f ,且与整个 正交,因此其具有特殊的重要性。可将 称为“闭线性流形 的补”。

最后,我们选择了三个特别简单的闭线性流形:第一个是 本身;第二个是集合{ 0 }=[0],仅由零组成;第三个是由所有 af 组成的集合 f 中的给定元素, a 是变量) ,该集合显然是一个闭线性流形,因此它等于{ f }的同时,也等于[ f ]。

下面我们来介绍一下“投影算子”的概念。这一概念与欧几里得几何中使用的那个术语完全类似。

定理 10 为一个闭线性流形,则对于每个 f 而言,有且仅有一种方式将 f 分解为两个分量之和 f = g + h :其中 g 属于 ,而 h 属于

注:我们称 g 为“ f 中的投影”, h (与所有 正交) 是从 f 的垂线 (法线) ,我们为 g 引入符号

证明 ,…为标准正交系,因为定理 9 而存在,并张成闭线性流形 。我们将其记为 g = 。根据定理 6,该序列收敛 (若其为无限序列) ,该序列的和 g 显然属于 。又根据定理 6, h = f g 与所有 ,…正交,但由于与 h 正交的向量连同 ,…一起构成一个闭线性流形,所有 也与 h 正交,即 h 属于

如果还存在另一个解 f = 属于 h' 属于 ,那么 g + h = g' + h' g g ' = h' h = j 。于是 j 必须同时属于 ,因此与其自身正交,即( j j )= 0, j = 0,所以 g = g' h = h'

因此,运算 将其在 中的投影 分配给 中的每个 f 。在下一节中,我们将作出如下定义:算子 R 是在 的子集中定义的函数,其值来自 ,即 的某个 f 的某个 Rf 对应。 (不一定适用于所有 f 。对 的其他 f ,这种运算可能是无定义的,即“无意义”的。) 那么 中处处有定义的算子,称为 的“投影算子”,或仅称为 的“投影”。

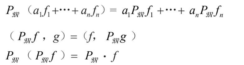
定理 11 算子 具有如下特性

是所有 值的集合,即所有 的集合,但是它也可被看作 = f 的所有解的集合,而 = 0的所有解的集合。

注:在后续部分中,我们将证明,本定理的第一个特性可以确定所谓的“线性算子”;第二个特性可以确定所谓的“埃尔米特算子”。第三个特性则表明:应用两次算子 与应用一次的效果相同。其通常记为:

证明

得到

因此

第一个结论得证。

对于第二个特性,设

则有 g' g" h' h" 正交,因此可得

即( g )=( f ),第二个结论得证。

最后, 属于 ,因此 = +0是定理 10 所保证的对 的分量分解,即 )= 。这就是第三个特性。

关系式 = f 或 0 表明,在分解 f = g + h 中, g 取自 h 取自 (根据定理 10) ,要么 f = g h = 0,要么 g = 0, f = h ,即 f 要么属于 ,要么属于 。这便是第五和第六个特性。根据定义,所有 都属于 ,并且 中所取的每个 f ' 都等于一个 :例如,据上所述,即等于 。这是第四个特性。

请注意,第二和第三个特性表明

下面我们将描述与 无关的投影算子的性质。

定理 12 为一个封闭线性流形,处处定义在 上的算子 E 是一个投影,即当且仅当其具有以下属性

Ef g )=( f Eg ), E 2 = E

(见定理 11 的注) E (根据定理 11) 唯一确定。

证明 根据定理 11,我们可以明显看出,该条件的必要性,以及 E 的确定。那么,我们仅需证明如果 E 具备上述特性,则存在一个满足 E = 的封闭线性流形 即可。

为由所有 Ef 张成的闭线性流形,则 g Eg 与所有 Ef 正交,即

Ef g Eg )=( Ef g )-( Ef Eg )=( Ef g )-( E 2 f g )=0

中的 g Eg 正交的所有元素形成了一个闭线性流形。因此它们包括 Ef ,那么则有 g Eg 属于 。从定理 10 的意义上讲, g 对于 的分解是 g = Eg +( g Eg ),因此 = Eg ,其中 g 为任意值。至此,整个定理都已被证明了。

