



2.2 节对我们而言至关重要,不仅因为该节对同构的证明,还因为该节对关于正交系的几个定理也进行了证明。现在我们想对希尔伯特空间的几何分析进行深入探究,并对闭线性流形进行详细研究。闭线性流形在
中所起的作用,与直线、平面等在
(即
,
m
≤
n
)
中所起的作用相类似。
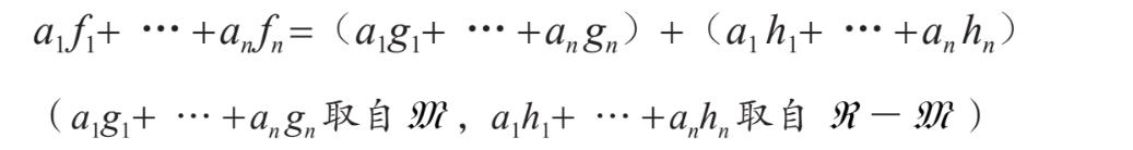
我们首先回顾一下在定义 2 与定义 5 中所引入的记法:若
为
中的任意子集,则
表示由
张成的线性流形,
表示由
张成的闭线性流形,即包含
在内的两种最小表示的类型。
现在我们对这种记法进行扩展,将{
…,
f
,
g
,…}或[
…,
f
,
g
,…]分别理解成由
,…和
f
,
g
,…组合形成的集合所张成的线性流形或闭线性流形
(假定
,…为
中任意子集,
f
,
g
,…为
中元素)
。
特别地,当
,…
(数量有限或无限)
是闭线性流形时,那么我们将闭线性流形[
,…]记为
+ …。而线性流形{
,…}显然是由所有
f
+
g
+ …
(
f
在
中遍取值,
g
在
中遍取值)
的和组成的。而[
,…]=
+ …是通过添加极限点而获得的。若只存在集合
和
,其元素数量有限,且两集合中的每个元素均相互正交,则随后可知,这两种表示法是相对等的,但在一般情况下未必如此。
如果
是
的子集,那么我们要考虑
中所有与
的全部元素正交的那些元素。这显然也是一个闭线性流形,记为
。定理 14 将解释为什么用减法表示的原因。集合
包含所有
f
,且与整个
正交,因此其具有特殊的重要性。可将
称为“闭线性流形
的补”。
最后,我们选择了三个特别简单的闭线性流形:第一个是
本身;第二个是集合{ 0 }=[0],仅由零组成;第三个是由所有
af
组成的集合
(
f
是
中的给定元素,
a
是变量)
,该集合显然是一个闭线性流形,因此它等于{
f
}的同时,也等于[
f
]。
下面我们来介绍一下“投影算子”的概念。这一概念与欧几里得几何中使用的那个术语完全类似。
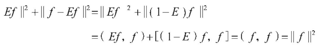
定理 10
设
为一个闭线性流形,则对于每个
f
而言,有且仅有一种方式将
f
分解为两个分量之和
f
=
g
+
h
:其中
g
属于
,而
h
属于
-
。
注:我们称
g
为“
f
在
中的投影”,
h
(与所有
正交)
是从
f
到
的垂线
(法线)
,我们为
g
引入符号
。
证明
设
,
,…为标准正交系,因为定理 9 而存在,并张成闭线性流形
。我们将其记为
g
=
。根据定理 6,该序列收敛
(若其为无限序列)
,该序列的和
g
显然属于
。又根据定理 6,
h
=
f
-
g
与所有
,
,…正交,但由于与
h
正交的向量连同
,
,…一起构成一个闭线性流形,所有
也与
h
正交,即
h
属于
-
。
如果还存在另一个解
f
=
属于
,
h'
属于
-
,那么
g
+
h
=
g'
+
h'
,
g
-
g '
=
h'
-
h
=
j
。于是
j
必须同时属于
和
-
,因此与其自身正交,即(
j
,
j
)= 0,
j
= 0,所以
g
=
g'
,
h
=
h'
。
因此,运算
将其在
中的投影
分配给
中的每个
f
。在下一节中,我们将作出如下定义:算子
R
是在
的子集中定义的函数,其值来自
,即
的某个
f
与
的某个
Rf
对应。
(不一定适用于所有
f
。对
的其他
f
,这种运算可能是无定义的,即“无意义”的。)
那么
是
中处处有定义的算子,称为
的“投影算子”,或仅称为
的“投影”。
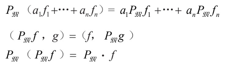
定理 11
算子
具有如下特性
是所有
值的集合,即所有
