购买
下载掌阅APP,畅读海量书库
立即打开
畅读海量书库
扫码下载掌阅APP

上帝掷骰子吗

这是爱因斯坦提出的一个问题,因为量子力学的很多理论,颠覆了传统的可测量、可观察的观念。

爱因斯坦认为上帝不会掷骰子。那到底是不是这样,我们就要关注一下量子力学的问题。

一个物理量如果存在最小的不可分割的基本单位,则这个物理量是量子化的,这个最小单位被称为量子。

最小的粒子是夸克,最小的物理单元是量子。量子不是某种介质,而是一批介质。光子就是一种量子。

关于量子力学,我们有“不确定性原理”:一个微观粒子的某些物理量(如位置和动量,或方位角与动量矩,还有时间和能量等),不可能同时具有确定的数值,其中一个量越确定,另一个量的不确定程度就越大。

德国科学家海森堡进一步说明:能量的准确测定如何,只有靠相应的对时间的测不准才能得到。

量子还具有波粒二象性:所有的量子同时是波和粒子。

关于量子的波粒二象性和测不准原理,有一个著名的双缝实验。

在双缝实验里,单色光照射在一堵有两条狭缝的不透明挡墙上,在挡墙的后面设立一个侦测屏障,在侦测屏障上可以观察到干涉图样。这说明光子是波。现在,装一台狭缝侦测器,能够侦测到光子的行踪,那光子会经过两条狭缝中的哪一条呢?打开狭缝侦测器后,熟悉的干涉图样就会消失不见,改变成另外一种图样。

这个现象可以用量子的叠加状态原理来解释。只要我们不观察,光子、电子实际上同时处于所有可能的状态,只是一团模棱两可的可能性。观察本身,让电子落入唯一状态(粒子或波)。每当在量子水平上对物质进行测量,物质的(粒子+波)叠加状态就坍缩了。

哥本哈根诠释(丹麦物理学家玻尔与德国物理学家海森堡共同提出的对量子力学的一种诠释)是这么进一步解释的:物理系统的状态在被观察或测量之前是模糊的,只有在被观察或测量时,它的状态才会坍缩成一个确定的状态;观察者的存在和意识是影响这个物理系统状态的因素之一,这也被称为“观测者效应”。

光子、电子、粒子,只要我们不观察,它们就同时处于所有可能的状态,只是一团模棱两可的可能性。混沌初开、天地一片混沌,观察本身让电子的状态落入唯一,坍缩了。每当在量子水平上对物体进行测量的时候,叠加态就坍缩。这是量子的一个很重要的概念。可以肯定地说,观测者不同,光子束打的点不一样,图案也不一样。

所以,人类不仅是这个宇宙的观察者,也是参与者。我们的存在会改变结果。

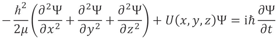
在量子力学中有个非常重要的方程——薛定谔方程,它在量子力学中的地位,相当于牛顿定律之于经典力学和麦克斯韦方程组之于电磁学。它不是推导出来的,而是一个基本假设。

一维薛定谔方程:

三维薛定谔方程:

定态薛定谔方程:

这是一个二阶线性偏微分方程,ψ(x,y,z)是待求函数,它是x、y、z这三个变量的复数函数,也就是说函数值不一定是实数,也可能是虚数(注意“虚数”这个词)。式子最左边的倒三角的平方是拉普拉斯算子,意思是分别对ψ(x,y,z)的梯度求散度方程。

说起薛定谔,有一个著名的薛定谔的猫悖论。将一只猫关在装有少量镭和氰化物的密闭容器里,镭的衰变存在概率。如果镭发生衰变,会触发机关打碎装有氰化物的瓶子,猫就会死;如果镭不发生衰变,猫就存活。根据量子力学理论,由于放射性的镭处于衰变和没有衰变两种状态的叠加,猫就理应处于死猫和活猫的叠加状态。这只既死又活的猫就是所谓“薛定谔的猫”。

猫怎么会既是死的,也是活的呢?这就是悖论。

未来不可知

关于这个悖论所导致的不确定性,海森堡认为:测量这动作不可避免地搅扰了被测量粒子的运动状态,因此产生不确定性。

康德曾经说过:“不是事物在影响人,而是人在影响事物。人在构造现实世界,在认识事物的过程中,人比事物本身更重要。我们根本不可能认识到事物的真性,只能认识事物的表象。”

王阳明有这么一段话:“你未看此花时,此花与汝心同归于寂;你来看此花时,则此花颜色一时明白起来。便知此花不在你的心外。”王阳明悟到的东西,居然跟量子力学一脉相通。

牛顿力学不可避免地推导出宿命论。只要完全知道宇宙在某一时刻的状态,便能依此预言宇宙中将会发生的任一事件。

量子力学必然推导出因果论。任何一种再微小的观测都可以使对象的状态发生改变,从而使原对象的体系进入一个新的状态量。在未干扰前,其状态量会沿着一个自身作用的方向发展,干扰使它开始了一个“新纪元”。这个干扰结果对于对象而言是确定的,会使对象进入一个新状态。当然,这个新的结果又会作用于其他体系,从而影响整个宇宙。

不过海森堡认为,因果律的陈述中,“即若确切地知道现在,就能预见未来”,所得出的并不是结论,而是前提。我们不能知道现在的所有细节,是一种原则性的事情。

我们无法知道现在所有的细节,因为按照量子理论,在量子层面是遍在的。我们无法知道遍在的所有细节,所以我们无法准确预知未来。

由于熵增原理,时间不可逆,人类回不到过去。但即使这个世界是一个因果世界,我们还是不能预知未来。为什么未来不可知呢?

从计算机学来看,通过物理定律来推算未来事件,这种推算是一种无限递归(函数反复调用自身,永远无法结束,无限循环直至程序崩溃),故算法无法完成。

从可行性来看,我们生活的世界好比一台400 MIPS 的电脑,不可能模拟出一台500 MIPS的虚拟机。故未来不可知。

人类就处于这样的悖论中:如果人们甚至不能准确地测量宇宙当前的状态,那么就肯定不能准确地预言将来的事件!

但客观来说,宇宙当前的状态是确定无疑的。

量子是遍在的,会随着观测者而坍塌为实相。量子计算的原理也是如此。凭借强大的算力,将所有可能都呈现出来,那么现实中某个事件的密钥,只不过是其中的一个“坍塌”而已。 vGfKTIPZJS3VQ6W7IptIzXdivs/mGuctCcLSwM39IX39hcHweX4HiUZViCYJLnM+

点击中间区域
呼出菜单
上一章
目录
下一章
×