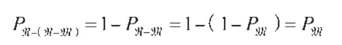
如果 = =[0],则分别有 =[0]或 ,因此根据定理 11, f = f + 0 或 0 + f 分别是分解。因此,分别有 = f 或 = 0。我们称 1为由 Rf = f 定义的算子 (处处有定义的算子) ,而 0 是由 Rf = 0 定义的算子。因此有 = 1, P [0] =0。此外显而易见的是,属于 的分解 f = g + h g 取自 f 取自 ,也以 f = h + g 的形式 h 取自 g 取自 有用 [这是因为 g 属于 ,它与 的每个元素正交,因此它属于 -( )] 。因此, = g = h = f - g ,即 = 1 f - 。关系式 = 1 f - 可以用符号 =1- 来表示 (对于算子的加、减、乘法运算,见定理 14 中的讨论)

需要注意:此前我们很容易就能认出 -( )的子集,但是很难直接证明这两个集合是等同的。这种等同性可由以下关系得到

而且,由上述还可知,如果 E 是一个投影算子,那么 1- E 也同样是一个投影,因为 1-(1- E )= E ,反之亦然。

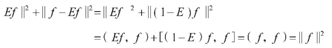
定理 13 以下关系恒成立: ,若 f 取自 ,则有 ;若 f 取自 ,则有

注:因此,特别有

即算子 E 是连续的 (见 2.1 节中定理 2 后面的讨论)

证明 我们有 (见定理 11 后面的讨论)

因为 1- E 也是一个投影算子

由于两个分量均≥ 0,所以它们也 ,特别是 。根据定理 11 可知, 表示 f 属于 这一事实。由上述关系可知, 就意味着 Ef = f ,因此,根据定理 11, f 属于

如果 R S 是两个算子,那么我们可以用 R ± S aR a 是一个复数) RS 来表示,由下式定义的算子

R ± S f = Rf ± Sf ,( aR f = a Rf ,( RS f = R Sf

并且应用以下自然记法

R 0 = 1, R 1 = R R 2 = RR R 3 = RRR ,…

在这里可以很容易地对行之有效的计算规则进行讨论。我们可以毫不费力地验证,对数字有效的所有基本计算定律,对于 均成立,但是对于 RS 并非如此。对分配律成立的验证是很容易的:( R ± S T = RT ± ST R S ± T )= RS ± RT (对于后者,当然 R 必须是线性的;详情见定理 11 的注,以及后一段中的讨论) 。结合律也是成立的:( RS T = R ST )= RST ,但是交换律 RS = SR 通常是不成立的。 [1] 如果该定律对两个特定的 R S 成立,则它们被称为“可对易”。例如 0 和 1 与处处有定义的所有 R 可对易:

R 0 = 0 R = 0, R 1 = 1 R = R

此外, R m R n 可对易,因为 R m R n = R m+n ,所以与 m n 的顺序无关。

定理 14 E F 为闭线性流形 的投影算子,那么当且仅当 E F 可对易,即当 EF = FE 时, EF 才是投影算子。此外, EF 属于闭线性流形 该闭线性流形是由 的共有元素组成的。当且仅当 EF = 0(或者等价地:当 FE =0)时,算子 E+F 才是投影算子。这意味着 中的所有元素都与 中的所有元素正交,那么 E + F 属于 = ,它在这种情况下等于 。当且仅当 EF = F (或等价地:当 FE = F 时,算子 E F 是投影算子。这就意味着 的一个子集,并且 E F 属于

证明 对于 EF ,我们必须重新审视定理 12 中的两个条件

EFf g )=( f EFg ),( EF 2 = EF

因为( EFf g )=( Ff Eg )=( f FEg ),所以第一个条件意味着

f EFg )=( f FEg ),[ f ,( EF FE g ]= 0

由于对所有的 f ,( EF FE g = 0 都成立,并且对所有的 g 也都成立,所以有 EF FE = 0, EF = FE 。因此,可对易性对于第一个条件而言是必要和充分的,也因此我们可以得到第二个条件

