



我们从两个定义讲起。第一个定义包含了研究所需的三角学知识——直角的概念,即正交性,可以满足我们的研究目的。
定义 4
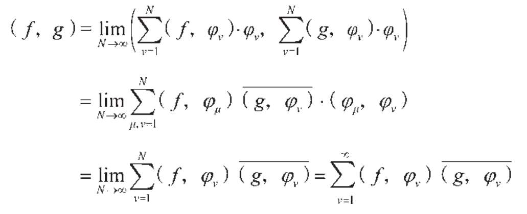
若(
f
,
g
)= 0,则
中的两个
f
,
g
是正交的。若
中的每个元素均与
中的每个元素成正交关系,则线性流形
与线性流形
成正交。若对于
的所有
f
,
g
均有
(每对元素都是正交的,且每个元素的长度均为 1
[1]
)
。此外,若
并非任何正规空间的子集,不包含其他元素,则集合
是完全的
[2]
。
我们还进一步注意到:正交系的完全性明显地表示,显然不存在与整个
正交,且
的
f
。但是,假若
f
不为零,且与整个
正交,那么对于
(当然,
)
,上述所有条件均将得以满足
f '
与整个
正交。因此,
的完全性意味着与整个
正交的每个
f
必须为零。
第二个定义只是在
中至关重要,因为在
中,每个线性流形都是其自身所描述的类型
(见 2.3 节末尾)
。因此,我们无法给出反映其含义的直观几何图。
定义 5
同时也是封闭的线性流形称为“闭线性流形”。若
是
中的任意集合,且我们将其所有的极限点添加至
,那么我们将会得到一个包含
的闭线性流形。该线性流形同时也是其他包含
的任意闭线性流形的子集
[3]
。我们称其为“由
张成的闭线性流形”,并用符号
表示。
现在我们将继续对
进行更加详细的分析,尤其是对完全正交集的深入分析。对于除
A
,
B
以外,还需要
C
(
n
)
或
C
(
∞
)
,
D
,
E
定理,我们分别对其添加了指标(
n
)或(∞)。对两种情况均适用的那些定理,可忽略这些指标。
定理 3 ( n ) 每个正交系都有 ≤ n 个元素,并且当且仅当其有 n 个元素时,才是完全的。
注:由这个定理可知,正交系的元素个数存在最大值;根据定义,达到该最大值的那些正交系是完全的。根据这一定理,在 C ( n ) 的情况下存在 n 个完全正交系,并且每个正交系均含有 n 个元素。
证明
每个正交系
(若为有限集)
是线性无关的。若其元素为
,
,…,
,则有
通过用
(
μ
=1,2,…,
m
)形成内积,可知
a
μ
= 0。所以,按照
C
(
n
)
规定,该集合不能有
n
+1 个元素。因此,任何正交系不存在拥有
n
+1 个元素的子集。故其为有限的,且具有 ≤
n
个元素。
具备
n
个元素的集合不能继续扩张,因而是完全的。但是具备
m
<
n
个元素的集合
,…,
是不完全的。实际上,在线性组合
+…+
中,不可能给出
n
>
m
个线性无关元素。因此,按照
C
(
n
)
规定,必定存在一个不同于所有
+…+
的元素
f
。使得
恒不为零。(
)=0 现在表示
a
μ
=(
f
,
(
μ
= 1,2,…,
m
)。因此,该条件可以同时满足所有
μ
= 1,2,…,
m
。因此,这同时提供了一个可以表明
,…,
是不完全的
的依据。
定理 3 (∞) 每个标准正交系均为有限集或可数无穷集;若它是完全的,则必定是无穷的。
注:因此,我们可以把所有的正交系写成序列:
,…
(可能会终止,即为有限数列)
。应当指出的是,无限的元素对于集合的完全性而言是必要的,但与
C
(
n
)
的情况不同,该条件是不充分的
[4]
。
证明
设
为一个标准正交系,
f
,
g
是属于
的两个不同元素。那么则有
现设
f
