



我们还需对 1.4 节文末的命题 b进行验证:即
F
z
与
F
Ω
确实满足条件
A
~
E
。对此,我们只考虑
F
Ω
就足够了。因为在 2.2 节中,我们已经作过如下证明:在条件
A
~
E
下,
的所有属性必须与
,即
F
z
相等同,因此条件
A
~
E
也必须对
F
z
有效。此外,我们将证明在 2.2 节中所提及的条件
D
,
E
相对于
A
~
C
(
n
)
的独立性,以及它们遵循
A
~
C
(
n
)
的事实,即它们在
中成立。这三个纯数学问题构成了本章研究的主题。
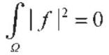
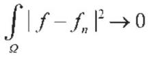
我们首先在 F Ω 中验证条件 A ~ E 。为此,我们必须介绍勒贝格积分的概念。关于勒贝格积分的基础知识,请参考与该主题相关的专著 (勒贝格积分的相关知识仅对本章而言十分重要,对于后续章节而言并不需要了解它) 。
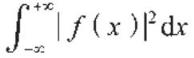
在 1.4 节,我们介绍过 Ω 是 q 1 ,…, q k 的 k 维空间, F Ω 是积分
有限的所有函数 f ( q 1 ,…, q k )所构成的空间。我们现在允许所有的 q 1 ,…, q k 在-∞到 +∞之间变化。如果限制 q 1 ,…, q k 的变化范围 (例如,使 Ω 成为半个空间,或位于立方体的内部,或位于球体内部,或位于这些图形的外部,等等) ,即便选择使 Ω 成为曲面 (例如球体表面等) ,我们所得的推论仍然会有效,甚至在很大程度上连证明步骤都可以逐字保留。但是,为了不迷失在不必要的复杂性之中 (读者可以毫无困难地借助我们所给出的典型例证自行讨论) ,我们将其限制为刚才提到的最简单情况。下面我们将以此处理条件 A ~ E 。
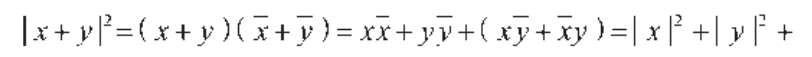
对 A ,我们必须证明:若 f , g 属于 F Ω ,则 af , f ± g 也属于 F Ω ,即若
(
我们将
,
按上式缩写,这样就不会产生混淆)
是有限的,则
也是有限的。第一种情况是平凡的;第二种情况因为
,只要能够确定
的有限性,那么第二种情况即可成立。但是由于
[1]
故由假设可直接得到结论。
对
B
,我们将(
f
,
g
)定义为
。如前所述,该积分是绝对收敛的。除了最后一个属性(
f
,
f =
0)表明
f
≡ 0 以外,
B
中假设的所有属性显然均成立。现有(
f
,
f
)= 0 表明
,因此,能使
的点集,即使
f
(
q
1
,…,
q
k
)≠0 的点集,必有勒贝格测度为零。如果我们现在考虑的两个函数
f
,
g
仅在勒贝格测度为零的集合
q
1
,…,
q
k