的集合,但是它也可被看作
=
f
的所有解的集合,而
-
是
= 0的所有解的集合。
注:在后续部分中,我们将证明,本定理的第一个特性可以确定所谓的“线性算子”;第二个特性可以确定所谓的“埃尔米特算子”。第三个特性则表明:应用两次算子
与应用一次的效果相同。其通常记为:
证明 由
得到
因此
第一个结论得证。
对于第二个特性,设
则有 g' , g" 与 h' , h" 正交,因此可得
即(
,
g
)=(
f
,
),第二个结论得证。
最后,
属于
,因此
=
+0是定理 10 所保证的对
的分量分解,即
(
)=
。这就是第三个特性。
关系式
=
f
或 0 表明,在分解
f
=
g
+
h
中,
g
取自
,
h
取自
-
(根据定理 10)
,要么
f
=
g
,
h
= 0,要么
g
= 0,
f
=
h
,即
f
要么属于
,要么属于
-
。这便是第五和第六个特性。根据定义,所有
都属于
,并且
中所取的每个
f '
都等于一个
:例如,据上所述,即等于
。这是第四个特性。
请注意,第二和第三个特性表明
下面我们将描述与
无关的投影算子的性质。
定理 12
设
为一个封闭线性流形,处处定义在
上的算子
E
是一个投影,即当且仅当其具有以下属性
( Ef , g )=( f , Eg ), E 2 = E
时
(见定理 11 的注)
,
由
E
(根据定理 11)
唯一确定。
证明
根据定理 11,我们可以明显看出,该条件的必要性,以及
E
对
的确定。那么,我们仅需证明如果
E
具备上述特性,则存在一个满足
E
=
的封闭线性流形
即可。
设
为由所有
Ef
张成的闭线性流形,则
g
-
Eg
与所有
Ef
正交,即
( Ef , g - Eg )=( Ef , g )-( Ef , Eg )=( Ef , g )-( E 2 f , g )=0
与
中的
g
-
Eg
正交的所有元素形成了一个闭线性流形。因此它们包括
和
Ef
,那么则有
g
-
Eg
属于
-
。从定理 10 的意义上讲,
g
对于
的分解是
g
=
Eg
+(
g
-
Eg
),因此
=
Eg
,其中
g
为任意值。至此,整个定理都已被证明了。
如果
=
或
=[0],则分别有
-
=[0]或
,因此根据定理 11,
f
=
f
+ 0 或 0 +
f
分别是分解。因此,分别有
=
f
或 = 0。我们称 1为由
Rf
=
f
定义的算子
(处处有定义的算子)
,而 0 是由
Rf
= 0 定义的算子。因此有
= 1,
P
[0]
=0。此外显而易见的是,属于
的分解
f
=
g
+
h
(
g
取自
,
f
取自
-
)
,也以
f
=
h
+
g
的形式
(
h
取自
-
,
g
取自
)
对
-
有用
[这是因为
g
属于
,它与
-
的每个元素正交,因此它属于
-(
-
)]
。因此,
=
g
,
=
h
=
f
-
g
,即
= 1
f
-
。关系式
= 1
f
-
可以用符号
=1-
来表示
(对于算子的加、减、乘法运算,见定理 14 中的讨论)
。
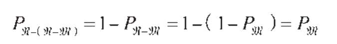
需要注意:此前我们很容易就能认出
是
-(
-
)的子集,但是很难直接证明这两个集合是等同的。这种等同性可由以下关系得到
而且,由上述还可知,如果 E 是一个投影算子,那么 1- E 也同样是一个投影,因为 1-(1- E )= E ,反之亦然。
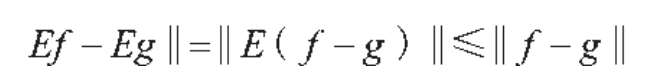
定理 13
以下关系恒成立:
,
,若
f
取自
-
,则有
;若
f
取自
,则有
。
注:因此,特别有
即算子 E 是连续的 (见 2.1 节中定理 2 后面的讨论) 。
证明 我们有 (见定理 11 后面的讨论)