1
,
f
2
,…为
中处处稠密的序列。根据属性
E
,该序列存在。对
中的每个
f
,序列中均存在
f
m
,使得
。
f
,
g
对应的
f
m
,
f
n
必须不同,因为若
f
m
=
f
n
,则有
因此,
中的每个
f
都与序列
f
1
,
f
2
,…中的一个
f
m
相对应,不同的
f
对应于不同的
f
m
。故
是有限的或者是一个序列。
在定理 3
(
n
)
的证明中,我们证明了以下性质:如果
中有多于
m
个线性无关的元素,则系统
,…,
是不完全的。但在
C
(∞)
中,对所有
m
都存在
m
个线性无关元素,因此,完全系必定是无限的。
目前所遵循的定理,就收敛性而言,仅适用于 C (∞) 。但由于这些定理具备诸多其他内涵,最好对它们予以一般性的表述。
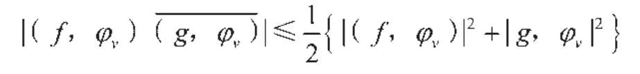
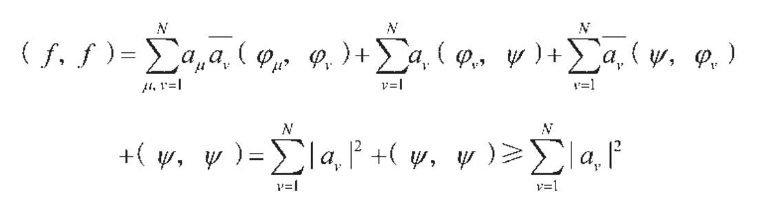
定理 4
设
,
,…为标准正交系,则所有序列
绝对收敛,即使在此范围内有无限项也是如此。尤其当
f
=
g
时,恒有
。
证明
设
a
v
=(
f
,
),
v
= 1,2,…,则
正交于所有
,
v
= 1,2,…,
N
(见定理 3
(
n
)
的证明)
。因为
故
即
若系统
,
,…是有限的,则可直接得出
若该系统是无限的,那么
N
→∞可导致
的绝对收敛性及其
的事实。由此就确立了第二个命题。因为
由上述收敛事实可得出对第一个命题更一般的收敛陈述。
定理 5
设
,
,…为无限标准正交系,则序列
当且仅当
收敛时收敛
(后一个序列
的每项均为非负实数,因此该序列或收敛或发散至 +∞)
。
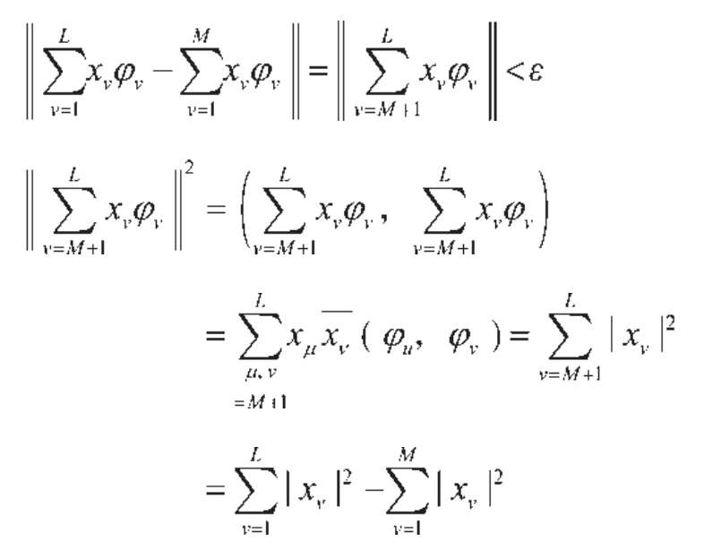
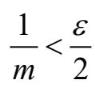
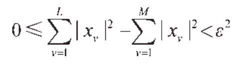
证明
因为本命题只对
C
(∞)
有意义,那么我们可以用
D
中所描述的柯西收敛准则来证明。当
N
→∞时,若序列的部分和
收敛,则无穷和
必定收敛。而部分和收敛的条件是:对每个
ε
>0 均存在
,使
L
,
M
≥
N
时,
设 L > M ≥ N ,则有
因此
这正是序列
,
N
→∞,即序列
的柯西收敛条件。
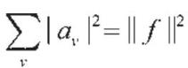
推论
对于级数
而言,(
f
,
)=
x
v
(不论标准正交系是有限集还是无限集——在后一种情况下,都要对收敛性作假设)
。
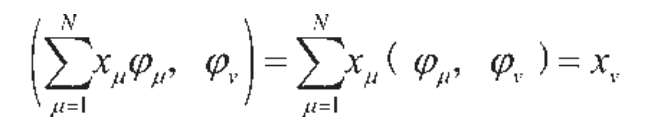
证明 当 N ≥ v 时,有
对于有限集
,
,…,我们可以设
N
等于最大指标;对于无限集
,
,…,由于内积的连续性,我们可以设
N
→∞。在任何一种情况下,均可得到(
f
,
)=
x
μ
的结果。
定理 6
设
,…为一个标准正交系,对于任意
f
,若级数
是无穷和,且
x
v
=(
f
,
)(
v
= 1,2,…),则该级数恒收敛,且表达式
f
−
f
′与
,
,…正交。
证明
收敛性遵循定理 4 和定理 5,而且根据定理 5 的推论,有(
f '
,
)=
x
v
=(
f
,
),(
f
-
f'
,
)= 0。