上不相等
[即
f
(
q
1
,…,
q
k
)≠
g
(
q
1
,…,
q
k
)]
,则二者在本质上并无不同
,因此我们可以断言
f
≡ 0。
对
C
,设
O
1
,…,
O
n
为
Ω
中的
n
个区域,并且两两之间并没有共同点,另设每个区域的勒贝格测度均大于零但有限。令
f
l
(
q
1
,…,
q
k
)在
O
l
中为 1,在
O
l
外为零。由于
等于
O
l
的测度,
f
e
属于
F
Ω
(
l
=1,…,
n
),这些
f
1
,…,
f
n
是线性无关的。对于
a
1
f
1
+…+
a
n
f
n
≡ 0 而言,左边的函数仅在一组测度为零的集合上不为零。因此,它在每个
O
l
中都有根,但由于它在
O
l
中是一个常数
a
l
,因此,
a
l
= 0,
l
= 1,…,
m
。该结构对所有
n
成立,故
C
(∞)
成立。
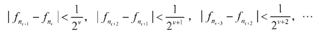
对
D
,设序列
f
1
,
f
2
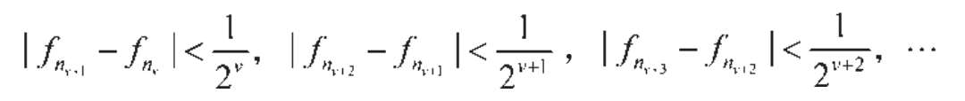
,…满足柯西收敛准则,即对于每个
ε
> 0,均存在一个
N
=
N
(
ε
),当
m
,
n
≥
N
时,使得
。我们选择
;
;
n
3
≥
n
1
,
n
2
,
;…则
n
1
≤
n
2
≤…;
,因此
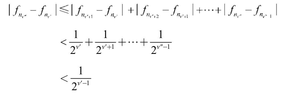
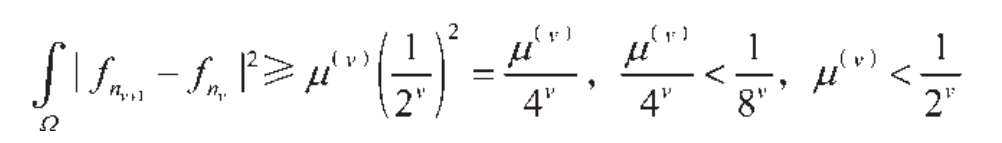
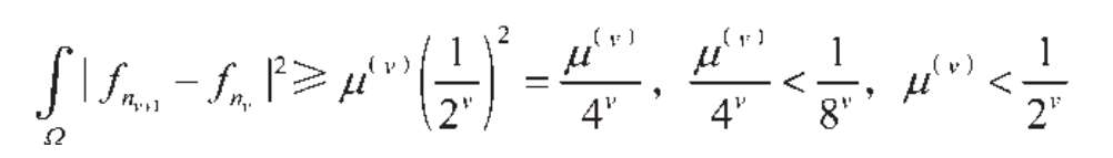
现在让我们考虑满足
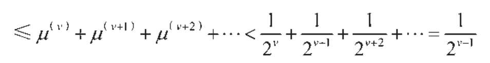
的所有点的集合 P ( v ) ,若其勒贝格测度为 μ ( v ) ,则
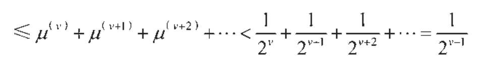
让我们再考虑由 P ( v ) , P ( v +1) ), P ( v +2) ,…的并集组成的集合 Q ( v ) ,其勒贝格测度为
在 Q ( v ) 以外,满足
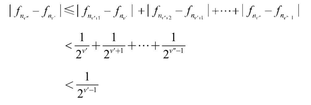
因此,一般来说,对于 v ≤ v' ≤ v"
当
v'
→∞时,上式独立于
v"
趋近于零,即当
q
1
,…,
q
k
不在
Q
(
v
)
中时,序列
满足柯西准则。因为我们处理的是数值序列
(对固定的
q
1
,…,
q
k
而言)
,所以该序列也是收敛的。因此反言之:若序列
对某个特定
q
1
,…,
q
k
不收敛,则该序列位于
Q
(
v
)
之中。设不收敛的所有
q
1
,…,
q
k
的集合为
Q
,则
Q
是
Q
(
v
)
的子集,因此其测度不会大于