因为 1- E 也是一个投影算子
由于两个分量均≥ 0,所以它们也
,特别是
,
。根据定理 11 可知,
,
表示
f
属于
-
这一事实。由上述关系可知,
就意味着
,
Ef
=
f
,因此,根据定理 11,
f
属于
。
如果 R , S 是两个算子,那么我们可以用 R ± S , aR ( a 是一个复数) , RS 来表示,由下式定义的算子
( R ± S ) f = Rf ± Sf ,( aR ) f = a - Rf ,( RS ) f = R ( Sf )
并且应用以下自然记法
R 0 = 1, R 1 = R , R 2 = RR , R 3 = RRR ,…
在这里可以很容易地对行之有效的计算规则进行讨论。我们可以毫不费力地验证,对数字有效的所有基本计算定律,对于
均成立,但是对于
RS
并非如此。对分配律成立的验证是很容易的:(
R
±
S
)
T
=
RT
±
ST
和
R
(
S
±
T
)=
RS
±
RT
(对于后者,当然
R
必须是线性的;详情见定理 11 的注,以及后一段中的讨论)
。结合律也是成立的:(
RS
)
T
=
R
(
ST
)=
RST
,但是交换律
RS
=
SR
通常是不成立的。
[1]
如果该定律对两个特定的
R
,
S
成立,则它们被称为“可对易”。例如 0 和 1 与处处有定义的所有
R
可对易:
R 0 = 0 R = 0, R 1 = 1 R = R
此外, R m , R n 可对易,因为 R m R n = R m+n ,所以与 m , n 的顺序无关。
定理 14
设
E
,
F
为闭线性流形
的投影算子,那么当且仅当
E
与
F
可对易,即当
EF
=
FE
时,
EF
才是投影算子。此外,
EF
属于闭线性流形
该闭线性流形是由
与
的共有元素组成的。当且仅当
EF
= 0(或者等价地:当
FE
=0)时,算子
E+F
才是投影算子。这意味着
中的所有元素都与
中的所有元素正交,那么
E
+
F
属于
=
,它在这种情况下等于
。当且仅当
EF
=
F
(或等价地:当
FE
=
F
)
时,算子
E
-
F
是投影算子。这就意味着
是
的一个子集,并且
E
-
F
属于
。
证明 对于 EF ,我们必须重新审视定理 12 中的两个条件
( EFf , g )=( f , EFg ),( EF ) 2 = EF
因为( EFf , g )=( Ff , Eg )=( f , FEg ),所以第一个条件意味着
( f , EFg )=( f , FEg ),[ f ,( EF - FE ) g ]= 0
由于对所有的 f ,( EF - FE ) g = 0 都成立,并且对所有的 g 也都成立,所以有 EF - FE = 0, EF = FE 。因此,可对易性对于第一个条件而言是必要和充分的,也因此我们可以得到第二个条件
( EF ) 2 = EFEF = EEFF = E 2 F 2 = EF
由于 E + F 恒满足第一个条件[( E + F ) f , g ]=[ f ,( E + F ) g ] (因为 E , F 均满足) ,那么我们只需要证明第二个条件( E + F ) 2 = E + F 。由于
( E + F ) 2 = E 2 + F 2 + EF + FE = ( E + F )+( EF + FE )
可知 EF + FE = 0。现在对于 EF = 0, EF 是一个投影算子。因此,由上述证明可知, EF = FE ,因此 EF + FE = 0。相反,由 EF + FE = 0 可以得到
E ( EF + FE )= E 2 F + EFE = EF + EFE = 0
E ( EF + FE ) E = E 2 FE + EFE 2 = EFE + EFE = 2, EFE = 0