基于上述定理,我们可以给出一般判据,既适用于 C (∞) ,也适用于标准正交系完全性的一般性准则。
定理 7
设
,…为一个标准正交系,以下的每一条都是使其具备完全性的充分必要条件:
a 由
,
,…所张的闭线性流形[
,
,…]等于
。
b 恒有
成立
(
v
= 1,2,…,根据定理 6 可知其收敛性)
。
c 恒有
成立
(根据定理4可知其绝对收敛性)
。
证明
若
…是完全的,则
因为根据定理 6,其正交于
,…,则满足条件 b。如果条件 b成立,则每个
f
都是其部分和
在
N
→∞时的极限
(若
,…是无限的)
,故而属于[
,…]。因此有[
,…]=
,即满足条件 a。如果条件 a成立,那么我们可以作如下论证:如果
f
正交于所有
,…,那么
f
也正交于它们的线性组合。且由于连续性的原因,也正交于它们的极限点,即正交于所有[
,…]。因此,它也正交于整个
,也因此正交于其本身:(
f
,
f
)=0,
f
= 0。因此,
,…是完全的。
于是我们得出以下逻辑关系:
完全性→条件 b→条件 a→完全性。
即条件 a,条件 b被证明是充分必要条件。
一方面,由条件 c又可知,若
f
与所有
,…正交,且设
f
=
g
,则可得(
f
,
f
)=
0·0 = 0,
f
= 0,即
,…是完全的。另一方面,由条件 b
(现等价于完全性)
可知
(若系统
,…是有限的,那么限制过程就是非必要的。)
因此,条件 c也是一个充分必要条件。
定理 8
每个序列
f
1
,
f
2
,…都与一个标准正交系
,
,…相对应,该正交系与前一序列张于同一线性流形上
(二者都可以是有限的)
。
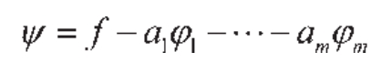
证明 首先,我们将 f 1 , f 2 ,…替换为子序列 g 1 , g 2 ,…。该子序列张于同一线性流形上,由线性无关元素组成。这一证明过程可按如下步骤进行,设 g 1 为第一个不等于零的 f n , g 2 为第一个与所有 a 1 g 1 不同的 f n , g 3 为第一个不同于所有 a 1 g 1 + a 2 g 2 的 f n ;… (如果对任一 p 而言,不存在与所有 a 1 g 1 +…+ a p g p 不同的 f n ,我们则在 g p 终止该序列) 。这些 g 1 , g 2 ,…显然提供了想要的结果。
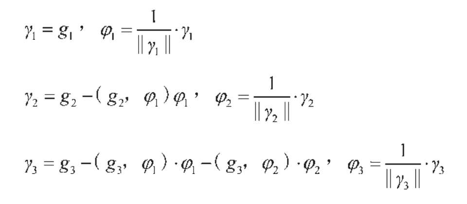
我们现构建 (这是著名的“施密特正交化过程”)
实际上,每个
都能被构建出来,即分母
均不为零。因为若
γ
p
= 0,则
g
p
将成为
,…,
的线性组合,即
g
1
,…,
g
p
-1
的线性组合,这与原假设相矛盾。此外,
g
p
是
,…,
的线性组合,
是
g
1
,…,
g
p
的线性组合,因此
g
1
,
g
2
,…和
,
,…确定了同一个线性流形。
最终,通过构建
,且
q
<
p
时,
,因此
。由于我们可以交换
p
,
q
,后者对
p
≠
q
成立。因此,
,
…是一个标准正交系。
定理 9
恒存在一个标准正交系,与每个闭线性流形
相对应,且与闭线性流形张在同一
上。
证明
在
C
(
n
)
情况下,该定理是直接可证的:由于
满足
A
,
B
,
C
(
n
)
,当
m
≤
n
时,
中的每个线性流形
均满足
A
,
B
,
C
(
m
)
,因此定理 3
(
n
)
