购买
下载掌阅APP,畅读海量书库
立即打开
畅读海量书库
扫码下载掌阅APP

数学
——人类思想的最高表达

人类进行表达的方式有很多,文字、语言、音乐、舞蹈……

道可道,非常道;名可名,非常名。语言和文字有其局限性,而数学是一种抽象表达,比语言和文字更能准确描述这个世界,可以说“只有数学是人类思想的缩影”。

数学真理不是被“发明”的,而是被“发现”的。可以这么想象,有一排数学真理的柜子,人类逐步发现了一个个柜子,又打开了一个个柜子。柜子本来就在那里,是不用被发明的。聪明的人、幸运的人能找到那个柜子并打开,找到真理。抽象的数学对象,其存在独立于我们的语言、思想和实践。

柏拉图认为,数学的概念是一种特殊的、独立于现实世界之外的客观存在,它们是不依赖于时间、空间和人的思维的存在。数学家得到新的概念不是创造,而是对这种客观存在的描述。数学新成果不是发明,而是发现。

与之相应地,柏拉图主义认为,数学理论的真理性是客观的,由那种独立于现实之外的存在决定。这种真理性要靠心智经验来理解,靠某种数学直觉来认知。人们只有通过直觉才能达到独立于现实世界之外的数学世界。

微分方程

讲到数学,不得不提微分方程。

让我们从方程开始。

比如2x=10,好解的,x=5。我现在有10个苹果,每个人只能吃2个,最多可以给几个人吃?5个人。现有10辆车,要分给2个人,每个人分5辆。2x=10可以代表好多东西。

2x+3y=10,也可以具象化。我有10块钱,买了2个鸡蛋,买了3个鸭蛋,x、y就是鸡蛋和鸭蛋的单价。但这个无解,解不出来。如果你告诉我鸭蛋的单价加鸡蛋的单价加起来等于4块钱,也就是有等式x+y=4,我就能解了。有几个未知数,就必须有几个等式才能解。

数学等式代表了很多东西,可以具象到很多事情上。所以数学表达比较高级,具有抽象性和概括性,这也是我们讲它是一种高级表达的原因。

简单方程式的变量是一个数,再复杂一些,变量就变成一个函数,当函数成为变量,方程就变得复杂了,复杂的事情需要复杂的方程来描述。这就是微分方程了。

微分方程,是指含有未知函数及其导数的关系式。解微分方程就是找出未知函数来。

物质的运动和它的变化规律在数学上是用函数关系来描述的,这类问题不是简单地去求一个或者几个固定不变的数值,而是要求一个或者几个未知的函数,要把已知函数和未知函数之间的关系找出来,从列出的包含未知函数的一个或几个方程中,去寻得未知函数的表达式。

可以说,微分方程是整个宇宙的“通式”。力学、天文学、几何学、动力学、海洋动力学、地下水动力学,这些领域都要用到微分方程。人口的发展模型、交通流的模型、台风的模型、潜艇出水漩涡模型,一定要用到微分方程,否则描绘不了。比如要测算火箭降落的位置,有气流、有湿度、有动力、有重量、有引力,有太多因素了,不可能用简单的方程来描述、计算,一定是用微分方程。

微分方程是与人类社会密切相关的,可以说是人类社会、天体、微观世界的表达通式。

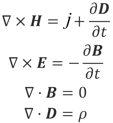
举一个非常重要的偏微分方程的例子——麦克斯韦方程组。这是一组描述电场、磁场与电荷密度、电流密度之间关系的偏微分方程,由四个方程组成:

从麦克斯韦方程组,可以推论出电磁波在真空中以光速传播,进而做出光是电磁波的猜想。从这些基础方程的相关理论,发展出了现代的电力科技与电子科技。

由此可见,微分方程是非常重要的数学工具。从微观到宏观,你要去真实准确地描述一个东西,描述我们的世界,必须用到微分方程。

许多物理或化学的基本定律都可以写成微分方程的形式。在生物学及经济学中,微分方程会被用来做复杂系统的数学模型。

有时候,两个截然不同的科学领域中会有相同的微分方程。此时,通过微分方程对应的数学理论,可以看到不同现象后面一致的原则。

微分方程的解也很有意思。

第一,微分方程一般没有通解。

第二,微分方程可以有无数个解。

第三,大部分的微分方程求不出十分准确的解,只能得到近似解。

一个描绘弹道出水情况的方程,得不出准确的解,因为太复杂了,变量太多了。一般怎么求解?一般用数值分析的方法,来求近似解。

由微分方程的解,我们可以有如下推断——

1.由“无通解”可以推断,在我们可以感知的世界里,不存在绝对真理,人类世界没有一个真理是绝对的。

2.由“无数个解”可以推断,这个宇宙是遍在的,量子力学也是讲遍在的。正像广义相对论的方程式可以有无数解,也就是可能存在无数宇宙,宇宙也是遍在的。通向真理的道路不是唯一的,条条道路通山顶。有八万四千法门,就有八万四千条道路带我们到达光明顶。

3.由“近似解”可以推断,我们对世界的认识,大概也是近似的。许多我们非常确定的观念和认知,其实也是一种近似。

4.微分方程在某些区域是无解的。微分方程只能在某些点收敛,在某些点可以有解。很多区域为什么无解?是真的不可解吗?还是跟暗物质、暗能量、黑洞一样,是我们无法感知的?或者这些“大面积”的不可解,就是我们人类认知的边界?

如果说微分方程是一个描述宇宙里大部分事物的通式,那么它的这些规律实际上构成了宇宙的规律。

作为人类,我们跟其他动物没有太大差别。我们对世界的认识是一知半解、近似解。人应该存敬畏之心。真正悟道的人没有多少,很多自以为是的大师、宗师、大佬、权威,如果明白这些道理,更会存敬畏之心,也就能往前走得更远。

牢记:我们所认识到的“真理”是片面的、局限的、相对的。

虚数

我们再来讲一下虚数的问题,也是很有意思的。

1的平方等于1,2的平方等于4,2的10次方等于1024。那什么的平方等于-1⇔i的平方等于-1,i就是虚数。

每一个实数都可以有所代指,比如1是个鸡蛋,是个人,是个碗,但虚数在我们的现实世界里代表什么呢?什么也不是。i在人类的世界里不可能用某个东西来定义。

微积分发明人莱布尼茨说:“虚数是美妙、奇异、神秘的,它几乎是既存在又不存在的两栖物。”中国有科学家说:“如果没有虚数参与,只用实数,量子力学没法去验证。”虚数可以介入量子力学去描述自己。

δ→0和∞

我大学时候学数学分析,实在无法理解δ→0和∞的概念。可以用这个概念做题目,但还是没有体感。δ→0和∞,这两个数学概念也是非常有意思的。结合人生体验,现在有了一些理解,跟大家分享。

δ→0就是再怎么分,还是可分,细节里面还是有细节,缝里面还是有缝。我们不仅要看到事物之间的缝隙,还要理解缝隙里面还有更细的缝隙,理论上可以无限细分。我们对事物的理解,我们所求之物,都是这样,永无止境。

∞就是大到失去了度量,失去了判断,大到没有压迫感。那种大是一种无边的东西,比如无边的爱,不求回报,没有企图,没有嫉妒,无穷无尽。∞是连爱也不存在,是所有,是一切,永永远远,无穷无尽,而且没有企图,不费劲,自然而然。 lPABXjw4+vsNGridOlnsQVY0V0+Tmu56DTvUYTEVR4xQfwpVJdsHA2PsKNTI7sGn

点击中间区域
呼出菜单
上一章
目录
下一章
×