因此可得 EFE = 0,又因此 EF = 0,所以 EF = 0 是充分必要条件,且由于 E , F 的作用相同, FE = 0 同样也是充分必要条件。
当且仅当 1-( E - F )=(1- E ) +F =1 时, E - F 才为投影算子。且由于 1- E , F 均为投影算子,根据同样的证明可知,(1- E ) F = 0, F = EF = 0, EF = F 或等价的 F (1- E )= 0, F - FE = 0, FE = F ,是 1- E , F 为算子的特征。
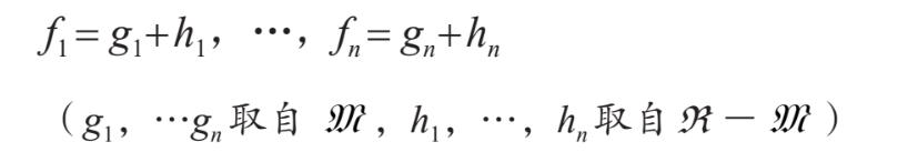
我们还要证明
,
(
E
=
,
F
=
)的相关命题。首先,设
EF
=
FE
,那么每个
EFf
=
FEf
都属于
和
二者,因此也属于
,并且对于
中的每个
g
,有
Eg
=
Fg
=
g
,因此有
EFg
=
Eg
=
g
,即它具有
EFf
的形式。因此,
是
EF
值的总和,根据定理 11 可知,
EF
=
。其次,设
EF
= 0
(因此也有
FE
=0)
。每个(
E
+
F
)
f
=
Ef
+
Ff
都属于{
,
},而且{
,
}中的每个
g
都等于
h
+
j
,
h
取自
,
j
取自
,因此
Eh
=
h
,
Fh
=
FEh
= 0,
Fj
=
j
,
Ej
=
EFj
= 0。因此
( E + F )( h + j )= Eh + Fh + Ej + Fj = h + j ,( E + F ) g = g
则
g
的形式为(
E
+
F
)
f
。因此,{
,
}是
E
+
F
值的全体,但由于
E
+
F
是一个投影算子,所以{
,
}是相应的闭线性流形
(见定理 11)
。由于{
,
}是封闭的,所以有{
,
} =[
,
]=
+
。再次,设
EF
=
F
(因此也有
FE
=
F
)
,那么
E
=
,1-
F
=
,故
E
-
F
=
E
-
EF
=
E
(1-
F
),等于
,其中
是
与
-
的交,即
-
。
最后,
EF
= 0 表示恒有(
EFf
,
g
)= 0,即(
Ff
,
Eg
)= 0,亦即整个
与整个
正交。并且
EF
=
F
表示
F
(1-
E
)= 0,即所有
都与
-
正交,或者等同于:
是
-(
-
)=
的一个子集。
如果
是
的一个子集,那么对于
F
=
,
E
=
,我们说
F
是
E
的一部分:记为
E
≥
F
或
F
≤
E
(这就表明
EF
=
F
,或者
FE
=
F
,并且因此得出可对易性的结论。这可以通过对
,
的观察或直接计算得出。0 ≤
E
≤ 1 恒成立。由
E
≤
F
,
F
≤
E
可知
E=F
。由
E
≤
F
,
F
≤
G
可知
E
≤
G
。这具有按量值大小进行排序的特征。通过进一步观察可知,
E
≤
F
,1-
E
≥ 1-
F
,以及与 1-
F
正交的
E
,三者都是等价的。此外,若
E'
≤
E
,
F'
≤
F
,则
E'
,
F'
的正交性可由
E
,
F
的正交性得出)
。如果
与
正交,则我们说
E
,
F
也是正交的
(因此,这就表明
EF
=0 或者
FE
= 0)
。相反,若
E
,
F
可对易,则我们说
,
也是可对易的。
定理 15
E
≤
F
等价于
的一般有效性。
证明
由
E
≤
F
可知
E
=
EF
,因此
(见定理 13)
。反之,该定理有以下推论:如果
Ff
= 0,那么
,
Ef
= 0。现因
F
(1-
F
)
f
=(
F
-
F
2
)
f
= 0,我们有与之相等同的
E
(1-
F
)
f
= 0,即
E
(1-
F
)=
E
-
EF
= 0,
E
=
EF
,因此,
E
≤
F
。