Q
(
v
)
的测度,即
。虽然对
Q
的定义与
v
无关,但该测度关系必定对所有的
v
成立。因此,
Q
的勒贝格测度为零。因此,如令
Q
中的所有
f
n
为零,上述结论不变。但随后
也在
Q
中收敛,从而处处收敛。
这样一来,我们得到在所有点
q
1
,…,
q
k
处收敛的
f
1
,
f
2
,…的子序列
(对
f
1
,
f
2
,…不必如此)
。设
的极限为
f
=
f
(
q
1
,…,
q
k
)。那么接下来我们必须证明:
a
f
属于
F
Ω
,即
是有限的;
b
f
是
的极限,不仅从对每个
q
1
,…,
q
k
收敛的意义上讲,也从希尔伯特空间“长度收敛”的意义上讲,即
或者
c 从这个意义上讲,它也是整个序列
f
1
,
f
2
,…的极限,即
或者
。
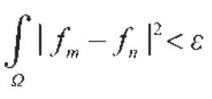
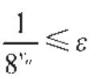
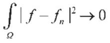
令
ε
> 0,并设
v
0
满足
(例如
)
,且
v
≥
v
o
,
则
。若我们设
v
→∞,则被积函数趋近于
,因此
(根据勒贝格积分的收敛定理)
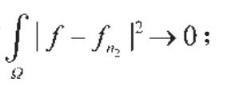
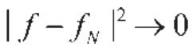
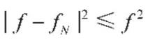
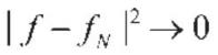
。所以,首先
是有限的,即
f
-
f
n
属于
F
Ω
;又因
f
n
属于
F
Ω
,故
f
也属于
F
Ω
。于是,得以证明a。其次,由上述不等式得出,当
n
→∞时,
,即得以证明 b和 c。
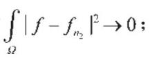
对 E ,我们必须确定一个在 F Ω 中处处稠密的函数序列 f 1 , f 2 ,…。
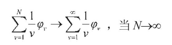
设 Ω 1 , Ω 2 ,…为 Ω 中的一系列区域,每个区域都有一个有限测度,且它们整体上覆盖了整个 Ω 。 (例如:设 Ω N 为以原点为中心,半径为 N 的球体。) 设 f = f ( q 1 ,…, q k )是 F Ω 的任意元素。我们为每个 N = 1,2,…定义一个 f N = f N ( q 1 ,…, q k ):
对
N
→∞,
f
N
(
q
1
,…,
q
k
)→
f
(
q
1
,…,
q
k
)
(从某个
N
开始,得到的是等式)
,因此
。进而
f
-
f
N
= 0 或
f
,因此
