购买
下载掌阅APP,畅读海量书库
立即打开
畅读海量书库
扫码下载掌阅APP

光速不可超

人类世界的速度比光速要慢得多,即使是汽车、火箭,离光速也还有相当的距离。能主宰人类世界的是牛顿力学,它在人类目前的活动范围内基本是成立的。

爱因斯坦对牛顿力学的修正

牛顿第一定律:任何物体都要保持匀速直线运动或者静止状态,直到外力迫使它改变运动状态为止。

牛顿第二定律:物体加速度的大小与合外力成正比,与物体质量成反比,加速度的方向与合外力的方向相同。公式如下:

牛顿第三定律:相互作用的两个物体之间的作用力和反作用力总是大小相等,方向相反,作用在同一条直线上。公式如下:

仔细看这三条定律,它们是对称的(作用力和反作用力)、静止的(一切物体都试图保持静止状态)和平衡的(质能守恒)。牛顿认为世界就是这样的,是和谐的、优美的、对称的、静止的、被动的、机械的和平衡的。

科学家的这种形而上的立足点很重要,像爱因斯坦、哥德尔等对物理规律的认识,也立足于他们对这个世界形而上的认知之上。

牛顿的体系,就是你只要给我一个初始状态,我就能知道你未来任何一个时刻的状态。这是牛顿力学里非常重要的一个特点,知道初始态,可以推导出永远,这叫“宿命论”,就是你生下来,我就知道你将来是怎么回事。

牛顿力学给人安定感、确定性。但这只是牛顿的一厢情愿,他认为世界就是这样确定的,可事实并非如此。

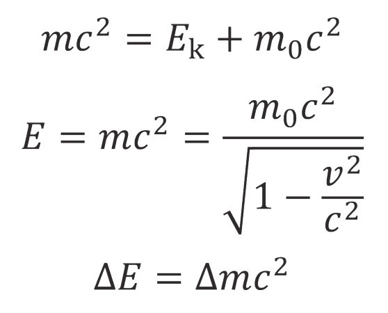
牛顿力学碰到很多问题,尤其是天体和光速的问题。爱因斯坦因此提出狭义相对论来修正牛顿力学的不足,可以用质能公式来表示:

根据公式,如果 v (速度)等于 c (光速),则分母为0, E (能量)就是无穷大。能量不可能无穷大,只有质量非常小的粒子,比如电子,其速度才有可能接近光速,但也达不到光速。所以光速不可超。

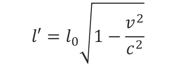
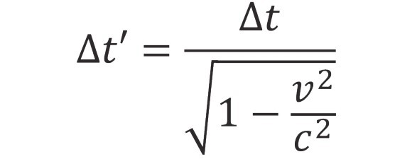
我们可以通过洛伦兹变换( 牛顿系统用的是伽利略变换,但在爱因斯坦的这个系统里不适用)得出很多结论,其中一个就是,速度越快,质量越大。

另一个是,速度越快,长度越短。一根杆子沿着某个方向移动,当接近光速的时候,杆子会缩短。孙悟空金箍棒的传说看来也是有理论基础的,只要速度够快,金箍棒就可以缩短。

第三个重要的结论是,速度越快,时间越慢。

以上是从爱因斯坦狭义相对论推导出的一些有趣的公式,这些公式都跟我们的常识不符。比如我们通常认为,物体的质量是不变的;物体的长、宽和高是可以测量的,不会无缘无故地变化。比如我们的手机,是多大就是多大;时间是恒定的、均匀的、不变的。但是爱因斯坦的相对论告诉我们,三维世界是个变量,不仅如此,要准确叙述我们所处的宇宙,还要引入时间这个变量,三维世界必须升级为四维世界。

爱因斯坦的狭义相对论告诉我们,这个世界不是三维的,是四维的。原本我们觉得时间不是个变量,在牛顿力学里时间是不会变的,但爱因斯坦告诉我们时间是个变量,时空是紧密搅和在一块儿的,我们处在一个四维的世界里。

这个世界是个什么样的四维世界呢?当物体运动的时候,时间会变,长度会变,质量也会变。一模一样的两个人,一个人住在山顶上,一个人住在山脚下,哪个人活得更长?考虑到地球自转,山顶上的人转得快,理论上来说山顶上的人比山脚下的人活得长。一个人整天在宇宙中旅行,和一个人在地球上不动,哪个人活得长?旅行的人活得长。

人类的运动速度很少接近光速,所以我们感觉不到这些。但假如我们成为粒子,那就不得不考虑这些了。

爱因斯坦在思考这个问题的时候,考虑过各种不同的可能性,其中有种可能性认为光速是可变的。因为根据原来的伽利略变换推导,光速是不一样的。我在汽车里,你在火箭上,我们俩看到的光速是不一样的,这非常自然。但爱因斯坦大胆假设:不同的惯性系光速不变,而且光速不可超。这个假设,最后全部通过了实验的验证,因为这个假设才有了狭义相对论。

为什么“光速不可超”?为什么光速在惯性系里都是一样的?所有其他速度都是相对的,唯独光速是绝对的,还是不可超的。也许光速就是人类的结界。我们被限制在这个时空里,无法跨越。

中国古代神话里说:天上一日,地上十年。这个道理跟相对论说的一模一样,不知道爱因斯坦当时是不是知道中国的这个神话故事。天上速度快,天上一天地上就好几年,这就是相对论。神话有时候出奇地准确,有时候有预言的作用,看来我们不能简单地将其看成儿童故事。

广义相对论

有了狭义相对论,有必要理解一下广义相对论。

狭义相对论主要说:时间和空间是不可分割的整体。

而广义相对论讲:引力场等效于时空的弯曲。

如果你理解了狭义相对论,广义相对论便很容易理解,因为时间是个变量。狭义相对论跟光、粒子相关,广义相对论跟大物体相关,比如太阳等恒星,甚至黑洞。

一个大物体,比如中子星——由中子构成的一个星球,是很重很重的,原子很松散,原子核是由中子和质子组成的,这两个非常重。如果原子坍塌了变成一个质子中子星,就非常重,密度非常大。这样的大物体,大密度的引力场,就会使时间和空间弯曲,三维坐标不是三维坐标了,而是一个球体坐标,其中时间也弯曲了。也就是说,把时间变成变量,这样就好理解了。

在太阳周边应该也是如此,太阳还不够大、不够重,密度也不够大。黑洞是大到已经连光都出不来了,时空弯曲到一个奇点了,数学上叫不可解。霍金关于黑洞的所有理论都是猜想,实验也做不了,因为所有东西都出不来,连光也出不来。

爱因斯坦广义相对论的引力场公式是一个微分方程,他用这个描述引力场和时空的关系。

先看看这个方程,这是一个二阶的偏微分方程。微分方程有常微分、偏微分,有一阶、二阶,各种阶。二阶偏微分的解需要满足特定的边界条件或初始条件,有多个解。

这个二阶偏微分方程的每一个解都是一个宇宙,这里“宇宙”的含义既包括整个空间,也包括时间。

假如我们的宇宙是在特定初始态下的一个解,那么会不会还有其他解,也就是有其他宇宙的存在?

根据这个公式,是这样的!

每一个解都是一个宇宙,都是一个时空、一个体系。所以有人提出多重宇宙的概念。在适当的初始条件下,方程有唯一解,一般没有通解。

这里就引出另一个重要课题——数学,许多理论没有数学就没法讨论。 2kK4YILTPXVfMoxzACgxcV6AG2xpHSSccMufINgbjvOLPSmLK+lggftmQglK31yx

点击中间区域
呼出菜单
上一章
目录
下一章
×