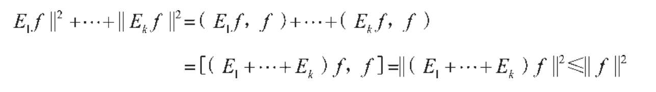
定理 16
设
为投影算子。则
E
1
+…+
E
k
当且仅当所有
E
m
,
E
l
(
m
,
l
=1,…,
k
;
m
≠
l
)相互正交时才是投影算子。另一个充分必要条件是(对于所有
f
)满足以下关系
此外,
E
1
+…+
E
k
(
E
1
=
,…
E
k
=
)是
+…+
= [
,…,
]的投影算子,在这种情况下,[
,…,
]=
。
证明 通过重复应用定理 14,我们可以推导出最后一个命题。第一个条件的充分性也是通过该方法得到的。如果能够满足第二个条件,则第一个条件也能得以满足。对于 m ≠ I , E m f = f 有
但是由于 E m ( E m f )= E m f 等式成立,所以 E l ( E m f )= 0,即 E l E m = 0。最后,第二个条件是必要的:若 E 1 +…+ E k 是一个投影算子,则 (定理 13)
因此,我们有以下逻辑:
E 1 +…+ E k 是一个投影算子⇒第二条标准⇒第一条标准⇒ E 1 +…+ E k 是一个投影算子。
所以三者是等价的。
作为总结,我们证明以下关于投影算子的收敛定理。
定理 17 设 E 1 +…+ E k 为一个递增或递减的投影序列: E 1 ≤ E 2 ≤…或者 E 1 ≥ E 2 ≥…。若对于所有 f ,有 E n f → Ef 成立,则这些投影算子序列收敛到投影算子 E ,并且对一切 n ,有 E n ≤ E 或者 E n ≥ E 。
证明
研究第二种情况就足够了,因为第一种情况可以通过将 1-
E
1
,1-
E
2
,…,1-
E
替换为
E
1
,
E
2
,
E
3
,…,
E
来简化。故此,设
E
1
≥
E
2
≥…。根据定理 15,
因此存在
。那么对于每个
ε
> 0,都存在一个
N=N
(
ε
),使得对
m
,
l
≥
N
现对于 m ≤ l , E m ≥ E l ,算子 E m - E l 是一个投影算子,因此有
由此得出
。因此,序列
E
1
f
,
E
2
f
,…满足柯西收敛准则,并且具有一个极限
f
*
(见 2.1 节中的
D
)
。因此,
Ef
=
f
*
定义了一个处处有意义的算子。
由(
E
n
f
,
g
)=(
f
,
E
n
g
)可知,转变到极限状态后有(
Ef
,
g
)=(
f
,
Eg
),而由(
E
n
f
,
E
n
g
)=(
E
n
f
,
g
)有(
Ef
,
Eg
)=(
Ef
,
g
)。因此(
E
2
f
,
g
)=(
Ef
,
g
),
E
2
=
E
。因此
E
是一个投影算子。对于
l
≥
m
,
且当
l
→∞时,我们得到
,因此
E
m
≥
E
(定理 15)
。
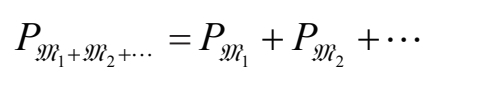
若 E 1 , E 2 ,…为投影算子,其中每一对都相互正交,那么
E 1 , E 1 + E 2 , E 1 + E 2 + E 3 ,…
也都是投影算子,并且构成一个递增序列。根据定理 17,它们收敛到一个大于等于它们全体的投影算子,我们可以用
E=E
1
+
E
2
+…来表示。设
E
1
=
,
E
2
=
,…,
E
1
+
E
2
+…=
。因为
E
m
≤
E
,所有
是
的一个子集,因此
还包括[
,
,…]=
+
+…=
。反之,所有的
都是
的子集。因此有
E
m
≤
=
E'
。所以由于连续性
(见上述证明中的处理)
,
E
≤
E'
。因此
是
的子集,进而
,
E
=
E'
,即
=
+
+…,或者换种方式记作
至此,我们结束了对投影算子的研究。
[1] ( RS ) f = R ( Sf )与( SR ) f = S ( Rf )不必彼此相等!