。因此积分
被
(有限)
主导。由于被积函数趋近于零,积分也趋近于零
(见上文所引用的收敛定理)
。
设所有函数 g = g ( q 1 ,…, q k )的函数类为 G 。其中,当 g ≠0 时,所有点的集合具有有限测度,并且对任意固定常数 C,在整个空间中不等式| g | ≤C成立。上述 f N 都属于 G 。因此, G (在 F Ω 中) 处处稠密。
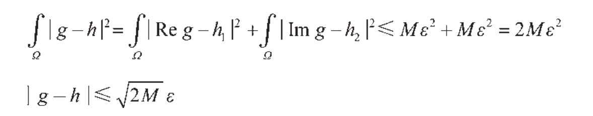
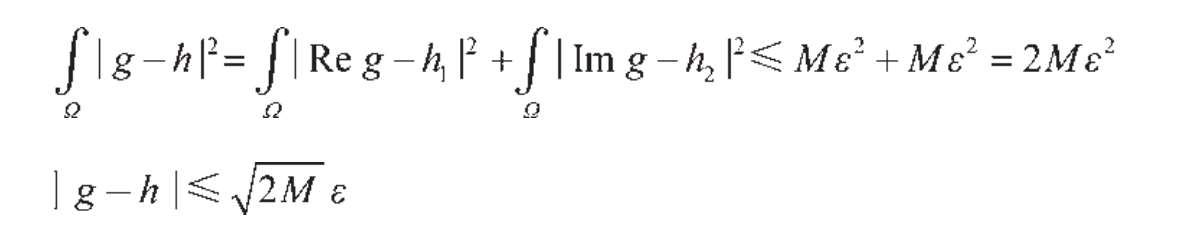
设
g
属于
G
,
ε
> 0。设
g
≠0 集合的测度为
M
,且
的上限为 C。我们选择一系列有理数-C <
ρ
1
<
ρ
2
<…<
ρ
t
< C使得
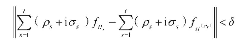
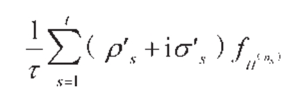
成立,这很容易做到。现在我们把每个 Re g ( q 1 ,…, q k )的值更改为最接近的 ρ σ =( s =1,2,…, t )值,但是零仍为零。然后可以得到一个新函数 h 1 ( q 1 ,…, q k ,),该函数与 Reg 的差异处处小于 ε 。同理,我们为Im g 构造一个函数 h 2 ( q 1 ,…, q k ,)。那么对于 h = h 1 +i h 2 有
如果给定
δ
> 0,然后我们设
,于是有
。
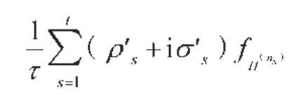
设所有函数类为 h = h ( q 1 ,…, q k ), h 只取有限个不同值。实际上,只有那些 ρ +i σ 的形式被称为 H 。其中 ρ , σ 为有理数,并且除了零以外,它们只在有限测度的集合上取值。上述 h 属于 H ,因此 H 在 G 中处处稠密,且在 F Ω 中也是如此。
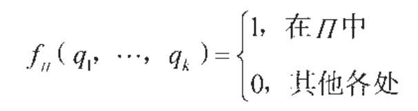
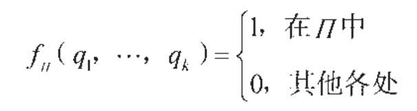
设 Ⅱ 为一个勒贝格测度有限的集合。我们现定义函数 f Π = f Π ( q 1 ,…, q k )如下
函数类 H 显然包括所有
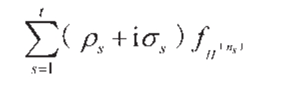
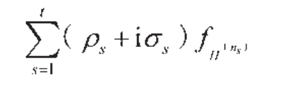
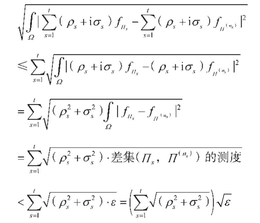
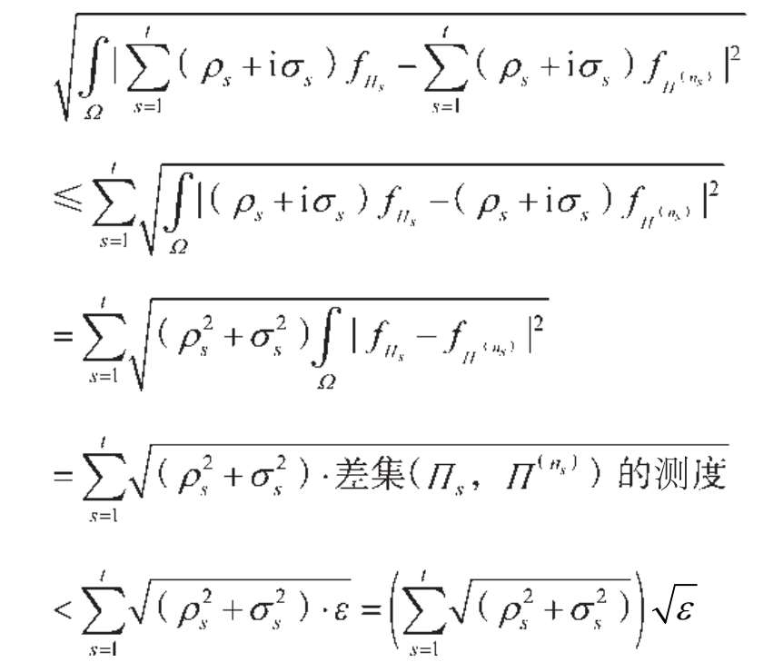