中的注释适用于
——在
中存在一个完全的正交集
,…,
。由于定理 7 的条件
a
正好是需要证明的命题
(可以看出,
封闭性的前提本身是不必要的,因为它实际上已被证明。在这种情况下,参照定义 5 的表述)
。
在
C
(∞)
的情况下,根据属性
E
,我们已知
是可分的。我们想证明
也是可分的——一般来说,
的每个子集都是可分的。为此,我们在
中形成处处稠密的
(见 2.1 节中的
E
)
序列
f
1
,
f
2
,…,对于每个
f
n
与
m
=1,2,…,我们可构建由
f
组成的球体
,其中
。对于每个包含
中点的
,我们选择一个这样的点:
g
nm
。对于一些
n
,
m
而言,点
g
nm
或许可能是未定义的,但定义的点在
中构成一个序列
[5]
。现设
f
为
中的任意点,且
ε
> 0 ,则存在一个
m
,满足
;也存在一个
f
n
,满足
。由于
包含
中的一个点
(即
f
)
,因此
g
nm
是有定义的,并且
,因此
。因此,
f
是由此定义的
g
nm
的极限点,从而该序列满足了预期的要求。
我们将用
f
1
,
f
2
,…表示来自
的序列,该序列在
中处处稠密。由其确定的闭线性流形[
f
1
,
f
2
,…]包含其所有极限点,从而包含了全部
;但由于
是一个闭线性流形,并且
f
1
,
f
2
,…属于它,因此[
f
1
,
f
2
,…]是
的一部分——因此它等于
。我们现在通过定理 8 选择正交集
,
,…,则有{
,
,…}= {
f
1
,
f
2
,…},且若我们在两边都加上极限点,我们将得到[
,
,…]=[
f
1
,
f
2
,…]=
。命题得证。
我们现在只需将
=
代入定理 9 中,并且根据定理 7 中的条件a 所得到的一个完全标准正交系
,
,…,即看到确实存在完全正交系。在此基础上,我们现在可以证明
是
或者是
(根据是
C
(
n
)
还是
C
(∞)
)
,即其所有属性都已完全确定。
现在只需要证明,
在所有{
x
1
,…,
x
n
}集合上或在{
x
1
,
x
2
,…}
(
有限)
集合上,分别允许定义一个一一映射,使得:
(在 c无限情况下,必须对绝对收敛性予以证明。)
我们现在对映射
进行详细说明。
设
,
,…是一个完全标准正交系,在
C
(
n
)
情况下,它终止于
;在
C
(∞)
情况下,它是无限的
(定理 3
(
n
)
与 3
(∞)
)
。我们设
根据定理 5,该序列即使在无限的情况下也会收敛
(因为
是无限的)
,即无论是
或
,其元素都已穷尽。根据定理 7 条件b,又因为
是有限的,
(定理 4)
中的元素也已用尽,
[
x
v
=(
f
,
将被替换]
。很明显,每个{
x
1
,
x
2
,…}只有一个
f
与之对应,而其反命题可根据定理 5 的推论得出。
陈述 a与 b显然满足,而陈述 c由定理 7 中的条件 c得到。
[1]
事实上,
。
[2]
诚如我们所见,完全正交集对应于
中的笛卡尔坐标系(其单位向量在轴线方向)。
[3]
作为线性流形,它必须包含
,并且由于其为闭线性流形,它也包含了
的极限点。
[4]
令
,
,…是完全的,则
,
,…是不完全的,但仍是无穷的!
[5] 大家应该还记得,二重序列 g nm ( n , m =1,2,…)也可以写作简单序列 g 11 , g 12 , g 21 , g 13 , g 22 , g 31 ,…。