EF 2 = EFEF = EEFF = E 2 F 2 = EF

由于 E + F 恒满足第一个条件[( E + F f g ]=[ f ,( E + F g (因为 E F 均满足) ,那么我们只需要证明第二个条件( E + F 2 = E + F 。由于

E + F 2 = E 2 + F 2 + EF + FE = ( E + F )+( EF + FE

可知 EF + FE = 0。现在对于 EF = 0, EF 是一个投影算子。因此,由上述证明可知, EF = FE ,因此 EF + FE = 0。相反,由 EF + FE = 0 可以得到

E EF FE )= E 2 F EFE = EF EFE = 0

E EF + FE E = E 2 FE + EFE 2 = EFE + EFE = 2, EFE = 0

因此可得 EFE = 0,又因此 EF = 0,所以 EF = 0 是充分必要条件,且由于 E F 的作用相同, FE = 0 同样也是充分必要条件。

当且仅当 1-( E F )=(1- E +F =1 时, E F 才为投影算子。且由于 1- E F 均为投影算子,根据同样的证明可知,(1- E F = 0, F = EF = 0, EF = F 或等价的 F (1- E )= 0, F FE = 0, FE = F ,是 1- E F 为算子的特征。

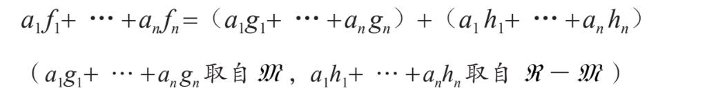
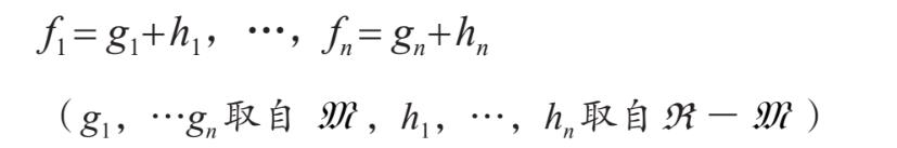
我们还要证明 E = F = )的相关命题。首先,设 EF = FE ,那么每个 EFf = FEf 都属于 二者,因此也属于 ,并且对于 中的每个 g ,有 Eg = Fg = g ,因此有 EFg = Eg = g ,即它具有 EFf 的形式。因此, EF 值的总和,根据定理 11 可知, EF = 。其次,设 EF = 0 (因此也有 FE =0) 。每个( E + F f = Ef + Ff 都属于{ },而且{ }中的每个 g 都等于 h + j h 取自 j 取自 ,因此 Eh = h Fh = FEh = 0, Fj = j Ej = EFj = 0。因此

E + F )( h + j )= Eh + Fh + Ej + Fj = h + j ,( E + F g = g

g 的形式为( E + F f 。因此,{ }是 E + F 值的全体,但由于 E + F 是一个投影算子,所以{ }是相应的闭线性流形 (见定理 11) 。由于{ }是封闭的,所以有{ } =[ ]= 。再次,设 EF = F (因此也有 FE = F ,那么 E = ,1- F = ,故 E F = E EF = E (1- F ),等于 ,其中 的交,即

最后, EF = 0 表示恒有( EFf g )= 0,即( Ff Eg )= 0,亦即整个 与整个 正交。并且 EF = F 表示 F (1- E )= 0,即所有 都与 正交,或者等同于: -( )= 的一个子集。

如果 的一个子集,那么对于 F = E = ,我们说 F E 的一部分:记为 E F F E (这就表明 EF = F ,或者 FE = F ,并且因此得出可对易性的结论。这可以通过对 的观察或直接计算得出。0 ≤ E ≤ 1 恒成立。由 E F F E 可知 E=F 。由 E F F G 可知 E G 。这具有按量值大小进行排序的特征。通过进一步观察可知, E F ,1- E ≥ 1- F ,以及与 1- F 正交的 E ,三者都是等价的。此外,若 E' E F' F ,则 E' F' 的正交性可由 E F 的正交性得出) 。如果 正交,则我们说 E F 也是正交的 (因此,这就表明 EF =0 或者 FE = 0) 。相反,若 E F 可对易,则我们说 也是可对易的。

