现在我们将完成 1.4 节末尾列出的计划:定义希尔伯特空间,为处理量子力学提供数学基础。对量子力学的阐释需要使用以下这些概念,它们不仅存在于序列
x
v
(
v
=1,2,…)的“离散”函数空间
F
z
中,也存在于波函数
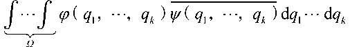
(
q
1
,…,
q
k
)
(其中,
q
1
,…,
q
k
在整个状态空间
Ω
中取值)
的“连续”函数空间
F
Ω
中,并且在
F
z
和
F
Ω
中具有相同的意义。这里所指的概念如下所示:
α
“纯量积”,即
(复)
数
a
与希尔伯特空间元素
f
的乘积:
af
。在
F
z
中,
ax
v
是由
x
v
所得;而在
F
Ω
中,
a
(
q
1
,…,
q
k
)是从
(
q
1
,…,
q
k
)中所得。
β
希尔伯特空间中的两元素
f
,
g
的和与差:
f
±
g
。在
F
z
中,
x
v
±
y
v
由
x
v
和
y
v
得出;在
F
Ω
中,
(
q
1
,…,
q
k
)±
(
q
1
,…,
q
k
)则是由
(
q
1
,…,
q
k
)和
(
q
1
,…,
q
k
)得出。
γ
希尔伯特空间中的两元素
f
与
g
的“内积”:(
f
,
g
)。与前两种运算有所不同,这一运算将产生一个复数,而非希尔伯特空间中的一个元素。在
F
z
中,内积
是由
x
v
和
y
v
得出的;而在
F
Ω
中,内积
则是由
(
q
1
,…,
q
k
)和
(
q
1
,…,
q
k
)得出的。
(对
F
Z
与
F
Ω
的定义,仍需通过适当的收敛证明来完成。我们将在 2.3 节中给出这些证明。)
在以下阐释中,我们将用
f
,
g
,…,
,
,…表示希尔伯特空间中的点,用
a
,
b
,…,
x
,
y
,…表示复数,用
k
,
l
,
m
,…,
µ
,
v
,…表示正整数。必要时,我们也会把希尔伯特空间记作
[作为“∞-维欧几里得空间”的简称,类似于“
n -
维欧几里得空间”的惯用名称
(
n
= 1,2,…)]。
值得注意的特点在于,
af
,
f
±
g
,(
f
,
g
)恰好是向量微积分的基本运算:在欧几里得几何中,这些运算可以对长度与角度进行计算;在质点力学中,这些运算也可以对力和功进行计算。在
F
Z
中,上述类比十分清楚。只要把
中的
x
1
,
x
2
,…替换为
中的
x
1
,…,
x
n
即可。特别是当
n
= 3 时,我们就得到了普通的三维空间。在某些情况下,不把复数
x
1
,…,
x
n
看作点,而是将其看作从点 0,…,0 到点
x
1
,…,
x
n
的向量更为合适。
为了定义抽象希尔伯特空间,我们以基本向量运算
af
,
f
±
g
,(
f
,
g
)为基础。在以下讨论中,我们将同时考虑所有的
与
。因此,我们若不想对
与
加以区分,则把
作为整个空间的通用术语使用。
首先,我们假定
具有如下典型的向量属性
[1]
。
A
是一个线性空间。
即对向量和
f
+
g
与“纯量积”
af
,在
中予以定义
(
f
,
g
是
中的元素,
a
是一个复数——
f
+
g
,
af
属于
),且
中存在一个零元素
[2]
。那么我们所熟知的向量代数运算法则适用于该空间
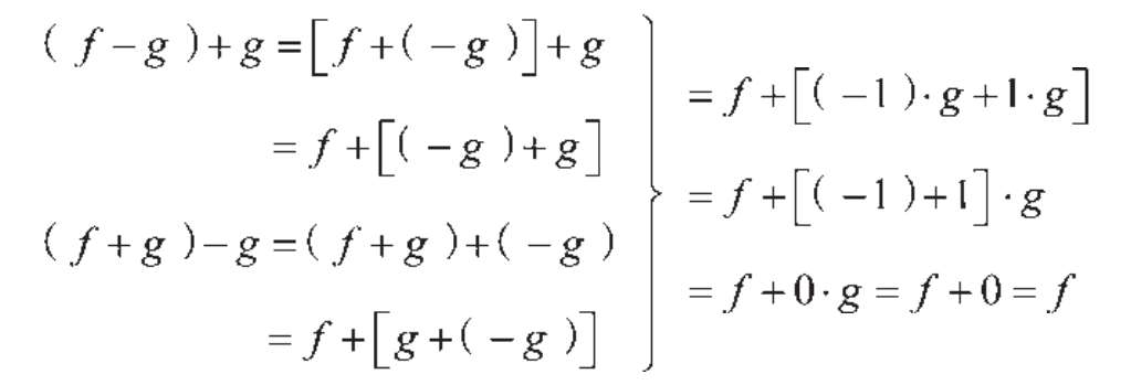
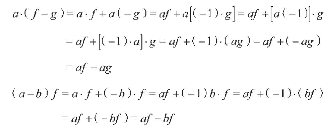
0· f = 0,1· f = 1 f (0 与 1 的作用)
此处未提及的运算法则,可直接由上述公式推导得出。例如,零向量在加法中的作用
f + 0 =1· f + 0· f =(1 + 0)· f =1· f = f
或者减法的唯一性:我们定义