我们现在寻找一个 Π (1) , Π (2) ,…,该序列具有以下特性:对于每个 Π- 集合,及每个 ε > 0,均存在一个 Π ( n ) ,使得那些属于 Π 但不属于 Π ( n ) ,或属于 Π ( n ) 但不属于 Π 的所有点的集合的测度小于 ε (这个集合被称为 Π 的差集 Π ( n ) ) 。若我们有这样一个序列,则
( t =1,2,…; ρ s , σ s 为有理数, n s =1,2,…) 在 H 中处处稠密:因为如果我们根据上述讨论为每个 Π s 选择 Π ( ns ) ,那么
如果给定 σ > 0,则
导致以下结果
但是
若经过适当排序,可形成一个序列。这可以通过以下方式完成。设所有
ρ
1
,
σ
1
,…,
ρ
t
,
σ
t
的公共分母为
τ
,新的分子分别为
…,
则关系式就变成了
其中,对
s
= 1,…,
t
,有
t
,
τ
= 1,2,…;
= 0,±1,±2,…,
n
s
= 1,2,…。把这些函数排成一个序列所面临的问题,与把整数
t
,
τ
,
,…,
n
1
,…,
n
t
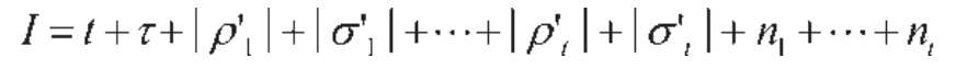
进行排序所面临的问题相同。在这些数字复合体中,把那些正整数
具有相同值的划为一组。然后把这些组根据其指数 I 升序排列。显然每个这样的组 (具有固定的 I ) 都由有限个上文所述的复合体组成。若我们现在对每一组有限集合以任意顺序排列,实际上我们已经获得了一个包含所有复合体的简单序列。
为了确定上述集合的序列
Π
(1)
,
Π
(2)
,…,我们利用了以下事实:对于每个具有有限勒贝格测度
M
的集合
Π
,并且对每个
δ >
0 存在一个开点集
Π'
,它覆盖
Π
但其测度超过的部分小于
δ
。对于每个开点集
Π'
与给定的
δ >
0,显然存在一个由有限个立方体组成的集合
Π"
,它包含在
Π'
之中,并且其测度比
Π'
的测度小
δ
。我们显然可以对这些立方体的边缘长度及其中心坐标进行合理选择。现在我们很容易认识到,上面所定义的
Π'
与
Π"
的“差集”的测度小于
δ
+
δ
=2
δ
。因此,对于
差集的测度小于
ε
。若我们可以把上述类型的立方体集合进行序列排序,则就实现了我们的目标。
现在我们可以通过立方体的编号
n
= 1,2,…,连同它们的边长
κ
(
v
)
,以及它们中心点的坐标
把这些立方体的集合特征化,其中
κ
(
v
)
,
是有理数。设它们的公共分母
(对所有
v
= 1,…
n
)
为
η
= 1,2,…,它们的分子为
因此,我们的立方体集合可以用数字复合体
来表征。如果我们按照以下正整数指标的升序排列
则我们得到一个简单序列,与之前函数线性组合的类似情况完全一样。
在继续讨论前,让我们先解答以下问题:对于满足条件
A
~
E
[及C
(∞)
]
的给定
的子集
是否仍然满足条件
A
~
E
[在
af
,
f
±
g
以及(
f
,
g
)
定义不变的条件下
]?