定理 15 E F 等价于 的一般有效性。

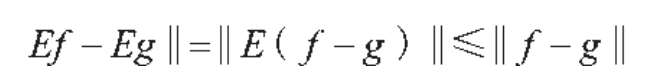
证明 E F 可知 E = EF ,因此 (见定理 13) 。反之,该定理有以下推论:如果 Ff = 0,那么 Ef = 0。现因 F (1- F f =( F F 2 f = 0,我们有与之相等同的 E (1- F f = 0,即 E (1- F )= E EF = 0, E = EF ,因此, E F

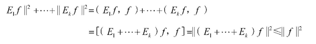
定理 16 为投影算子。则 E 1 +…+ E k 当且仅当所有 E m E l m l =1,…, k m l )相互正交时才是投影算子。另一个充分必要条件是(对于所有 f )满足以下关系

此外, E 1 +…+ E k E 1 = ,… E k = )是 +…+ = [ ,…, ]的投影算子,在这种情况下,[ ,…, ]=

证明 通过重复应用定理 14,我们可以推导出最后一个命题。第一个条件的充分性也是通过该方法得到的。如果能够满足第二个条件,则第一个条件也能得以满足。对于 m I E m f = f

但是由于 E m E m f )= E m f 等式成立,所以 E l E m f )= 0,即 E l E m = 0。最后,第二个条件是必要的:若 E 1 +…+ E k 是一个投影算子,则 (定理 13)

因此,我们有以下逻辑:

E 1 +…+ E k 是一个投影算子⇒第二条标准⇒第一条标准⇒ E 1 +…+ E k 是一个投影算子。

所以三者是等价的。

作为总结,我们证明以下关于投影算子的收敛定理。

定理 17 E 1 +…+ E k 为一个递增或递减的投影序列: E 1 E 2 ≤…或者 E 1 E 2 ≥…。若对于所有 f ,有 E n f Ef 成立,则这些投影算子序列收敛到投影算子 E ,并且对一切 n ,有 E n E 或者 E n E

证明 研究第二种情况就足够了,因为第一种情况可以通过将 1- E 1 ,1- E 2 ,…,1- E 替换为 E 1 E 2 E 3 ,…, E 来简化。故此,设 E 1 E 2 ≥…。根据定理 15, 因此存在 。那么对于每个 ε > 0,都存在一个 N=N ε ),使得对 m l N

现对于 m l E m E l ,算子 E m E l 是一个投影算子,因此有

由此得出 。因此,序列 E 1 f E 2 f ,…满足柯西收敛准则,并且具有一个极限 f * (见 2.1 节中的 D 。因此, Ef = f * 定义了一个处处有意义的算子。

由( E n f g )=( f E n g )可知,转变到极限状态后有( Ef g )=( f Eg ),而由( E n f E n g )=( E n f g )有( Ef Eg )=( Ef g )。因此( E 2 f g )=( Ef g ), E 2 = E 。因此 E 是一个投影算子。对于 l m 且当 l →∞时,我们得到 ,因此 E m E (定理 15)

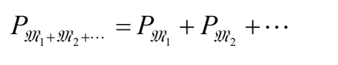
E 1 E 2 ,…为投影算子,其中每一对都相互正交,那么

E 1 E 1 + E 2 E 1 + E 2 + E 3 ,…

也都是投影算子,并且构成一个递增序列。根据定理 17,它们收敛到一个大于等于它们全体的投影算子,我们可以用 E=E 1 + E 2 +…来表示。设 E 1 = E 2 = ,…, E 1 + E 2 +…= 。因为 E m E ,所有 的一个子集,因此 还包括[ ,…]= + +…= 。反之,所有的 都是 的子集。因此有 E m = E' 。所以由于连续性 (见上述证明中的处理) E E' 。因此 的子集,进而 E = E' ,即 = + +…,或者换种方式记作

至此,我们结束了对投影算子的研究。

[1] RS f = R Sf )与( SR f = S Rf )不必彼此相等! Jcmqz2zl/6nTsbf3SJkgH5DUCXsHfI8CtStKUahvRL2zNPCXJ2bRSZg+fTEuHMM4

点击中间区域
呼出菜单
上一章
目录
下一章
×