- f =(-1)· f , f - g = f +(- g )
则有
或者,带减法的乘法分配律
我们无须对这些规则进行更加深入的探讨了。应该清楚,所有线性向量运算的规则在这里都是适用的。
因此,我们同样可以像对向量时一样,对
中的元素
f
1
,…,
f
k
引入“线性无关”这一概念。
定义 1 如果由 a 1 f 1 + …+ a k f k = 0 ( a 1 ,…, a k 为复数) 可以得出 a 1 = …= a k = 0,则可推出元素 f 1 ,…, f k 线性无关。
我们对向量微积分中出现的线性实体的类比 (通过原点的线、平面等) 作出进一步的定义,即线性流形。
定义 2
若对任意
k
(= 1,2,…)而言,
的子集
均包含其元素
f
1
,…,
f
k
的所有线性组合
a
1
f
1
+ …+
a
k
f
k
,那么我就将
称为“线性流形”
[3]
。若
为
的任意子集,则由
a
1
f
1
,+ …+
a
k
f
k
(
k
= 1,2,…;
为任意复数;
f
1
,…,
f
k
是
中的任意元素)
组成的集合就是一个线性流形,且其中必定包含
。显然它也是其他所有包含
的线性流形的子集。该线性流形被称为“由
张成的线性流形”,记作{
}。
在进一步发展该概念之前,让我们先来阐释一下向量微积分的另一个基本概念:内积的存在性。
B
在
中定义埃尔米特内积。
即(
f
,
g
)已有定义[
f
,
g
位于
中,且(
f
,
g
)为一个复数],且具有以下属性
此外,由于埃尔米特对称性 (我们把 f 与 g 相交换,并取两侧的复共轭) ,第二个因素的对应关系来自第一个因素的两个性质
这个内积非常重要,因为它使定义长度的定义成为可能。在欧几里得空间中,向量
f
的大小由
[5]
定义,且
f
与
g
这两点间的距离由
决定。我们将从这一定义开始。
定义 3
中元素
f
的“长度”定义为
;
f
,
g
之间的距离定义为
[6]
。
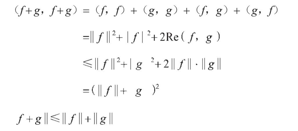
该定义显然包含了有关距离的所有属性。为此,我们证明如下定理:
定理 1
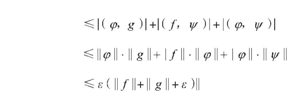
证明 首先,我们可以写出
(假定 u 与 v 均为实数,若 z = u + i v 为复数,则我们就可以用 Rez 与 Imz 分别表示复数 z 的实部与虚部,即 Re z = u ,Im z = v ) 。若我们用 af ,(1 /a ) g ( a 为实数,且 a > 0) 代替 f , g ,那么显而易见,上述不等式的左边不变,而右边为
由于该表达式大于等于 Re(
f
,
g
),因此该不等式特别适用于其极小值
。
(当
f
,
g
≠0 时,极小值在
处获得;当
f
= 0 或
g
= 0 时,分别在
a
→+∞或
a
→+0 处取得)
因此
如果我们用
(
α
为实数)
代替
f
,
g
,那么方程右边不变,因为
可得
因此,当 |
a
|=1 ,
,左边为
显然其极大值为
由此命题可得出
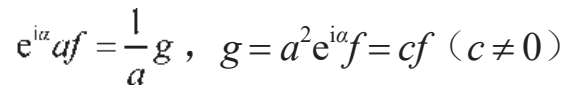
推论 为使上述不等式中的等号成立, f , g 必须等同到只差一个常数 (复数) 因子。
证明 为使下列关系式
中的等号成立,(
f
-
g
,
f
-
g
)必须为零,即必须满足
f
=
g
。为了由该关系式推导出
,对于均不为零的
f
与
g
,需用
,
代替
f
,
g
(其中
a
,
α
为实数,
a
> 0)
。因此,为了在这种情况下使等式成立,则必须有
反之,对于 f = 0 或 g = 0,或者 g = cf ( c ≠0),等号必然成立。