为了使
A
成立,
必须是一个线性流形,
B
自动有效。我们暂且搁置
C
,在任何情况下都有
C
(
n
)
或者
C
(∞)
成立。
D
表示:若
中某一序列满足柯西收敛准则,则它在
中有一个极限。由于这样的序列肯定会在
中有一个极限,因此
D
仅表明该极限也属于
,即
必须为闭集。正如我们在定理 9 的证明中所见,条件
E
始终成立。因此,我们可以作如下总结:
必须是一个闭线性流形。我们将张成空间
的标准正交系
(定理 9)
记为
,
,…。若其为无限集,那么显然
C
(∞)
成立,并且
与
同构,因此
与
本身同构;若该序列终止于
,那么
C
(
n
)
成立[根据定理 3
(
n
)
],即
与
同构。
但由于在任何情况下,
D
,
E
在
中均成立,在每个
中也都成立。因此,它们也可由
A
~
C
(
n
)
得到。
诚如所见,我们避免在
或
中对
A
~
E
[以及
C
(
n
)
或
C
(
∞
)
]直接验证,而是通过间接的逻辑论证完成验证。但通过直接的分析性论证也不会产生本质上的困难。这部分或许可以留给读者去证明。
我们仍需证明
D
,
E
与
A
~
C
(∞)
无关。正如我们前面所见,在
中的每个线性流形均满足
A
,
B
,
E
,以及
C
(
n
)
或
C
(∞)
,如果它并非闭线性流形,那么
D
不满足。在这种情况下,
C
(∞)
必定成立,因为
D
是由
C
(
n
)
得来的。现在要构建这样一个非闭线性流形并不难。设
,
,…为标准正交系,则
(
N
=1,2,…;
x
1
,…,
x
N
任意)
构成一个线性流形,但该线性流形是非封闭的,因为
[
有限
]是一个极限点,但不是该线性流形中的一个元素
因此, D 与 A ~ C ∞ , E 无关。
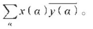
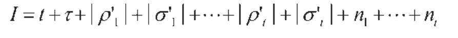
接下来让我们考虑一下参数
α
为连续值的所有复函数
x
(
α
)<-∞<
α
< +∞,此外,假定可将
x
(
α
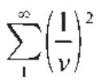
)≠0 写成一个序列,使覆盖这些项的和
为有限的
[2]
。所有这些
x
(
α
)函数形成一个空间
。因为对于这个空间的任意两个点
x
(
α
),
y
(
α
),仅对两个
α
序列有
x
(
α
)或
y
(
α
)≠0,并且由于我们可以将这两个序列连接成为一个序列:
x
(
α
)=
y
(
α
)= 0,某个特定的
α
序列
α
1
,
α
2
,…除外。因此,我们只需要对所有
n
= 1,2,…时的值
x
n
=
x
(
α
n
),
y
n
=
y
(
α
n
)进行讨论即可。若仅有两个
点出现,它们的行为便都与在
中的行为相同。因此,
A
,
B
在
中与在
中一样成立
[3]
。对于
k
(=1,2,…),
点也是如此,因此
C
∞
也一样成立。此外,对
点形成的序列也是同样如此。考虑
x
1
(
α
),
x
2
(
α
),…,满足
x
n
(
α
)≠0 的
α
对每个
n
= 1,2,…构成一个序列:
α
1
(
n
)
,
α
2
(
n
)
,…。这些序列共同构成一个二重序列
α
m
(
n
)
(
n
,
m
= 1,2,…),也可以写成一个简单序列:
α
1
(1)
,
α
2
(1)
,
α
1
(2)
,
α
3
(1)
,
α
2
(2)
,
α
1
(3)
,…。因此,
D
在
中成立,在
中也成立。对于
E
则有所不同。在那种情况下,
中所有的点都起作用
(所有的点必须是一个适当序列的极限点)
,因此,我们不能从
推理到
。此外,该条件实际上并不能得以满足,因为由其推导的一条推论是无效的,即存在一个不能被写成序列的标准正交系
(与定理 3
(∞)
相矛盾)
。
设对每个 β 有
对于任一
β
,
x
β
(
α
)是
的一个元素,并且
x
β
(
α
)形成了一个标准正交系。但当且仅当其对所有
β
>-∞,
β
< +∞都可能时,它们才能被写成一个序列。而这一点,众所周知不是总能成立的
。因此,
E
也独立于
A
~
C
(∞)
,
D
。
[此外还应注意,在
有限的
f
(
x
)的函数空间与
有限的
x
(
α
)的函数空间之间的根本区别。我们也可以把前者看作
所有
x
(
α
)的有限空间。所有区别在于用
代替了
,而且所命名的第一个空间是
F
Ω
,因此其满足
A
~
E
,且与
同构;而后者,
违反
E
,且与
存在本质上的不同。尽管如此,两个空间除对大小的定义不同以外,二者是相同的!]
[1]
一般来说,
。
[2] 虽然 α 连续变化,但这是求和,而不是积分,因为只有 α 的一个序列出现在求和中!
[3]
我们很自然地将[
x
(
α
),
y
(
α
)]定义为