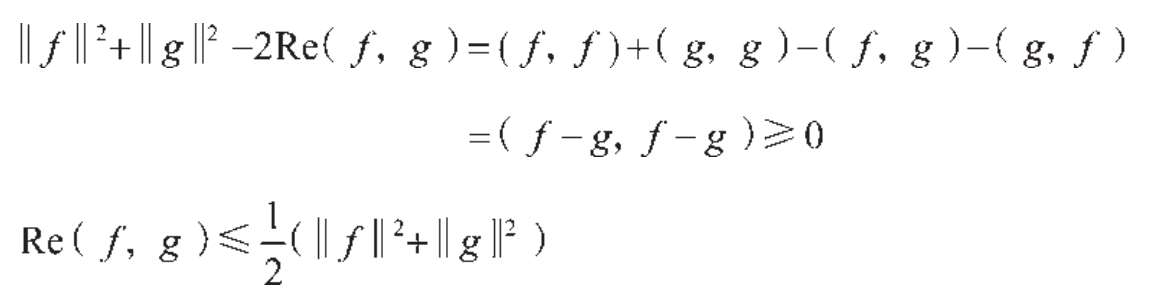
定理 2
恒成立,当且仅当
f
=0 时,
成立。此外,恒有
当且仅当 f 与 g 之间相差一个≥0的实数常因子时,上述关系式中的等号成立。
证明 在上述部分中,我们已经证明了前两个命题是正确的。我们现在用以下方式证明第三个不等式
为了使等号成立,Re(
f
,
g
)必须等于
。通过对上述推论证明的观察可知,这必须满足以下条件:
f
= 0 或
g
= 0 或者
g
=
a
2
f
=
cf
(
c
> 0,且为实数)
。在这种情况下,等式显然成立。
根据定理 2 即可得知,
f
与
g
的距离
具有以下属性:当
f
=
g
时,
f
,
g
之间的距离恒为 0;
g
,
f
之间的距离与
f
,
g
之间的距离相等;
f
,
h
之间的距离小于或等于
f
,
g
之间距离与
g
,
h
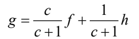
之间距离之和;当且仅当
g
=
af
+(1-
a
)
h
时
(0 ≤
a
≤ 1,且
a
为实数)
,等号成立
[7]
;
af
,
ag
的距离是
f
,
g
距离的|
a
| 倍。
正是长度概念的这些属性,使它可以在几何学 (与拓扑学) 中作为连续性、极限、极限点等概念的基础。我们也希望使用长度概念,并作出如下定义:
□ 连续性
连续性的假设是微积分的基础。如果函数在某点不连续,要么该点函数就没有定义,要么即便是自变量移动一个无穷小量,函数值也会变动明显乃至无限量。如果把我们日常生活中的许多量,如温度、距离、速度看作时间的函数,当时间变化任意小时,这些量的变化也会任意小。
中的一个函数
F
(
f
)
(即在
中定义的
f
,其值恒为
内的点,或恒为复数)
,在点
f
0
(位于
内的一点)
处是连续的。若对每个
ε
> 0,恒有
δ
> 0,使
,则有
或
(取决于
F
的值是
中的点,还是复数)
。若恒有
或
(
C
是一个经适当选择的固定常数)
,则称该函数在
上有界,或在
的给定子集中有界。类似的定义适用于多个变量。若数值
,
…收敛至 0,那么序列
f
1
,
f
2
…收敛于
f
,或有极限值
f
。如果在
中的序列存在一个极限
[8]
,那么该点是集合
(
是
的子集)
的一个极限点。尤其当
包含其所有的极限点时,则称
为闭集;若其极限点的闭包是整个
空间时,则称
“处处稠密”。
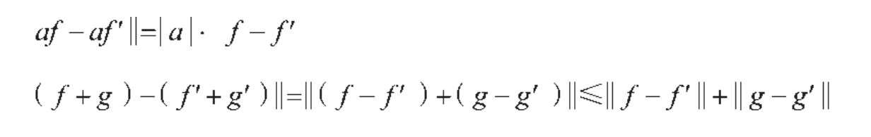
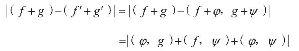
我们仍需证明 af , f + g ,( f , g )在其所有变量上都是连续的。因为
□ 哥尼斯堡七桥问题
哥尼斯堡(今俄罗斯加里宁格勒)曾是东普鲁士的首府,普莱格尔河横贯其中。河中有两座小岛,河上有七座桥,将被河流隔开的两岸两岛连接起来。一天,有人提出疑问:能不能每座桥只走一遍,最后又回到原来的位置。1736 年,欧拉证明了这样的路线是不可能的。欧拉把两座小岛和河的两岸分别看作四个点,而把七座桥看作是这四个点之间的连线,并且给出了所有能够一笔画出来的图形所应具有的条件。哥尼斯堡七桥问题被看作拓扑学的先声。
前两个命题是显然成立的。进而,若我们由
代入
可得
当
时,该表达式趋于零,且可使其小于任意
δ
(
δ
> 0)。
如上所述,在
上定义的属性
A
,
B
使我们得出了许多推论,但这些推论尚不足以区分
之间,以及
与
之间的不同。到目前为止,尚未提及维数的概念。这一概念显然与线性无关向量的最大数量有关。若存在这样一个最大值
n
= 0,1,2,…,则对
n
可作出如下推论:
C ( n ) 恰好存在 n 个线性无关的向量。即可以指定 n 个这样的向量,但不能指定 n+ 1 个。
若不存在最大数,则有:
C (∞) 存在任意多个线性无关向量。
也就是说,对于每个给定的 k = 1,2,…而言,我们均可在 C (∞) 中给出 k 个这样的向量。
因此,
C
本质上不是一个新的属性。如果
A
,
B
成立,则
C
(
n
)
或
C
(∞)
中必然有一个是成立的。这样,我们就可以得到一个不同的空间
,这取决于我们如何选择。一方面,按照
C
(
n
)
的定义,可知
具有
n
维
(复数)
欧几里得空间的所有性质。另一方面,
C
(∞)
不足以证明空间
与希尔伯特空间
本质上的等同性,我们还需要两个附加假设
D
,
E
来证明二者的等同性。具体证明情况如下:我们将证明具有
A
,
B
,
C
属性的
拥有
的所有性质。特别是即将说明的属性
D
与
E
,它们是通过
A
,
B
,
C
(∞)
推导得出的。此外,我们将证明具有
A
,
B
,
C
,
D
,
E
属性的
拥有
的所有性质。但在这种情况下,附加属性
D
和
E
是必不可少的
(它们不是通过
A
,
B
,
C
(∞)
推导得出的)
。下面我们将继续对附加属性
D
和
E
加以说明。我们将在后续章节
(见 2.3 节)
证明所有
与
均具有这些属性。
D
是完全的
。
若
中的某个序列
f
1
,
f
2
,…满足柯西收敛准则
(对每个ε> 0,均有
,使得
,对所有
m
,
n
≥
N
成立)
,则该序列是收敛序列,即该序列具有一个极限
f
(见上文对该概念给出的定义)
。
E
是可分的。
若
中存在序列
f
1
,
f
2
,…,则该序列在
中为处处稠密。
在 2.2 节中,我们将如上文所述,以这些基本假设为基础,来创建空间
上的“几何学”,并区分两种情形:
与
。
[1]
赫尔曼·外尔(Hermann Weyl)最早使用
A
,
B
,
C
(
n
)
来描述
的特征。如果我们想要得到的是
而不是
,那么自然需要用
C
(
n
)
来代替
C
(∞)
。在这种情况下,只有让
D
,
E
成为必要条件,参见本节后续的讨论。
[2]
除了原点或
中的零向量之外,还有数字0。因此,相同的符号可用于两者。但是,彼此间的关系就是这样的,只要结合上下文,应该就不会引起混淆。
[3]
充分条件为:若
f
属于
,则
af
也属于
;若
f
,
g
属于
,则
f
+
g
也属于
。那么,若
f
1
,…,
f
k
属于
,则有
a
1
f
1
,…,
a
k
f
k
也属于
。因此,依次有
a
1
f
1
+
a
2
f
2
,
a
1
f
1
+
a
2
f
2
+
a
3
f
3
,…,
a
1
f
1
+…+
a
k
f
k
也都属于
。
〔4〕
由埃尔米特对称性可知:(
f
,
f
)为实数。实际上,当
f
=
g
时,可得(
f
,
f
)=
。
[5] 如果 f 具有分量 x 1 ,…, x n ,那么根据 2.1 节对内积所做的观察(若局限于有限数目的分量),有
这也就是欧几里得空间中两点间的普通长度。
[6]
由于(
f
,
f
)为实数且不小于0,可知
为实数,且选择其不小于0的平方根。对
同样适用。
[7] 根据定理2(此处应用于 f - g , g - h ), f - g = 0,即 g = f ,或 g - h =0,即 g = h 或 g - h = c ( f - g )( c 为大于0的实数),即
或者可以写成
g
=
af
+(1-
a
)
h
,其中
a
分别等于1,0,
。在几何上,这表明点
g
与
f
,
h
共线。
[8]
关于极限点的以下定义也十分有用:当
ε
>0 时,取任意值,
中均存在
f '
满足
。这两个定义的等价性,完全可以通过普通分析方法来证明。